Гидравлический расчет простого трубопровода

  • Вид работы:
    Курсовая работа (т)
  • Предмет:
    Другое
  • Язык:
    Русский
    ,
    Формат файла:
    MS Word
    56,77 Кб
  • Опубликовано:
    2015-07-25
Вы можете узнать стоимость помощи в написании студенческой работы.
Помощь в написании работы, которую точно примут!

Гидравлический расчет простого трубопровода

Министерство образования Республики Беларусь

Учреждение образования

«Полоцкий государственный университет»

Кафедра трубопроводного транспорта, водоснабжения и гидравлики







КУРСОВОЙ ПРОЕКТ

«ГИДРАВЛИЧЕСКИЙ РАСЧЕТ ПРОСТОГО ТРУБОПРОВОДА»










Новополоцк, 2014

СОДЕРЖАНИЕ

Введение

Исходные данные

этап. Построение схемы трубопровода

этап. Определение режима движения жидкости

этап. Определение коэффициентов гидравлического трения и местных сопротивлений

этап. Определение скорости истечения жидкости из трубопровода. Определение расхода жидкости в трубопроводе

этап. Определение скоростей течения жидкости и чисел Rei на линейных участках трубопровода

этап. Уточнение коэффициентов гидравлического трения и коэффициентов местного сопротивления

этап. Определение скоростного напора

этап. Определение потерь напора на трение

этап. Определение потерь напора в местных сопротивлениях

этап. Проверка проведенных расчетов

этап. Построение диаграммы Бернулли

Заключение

Литература

ВВЕДЕНИЕ

Целью выполнения данной курсовой работы является закрепление знаний, полученных при изучении теоретического материала, выработка навыков практического применения этих знаний при решении инженерных задач.

В курсовую работу входит гидравлический расчет трубопровода заданной геометрии. Работа состоит из расчетно-пояснительной записки с включенными в нее результатами расчетов, а также из чертежа. На чертеже схематически изображен трубопровод и нанесены линии полного и пьезометрического напоров, указаны все составляющие потери напора.

трубопровод гидравлический трение напор

ИСХОДНЫЕ ДАННЫЕ

Вариант К1

Pм

H0

h

d

l1

l2

D

L1

L2

dc

R

t

жидкость

кг/см2

м

м

м

м

м

м

м

м

м

м

°С


4,3

5,2

3,5

0,15

8

10

0,20

15

18

0,08

0,2

20

Керосин




1 ЭТАП. ПОСТРОЕНИЕ СХЕМЫ ТРУБОПРОВОДА

На бумаге в масштабе 1:200 вычерчиваем схему трубопровода с указанием всех его геометрических размеров. Весь трубопровод условно разбиваем на n линейных участков длиной li (где i = 1, 2, …, n - это номера участков), границами которых служат местные сопротивления.


2 ЭТАП. ОПРЕДЕЛЕНИЕ РЕЖИМА ДАВЛЕНИЯ ЖИДКОСТИ

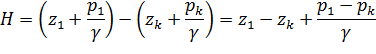
Определяем режим движения жидкости в трубопроводе путем сравнения располагаемого напора H с его критическим значением.

Для определения располагаемого напора используем следующую формулу:


Где(для данной схемы),

Тогда: , (1)

Подставив заданные значения, получим:

,

где ;

(кг/с2·м2);

 (кг/м3) для керосина при t = 20°С [5; с.175].

Чтобы получить значения критического напора, соответствующего переходу от ламинарного режима движения воды к турбулентному, для каждого участка трубопровода, воспользуемся формулой для определения потерь напора на трение при ламинарном режиме:

.(2)

В итоговой формуле число Re было заменено выражением .

Так как критический напор Hкр соответствует критической скорости uкр, подставим в выражение (2) значение uкр, выраженное через критическое значение числа Рейнольдса Reкр в следующем виде:

.

Таким образом получим формулу для подсчета критического напора:

.

Значение  в расчетах принимаем равным 2320, а значение кинематической вязкости  м2/с, при температуре 20°С [5; c.175]. Делаем расчеты по каждому участку:

;

;

;

;

;

;


По результатам расчетов выяснилось, что . Значит по всем участкам режим турбулентный.

3 ЭТАП. ОПРЕДЕЛЕНИЕ КОЭФФИЦИЕНТОВ ГИДРАВЛИЧЕСКОГО ТРЕНИЯ И МЕСТНЫХ СОПРОТИВЛЕНИЙ

Для каждого линейного участка задаемся определенным значением числа Re. В случае турбулентного режима предполагаем, что движение жидкости в трубопроводе происходит в области квадратичного трения, в этом случае число Re определяем по формуле

,

где  - диаметр трубопровода на рассматриваемом участке;

 - абсолютная величина эквивалентной равномерно-зернистой шероховатости, принимаемая по [4; с.72]. Для стальных новых труб сварных м.

Определяем значения числа Re:

для участков 1 - 4: ;

для участков 5 - 7: .

В соответствии с полученными значениями числа Re для каждого линейного участка трубопровода определяем значение коэффициентов гидравлического трения λi по формуле Альштуля (для турбулентного режима) [3; с.57]:

.

Для участков 1 - 4:

.

Для участков 5 - 7:

.

Определяем коэффициенты местных сопротивлений ξ по справочной литературе в зависимости от вида местного сопротивления:

- вход в трубопровод прямой, заделанный заподлицо [4; с.86];

 - полностью открытый запорный вентиль с прямым затвором [4; с.94];

- резкий поворот 90° для трубы круглого сечения [4; с.90];

- резкий поворот 90° для трубы круглого сечения [4; с.90];

 - внезапное расширение, рассчитывается следующим образом [4,с.88]:

,

где:,

откуда: ,

а .

 - плавный поворот 90° для трубы круглого сечения, рассчитывается следующим образом [4; с.90]:

,

Где А - функция угла поворота, при угле 90° А = 1;

B - функция относительного радиуса кривизны (). Здесь  = 0,2 / 0,2 = 1, тогда ;

С - функция формы поперечного сечения трубы, для круглого сечения С = 1.

 - плавный поворот 90° для трубы круглого сечения,

 - сопло [6; с.7].

4 ЭТАП. ОПРЕДЕЛЕНИЕ СКОРОСТИ ИСТЕЧЕНИЯ ЖИДКОСТИ ИЗ ТРУБОПРОВОДА. ОПРЕДЕЛЕНИЕ РАСХОДА ЖИДКОСТИ В ТРУБОПРОВОДЕ

Подставляем значения найденных коэффициентов гидравлического трения λi и коэффициентов местного сопротивления ζj в формулу (3), определяя из нее значение скорости истечения жидкости из трубопровода:

, (3)

где:- коэффициент Кориолиса для турбулентного режима;

,

, откуда: ,

.

Подставляя вычисленные значения, получаем:

где: ,

.


.

5 ЭТАП. ОПРЕДЕЛЕНИЕ СКОРОСТЕЙ ТЕЧЕНИЯ ЖИДКОСТИ И ЧИСЕЛ Rei НА ЛИНЕЙНЫХ УЧАСТКАХ ТРУБОПРОВОДА

По найденному значению расхода определяем значение скоростей на всех линейных участках трубопровода.

Так как

, то отсюда:

(м/с);

(м/с).

Определим снова значения чисел Rei для каждого участка по формуле

:

для участков 1 - 4: ;

для участков 5 - 7: .

Так как полученные числа отличаются от полученных на III этапе расчетов более, чем на 10%, то проводим расчет параметров λi, υк, Q повторно, положив в основу расчета кладутся пересчитанные числа .

Определяем значение коэффициентов гидравлического трения λi по формуле Альштуля:

Для участков 1 - 4:

.

Для участков 5 - 7:

.

Подставляем значения найденных коэффициентов в формулу для определения значения скорости истечения жидкости из трубопровода:

Определяем значение расхода:

.

По вновь найденному значению расхода определяем значение скоростей на всех линейных участках трубопровода.

(м/с);

(м/с).

Определим значения чисел Re для каждого участка:

для участков 1 - 4: ;

для участков 5 - 7: .

Так как разность между значениями , полученными в начале и в конце этапа, составляет менее 10%, можно проводить дальнейшие расчеты.

6 ЭТАП. УТОЧНЕНИЕ КОЭФФИЦИЕНТОВ ГИДРАВЛИЧЕСКОГО ТРЕНИЯ И КОЭФФИЦИЕНТОВ МЕСТНОГО СПОРОТИВЛЕНИЯ

В соответствии с новыми значениями Re определяем значения коэффициентов гидравлического трения λi по формуле Альштуля:

Для участков 1 - 4:

.

Для участков 5 - 7:

.

Значения коэффициентов местных сопротивлений (ζj) остаются прежними.

7 ЭТАП. ОПРЕДЕЛЕНИЕ СКОРОСТНОГО НАПОРА

Определяем скоростные напоры на всех линейных участках трубопровода, воспользовавшись формулой:

,

где  = 1,1 для турбулентного режима.

(м/с);

(м/с).

8 ЭТАП. ОПРЕДЕЛЕНИЕ ПОТЕРЬ НАПОРА НА ТРЕНИЕ

Определяем потери напора на трение по длине для каждого из линейных участков трубопровода по формуле [4; с.67]:

.

 (м);

 (м);

 (м);

 (м);

 (м);

 (м);

 (м).

 (м).

9 ЭТАП. ОПРЕДЕЛЕНИЕ ПОТЕРЬ НАПОРА В МЕСТНЫХ СОПРОТИВЛЕНИЯХ

Определяем потери напора в местных сопротивлениях по формуле [4; с.86]:

.

 (м);

 (м);

 (м);

 (м);

 (м);

 (м);

 (м);

 (м).

 (м).

10 ЭТАП. ПРОВЕРКА ПРОВЕДЕННЫХ РАСЧЕТОВ

Проверку проведенных расчетов проводим, сравнивая исходное значение располагаемого напора со значением располагаемого напора, полученного в итоге по следующей формуле [4; с.130]:

.

Погрешность вычислений выражаем в процентах:


11 ЭТАП. ПОСТРОЕНИЕ ДИАГРАММЫ БЕРНУЛЛИ

На бумаге строим напорную и пьезометрическую линии (диаграмму уравнения Бернулли).

Линия напора (удельной механической энергии потока) строится путем последовательного вычитания потерь, нарастающих вдоль потока, из начального напора потока (заданного пьезометрическим уравнением в резервуаре). Пьезометрическая линия (отражающая изменение гидростатического напора потока) строится путем вычитания скоростного напора в каждом сечении из полного напора потока.

Величина пьезометрического напора в каждом сечении определяется на графике заглублением центра сечения под пьезометрической линией.

Величина скоростного напора - вертикальным расстоянием между пьезометрической линией и линией полного напора.

ЗАКЛЮЧЕНИЕ

В ходе курсовой работы произведен гидравлический расчет простого трубопровода заданной геометрии.

Рассчитаны потери напора на трение и местные сопротивления, скоростные напоры на всех линейных участках трубопровода. По расчетным данным построена диаграмма уравнения Бернулли.

Произведенная проверка, показавшая погрешность в 0,03 % показала, что все расчеты выполнены верно.

ЛИТЕРАТУРА

1. Гидравлика и аэродинамика: учебник для вузов / А.Д. Альштуль [и др.]. - М.: Стройиздат, 1987;

. Идельчик, И.Е. Справочник по гидравлическим сопротивлениям / И.Е. Идельчик. - М.: Машиностроение, 1976;

. Примеры расчетов по гидравлике: учебное пособие для вузов / под ред. А.Д. Альштуля. - М.: Стройиздат, 1977;

. Справочное пособие по гидравлике, гидромашинам и гидроприводам / Я.М. Вильнер [и др.]; под общ. ред. Б.Б. Некрасова. - 2-е изд., перераб. и доп. - Минск: Выш. шк, 1985;

. Сборник задач по курсу гидравлики с решениями: учебное пособие для вузов / В.Н. Метревели. - М.: Высш. шк., 2007;

. Липский, В.К. Техническая гидромеханика: учеб.-метод. комплекс / В.К. Липский, Д.П. Комаровский; под. общ. ред. В.К. Липского. - Новополоцк: ПГУ, 2009.

Похожие работы на - Гидравлический расчет простого трубопровода

 

Не нашли материал для своей работы?
Поможем написать уникальную работу
Без плагиата!
Без нейросетей!