Расчет сложного трубопровода
Расчет сложного трубопровода
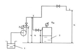
Задание
Центробежный насос подаёт жидкость с
температурой t по разветвлённой системе трубопроводов из аппарата 1 в аппарат 2
и 3. Аппарат 3 представляет собой открытый сосуд. Подача жидкости в аппарате 3
- Q3. Аппарат 2 находится под разряжением, показания вакуумметра - Рвак.
Основные геометрические размеры
трубопроводов, значения местных сопротивлений, режимные параметры представлены
в исходных данных. Атмосферное давление принять Ратм = 735.6 мм.
р.ст. = 1.01·105 Па
На трубопроводах 1-2, 2-3 и 2-4
установлены нормальные вентили. Все повороты плавные, с одинаковым отношением
d/R.
Определить:
1. Давление Р2 в
трубопроводе в точке 2;
. Скорость течения н2
и расхода жидкости Q2-4 в трубопроводе 2-4;
. Подачу жидкости центробежным
насосом Q1-2
. Давление Р1,
создаваемое насосом в точке 1;
. Показания манометра Рм
на трубопроводе 1-2.
Рисунок 1. Схема гидравлической
установки
Введение
Гидравлическими машинами называются
устройства, которые служат для преобразования механической энергии двигателя в
энергию перемещаемой жидкости (насосы) или для преобразования гидравлической
энергии потока жидкости в механическую энергию (гидравлические турбины).
Целью данной курсовой работы является
овладение навыками расчета гидравлических параметров заданной технологической
схемы - сложного трубопровода.
Гидравлический расчет производится с
целью определения необходимых параметров в трубопроводе, предназначенного для
пропуска определенного объёма жидкости за единицу времени (в данном случае
метилового спирта 90%) и возможности насосной установки обеспечить приёмные
аппараты необходимым давлением и количеством жидкости. На основе данных
диаметров, длин трубопроводов и отметки установки приёмных аппаратов, ведутся
дальнейшие гидравлические расчеты, включающие определение давления на участках
и скорости течения по ветвям.
В качестве исходных величин заданы
геометрические параметры (длины, диаметры и отметки установки приёмных
аппаратов, а так же необходимые расход и давление в аппарате 3).
Для расчетов и определения требуемых
параметров в каждом аппарате, необходимо данную гидравлическую установку
сложного трубопровода разбить на три участка простых трубопроводов: 1-2, 2-3,
2-4.
1. Исходные данные
гидравлический двигатель
трубопровод
Жидкость - метиловый спирт 90%
Температура спирта:= 25oC
Отношение диаметра трубопровода к радиусу:/R =0.8
Длины участков:1-2=900 м; l2-3=400 м; l2-4=200
м.
Отметки установки приёмных аппаратов:1=1,5 м; z2=3,1
м; z3=17 м;
Диаметры трубопроводов:1-2 = 175 мм = 0.175 м; d2-3
= 175 мм = 0.175 м; d2-4 = 65 мм = 0.065 м;
Расход жидкости в аппарате 3:3 = 200 м3/ч =
0.056 м3/с
Шероховатость внутренней поверхности трубопровода:
Д = 0.5 мм = 5·10-4м
Давление в аппарате 3:
Р3 = Ратм = 1.01·105 Па
Давление в аппарате 4:
Р4 = Рвак = 140 мм. рт. ст.= 1.9·104
Па
2. Гидравлические расчеты
.1 Определение давления Р2 на участке 2-3
Рисунок 2. Участок 2-3
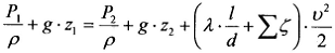
Для определения давления Р2 на участке 2-3
воспользуемся формулой Бернулли.
Чтобы найти величину потерь
, необходимо найти
скорость течения метилового спирта
по данному
трубопроводу, число Рейнольдса, отношение диаметра участка трубопровода и
шероховатости, а так же по номограмме (рис. 3), выражающей зависимость
числового значения зоны течения жидкости от числа Рейнольдса и отношения
диаметра трубопровода к его шероховатости, определить значение коэффициента
сопротивления трубы л.
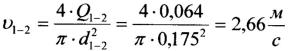
. Скорость течения метилового спирта
по
данному трубопроводу:
2. Число Рейнольдса:
Используем табличные данные:
вязкость метилового спирта 90% при t=25ос - м=0.75·10-3
Па·с, плотность с=815
.
. Отношение диаметра участка
трубопровода и шероховатости:
. Определяем по рисунку 3. значение
коэффициента сопротивления трубы л:
Рисунок 3. Номограмма, выражающая
зависимость числового значения зоны течения жидкости от числа Рейнольдса и
отношения диаметра трубопровода к его шероховатости.
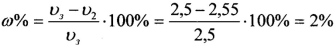
При Re = 4.4·105,
= 350 значение л = 0.026
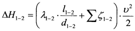
. Находим величину потерь
:
Местные сопротивления на данном
участке трубопровода:
. Вычисляем значение давления на
участке 2-3:
Диаметры трубопровода на участках
1-2 и 2-3 равны d1-2 = d2-3 = 0.175 м, следовательно и
скорости жидкости на этих высотах тоже равны. Таким образом, сокращая скорости
в уравнении Бернулли, получаем выражение:
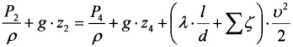
2.2 Определение скорости
течения н2 и расхода Q2-4
Рисунок 4. Участок 2-4
Для определения скорости течения, на
данном отрезке трубопровода, используем формулу Бернулли, преобразованную для
трубопровода с постояным диаметром.
Отсюда:
Используя метод последовательных
приближений, выбираем из возможных значений задаваемой скорости (2-3) м/с
величину, равную н3=2.5 м/с.
. Определяем число Рейнольдса:
. Находим отношение диаметра и
шероховатости:

При Re = 1.8·105,
= 130 значение л = 0.035
. Определяем скорость течения на
участке 2-4:
Местные сопротивления на данном
участке трубопровода:
гидравлический двигатель
трубопровод
. Проверяем на погрешность:
Погрешность незначительная,
следовательно скорость выбрана правильно.
. Определяем расход на данном
участке:
= 2.25·
.3 Определение подачи
жидкости центробежным насосом
Рисунок 5. Участок 1-2
. На участке 1-2 расход равен сумме
расходов на участках 2-3 и 2-4:1-2 = Q2-3 + Q2-4 =
0.056 + 0.00846 = 0.064 м3/с
2.4 Определение
давления, создаваемое насосом на участае 1-2
Используем уравнение Бернулли:
Так как диаметр на всём участке 1-2
одинаковый, то скорости в уравнении Бернулли сокращаем и получаем выражение:
Для определения давления на участке
1-2 необходимо найти потери напора ДН на этом участке.
. Определяем скорость течения
метилового спирта на участке 1-2:
. Вычисляем число Рейнольдса:
. Находим отношение диаметра и
шероховатости:
. По рисунку 3. находим значение
коэффициента сопротивления трубы л:
При Re = 5.1·105,
= 350 значение л = 0.026
. Потери напора ДН на участке 1-2:
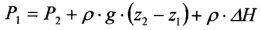
. Определив все необходимые
значения, находим давление, создаваемое насосом на участке 1-2:
2.5 Показание манометра
в трубопроводе на участке 1-2
Ратм = 735.6 мм. р.ст. =
1.01·105 Па
Рм = Р1 - Ратм
= 7.6·105 - 1.01·105 = 6.59·105 Па
Заключение
В ходе курсовой работы были
произведены гидравлические расчеты по определению давления на ответвлении
трубопровода, расхода жидкости аппаратом 4 и возможности данной насосной
установки обеспечить приёмные аппараты необходимым давлением в трубопроводе и
требуемым количеством метилового спирта. Расчеты показали, что на выходе
значения скорости течения спирта, давления и расхода ниже, чем на участке 1-2,
после насосной установки, где эти параметры принимают максимальные значения.
Список использованных
источников
1. Угинчус А.А.
Гидравлика и гидравлические машины - Харьков.: Издательство Харьковского
университета, 1966.
2. Киселев П.Г.
Справочник по гидравлическим расчетам. - Изд. 4-е, переработ. и доп. М.,
«Энергия», 1972.
. Кременецкий Н.Н., Штеренлихт Д.В., Алышев В.М. и др. Гидравлика:
Учебник. - М.: Энергия, 1973.
. Альтшуль А.Д., Калицун
В.И., Майрановский Ф.Г. и др. Примеры расчетов по гидравлике: Учебное пособие.
- М.: Стройиздат, 1976.
. Богомолов А.И.,
Михайлов К.А. Гидравлика: Учебник. Изд. 2-е, перераб. и доп. - М.: Стройиздат,
1972.