Синтез корректирующих устройств в системах управления
МИНОБРНАУКИ
РОССИИ
Федеральное
государственное бюджетное образовательное учреждение
высшего
образования
“Тверской
государственный технический университет”
Курсовая
работа
по
дисциплине: “Теория автоматического управления”
на
тему: “Синтез корректирующих устройств в системах управления”
Выполнил: Мякатин И.Д.
Студент гр. УТС 13.01
Тверь
Содержание
Задание
. Расчёт корректирующего
устройства аналитически
. Расчёт корректирующего
устройства при помощи инструментов MATLAB
Заключение
Список литературы
Задание
Необходимо рассчитать передаточную функцию
корректирующего звена Wk(s)
для обеспечения заданных показателей качества переходного процесса.
Рис. 1. Структурная схема САУ
Требуется обеспечить показатели качества
переходного процесса: перерегулирование σ=17%
, время регулирования tп.п=1с.
Для того чтобы добиться желаемого качества
процесса управления или регулирования, т. е. требуемой точности системы и
качества переходного процесса, есть два способа. Первый состоит в том, чтобы
достигнуть этого путем изменения параметров данной системы, так как с
изменением параметров меняются соответственно коэффициенты уравнения и
частотные характеристики, а значит, и качество процесса.
Если же путем изменения параметров не удается
получить желаемый результат, то надо применить второй способ - изменить
структуру системы, введя дополнительные звенья - корректирующие устройства.
Основная задача корректирующих устройств состоит
в улучшении точности системы и качества переходных процессов. Однако наряду с
этим путем введения корректирующих устройств можно решать и более общую задачу
- сделать систему устойчивой, если она была без них неустойчивой, а затем
добиться и желаемого качества процесса регулирования.
Различают четыре основных вида корректирующих
устройств.
. Последовательные корректирующие
устройства или, как их еще называют, корректирующие фильтры, которые могут
описываться различными передаточными функциями Wk(s)
(рис.1). Тогда общая передаточная функция разомкнутой цепи системы будет

, (1)
2. Параллельные корректирующие устройства,
осуществляемые в виде дополнительных местных обратных связей.
. Корректирующие устройства по внешнему
воздействию.
. Неединичная главная обратная связь.
.
Расчёт корректирующего устройства аналитически
Допустим, что желаемая САУ в замкнутом состоянии
является колебательным звеном с передаточной функцией:
корректирующий
устройство переходной
Передаточная функция желаемой САУ в разомкнутом
состоянии:
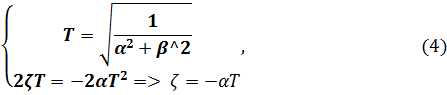
Корни колебательного звена имеют вид

Параметры переходного процесса
связаны с корнями знаменателя передаточной функции системы следующим образом:
Из формулы (2) следует, что:
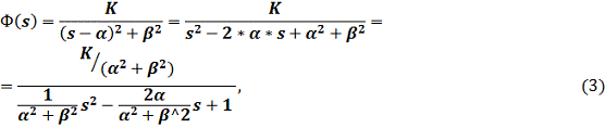
Представим ПФ желаемой САУ в
замкнутом состоянии в виде:
Из формулы (3) следует, что
коэффициент при s² есть не что иное, как
величина T², а
коэффициент при s есть 2ζT
соответственно. Следовательно:
Формируем ПФ желаемой разомкнутой
системы по рассчитанным параметрам:
Из формулы (1) следует,
что:
Построим соответствующие частотные
характеристики в логарифмическом масштабе:
Рис. 2. Логарифмические частотные характеристики
исходной, желаемой САУ и корректирующего фильтра, построенные вручную
Выведем формулы для построения
ЛАЧХ и ЛФЧХ корректирующего фильтра, объекта управления и желаемой разомкнутой
САУ, а также, для построения ЛАЧХ определим сопрягающие частоты:
2. Расчёт корректирующего устройства при
помощи инструментов MATLAB
Для синтеза корректирующего устройства была
написана программа в среде MATLAB.
Программа рассчитывает параметры передаточной функции желаемой САУ, а также ПФ
корректирующего устройства. Она строит логарифмические частотные
характеристики, а также график переходного процесса замкнутой системы с
рассчитанным корректирующим устройством и годограф АФЧХ с запретной зоной для
желаемой САУ в разомкнутом состоянии.
Листинг программы:allw
real=(0:0.01:100);%задаём
частоту
zveno=input('Выберите
звено: ')
switch
zveno1 %задаём ПФ
объекта и желаемые характеристики качества
W1=tf([2 1],1);=tf(1,[1
0]);=tf(1,[0.01 1]);=tf(1,[0.8 1]);=100*W1*W2*W3*W4;=1;=17;
%Отображаем исходные данные в command window('ПФ
Объекта управления: ')('Желаемые характеристики качества')(['Время переходного
процесса: ', num2str(tpp),' сек.'])(['Перерегулирование: ', num2str(perereg),'
%'])
m=-(log(perereg/100))/pi=abs(alpha/m)=sqrt(1/(alpha^2+betta^2))=-alpha*T=1/(2*dzetta*sqrt(1-dzetta^2))
%Отображаем рассчитанные ПФ в command
window('ПФ желаемой САУ в
разомкнутом состоянии: ')
Wzh=tf(1,[T*T 2*dzetta*T 0])
disp('ПФ корректирующего устройства:
')=minreal(Wzh/W)('ПФ желаемой САУ в замкнутом состоянии: ')=feedback(Wzh,1,-1)
%Проверка качества переходного процесса
[y,t]=step(Wzam);=length(y);=y(n);=(max(y)-yyst)/yyst*100;
tp=t(n);('Полученные характеристики качества
')(['Время переходного процесса: ',num2str(tp),' сек.'])(['Перерегулирование:
',num2str(sigma),' %'])
%Убираем наименьшую составляющую (0,01s+1)
[num,den]=tfdata(Wkor,'v');
root=sort(roots(num));=num(end)/den(end);
disp('ПФ корректирующего без наим. составляющей:
')
Wkor2=tf(num(end)*[1/-root(2)
1],den)
disp('ПФ желаемой САУ в разомкнутом сост. без
наим. составляющей:')=minreal(Wkor2*W)('ПФ желаемой САУ в замкнутом сост. без наим.
составляющей: ')=feedback(Wzh2,1,-1)
%Проверка качества п.п. без наименьшей
составляющей корректора
[y1,t1]=step(Wzam2);=length(y1);=y1(n1);=(max(y1)-yyst1)/yyst1*100;
tp1=t1(n1);('Полученные характеристики качества
без наименьшей составляющей')(['Время переходного процесса: ',num2str(tp1),'
сек.'])(['Перерегулирование: ',num2str(sigma1),' %'])
%координаты центра и радиус круга для запретной
зоны=(M*M)/(M*M-1);=M/(M*M-1);
%Годограф АФХ с запретной зоной
figureon(-C + R * cos(0:0.001:2*pi),
R * sin(0:0.001:2*pi));
nyquist(Wzh,'r')on
%построение переходных характеристик желаемой
САУ в замкнутом состоянии
figureon(Wzam)
step(Wzam2)('Переходная характеристика замкнутой
системы')on
%построение логарифмических частотных
характеристик
figureon(W)(Wzh)(Wkor)(Wkor2)on(['\fontsize{16}
{\color{blue}Wob '...
'\color{green}Wzh \color{red}Wkor
\color{cyan}Wkor2}'])
Полученные результаты:
ПФ Объекта управления:
Transfer function:
s + 100
-----------------------
.008 s^3 + 0.81 s^2 + s
Желаемые характеристики качества
Время переходного процесса: 1 сек.
Перерегулирование: 17 %
alpha = -5 m
= 0.5640 dzetta =0.4913
betta = 8.8648 T
= 0.0983 M =1.1685
ПФ желаемой САУ в разомкнутом состоянии:
Transfer function:
-----------------------
.009654 s^2 + 0.09654 s
ПФ корректирующего
устройства:function:
0.004143 s^2 + 0.4195 s + 0.5179
-------------------------------^2 + 10.5 s + 5
ПФ желаемой САУ в замкнутом состоянии:function:
---------------------------
.009654 s^2 + 0.09654 s + 1
Полученные характеристики качества
Время переходного процесса: 1.1656 сек.
Перерегулирование: 16.6062 %
ПФ корректирующего без наим. составляющей:
Transfer function:
.4143 s + 0.5179
----------------^2 + 10.5 s + 5
ПФ желаемой САУ в разомкнутом сост. без наим.
составляющей:
Transfer function:
.036e004
---------------------^3 + 110 s^2 +
1000 s
ПФ желаемой САУ в замкнутом сост. без наим.
составляющей:
Transfer function:
.036e004
---------------------------------^3
+ 110 s^2 + 1000 s + 1.036e004
Полученные характеристики качества без
наименьшей составляющей
Время переходного процесса: 1.6137 сек.
Перерегулирование: 21.4796 %
Рис. 3. Годограф АФЧХ с запретной зоной для АФЧХ
Показатель колебательности M
- это отношение максимальной ординаты АЧХ замкнутой системы к начальной
ординате:
В астатических системах с единичной обратной
связью A(0)=1, в
статических системах при k>>1
имеем A(0)≈1,
поэтому можно принять M≈Amax.
Считается, что система имеет допустимый запас
устойчивости при 1.5≤M≤1.7,
хороший запас устойчивости при 1.1≤M≤1.3.
Рис. 4. Переходная характеристика желаемой САУ в
замкнутом состоянии
Как видно на рис.3, АФЧХ разомкнутой системы
лишь касается окружности, а значит, показатель колебательности соответствует
заданному значению M =1.1685.
После расчёта корректирующего устройства можно
исключить из его ПФ наименьшую составляющую (в нашем случае 0.01s+1)
и оценить влияние корректора без этой составляющей.
ПФ корректирующего устройства без наименьшей
составляющей:
Для наглядности строятся соответствующие
переходные характеристики (рис. 4), где синяя линия - переходная характеристика
замкнутой САУ с рассчитанным корректором, зеленая линия - переходная
характеристика замкнутой САУ с рассчитанным корректором, без наименьшей
составляющей в его ПФ.
Табл. 1. Сравнение полученных характеристик
качества п.п.
|
Полученные
характеристики качества
|
Полученные
характеристики качества без наименьшей составляющей
|
|
Время
переходного процесса: 1.1656 сек.
|
Время
переходного процесса: 1.6137 сек.
|
|
Перерегулирование:
16.6062 %
|
Перерегулирование:
21.4796 %
|
По табл. 1 видно, что рассчитанное
корректирующее устройство позволяет добиться желаемых характеристик переходного
процесса, а исключение из ПФ корректора наименьшей составляющей не вызывает
сильного отклонения от заданных характеристик качества. Небольшие отклонения от
заданных параметров качества переходного процесса связаны с несовершенством
метода и приближенностью оценок.
Рис. 5. Логарифмические частотные характеристики
Для наглядности строятся логарифмические
частотные характеристики (рис. 5), где синяя линия - частотные характеристики исходной
САУ, красная линия - частотные характеристики корректирующего устройства,
зеленая линия - частотные характеристики желаемой САУ, голубая линия -
частотные характеристики корректора без наименьшей составляющей.
Как видно из рис.5 исходная САУ является
устойчивой, введение корректора позволило не только добиться желаемых
характеристик качества переходного процесса, но и увеличить запас по фазе Δφ.
Заключение
1. Последовательное корректирующее
используется для регулирования переходной характеристики системы с целью
обеспечения желаемого качества переходного процесса. В результате работы можно
утвердительно говорить о том, что метод оценки параметров корректирующего
устройства позволяет достаточно точно рассчитать его передаточную функцию для
достижения необходимых критериев качества переходного процесса.
. Введение корректирующего устройства
позволяет не только добиться желаемых характеристик качества переходного
процесса, но и также влиять на запасы устойчивости системы.
. При достаточно допустимом отклонении
полученных характеристик качества от заданных, можно исключить наименьшую
составляющую в передаточной функции корректирующего звена.
Список литературы
1. Конспекты лекций по курсу “ТАУ”
. Марголис, Б.И. Компьютерные методы
анализа и синтеза систем автоматического регулирования в среде Matlab
/ Б.И.Марголис. - Учеб. Пособие для вузов. - Тверь: изд-во ТвГТУ, 2015.-92 с.
. Бесекерский, В.А. Теория систем
автоматического регулирования / В.А.Бесекерский, Е.П.Попов. - Москва:
издательство “Наука”, 1975.-768с.
4. Макаров, И.М. Линейные
автоматические системы (элементы теории, методы расчёта и справочный материал)
/ И. М. Макаров, Б. М. Менский. - 2-е изд., перераб. и доп. - М.:
Машиностроение, 1982. - 504 c.