Синтез системы автоматического регулирования
Курсовая работа
Синтез системы автоматического
регулирования
СОДЕРЖАНИЕ
Введение
Техническое задание
. Структурная схема нескорректированной системы
. Определение устойчивости системы
. Синтез корректирующего устройства
. Построение переходного процесса и анализ качества процесса
регулирования
. Схемная реализация корректирующего устройства
Заключение
Библиографический список
ПРИЛОЖЕНИЕ А
ПРИЛОЖЕНИЕ Б
ПРИЛОЖЕНИЕ В
Введение
В современном мире существует великое множество разнообразных технических
устройств. Среди них выделяют автоматы, и системы автоматического управления.
Ведущую роль играют устройства автоматического управления - устройства,
способные анализировать результаты своей работы, принимать решения по изменению
своих параметров, коэффициентов, и даже совершенствованию своей структуры.
Подобные технические аппараты способны исключить из работы человеческий труд и
частично (или полностью) уменьшить человеческий контроль происходящих
автоматизируемых процессов.
Существование подобных “видящих” устройств и применение их на практике не
может не играть в пользу умелого и расчетливого предпринимателя, или
управляющего предприятием, если эти люди заинтересованы в совершенствовании их
собственного дела. Законы управления могут описывать не только технические
процессы, но и некоторые экономические - путем синтеза и моделирования
определенных систем и корректирующих звеньев.
Управление необходимо человеку для преобразования промышленных отраслей,
сферы услуг, экономики государства, словом в любой сфере жизнедеятельности
людей, и осуществляется оно с целью рационального использования имеющихся
ресурсов, сокращения времени при массовом производстве продукции.
Данная работа - первый опыт синтеза системы автоматического управления в
моей образовательной деятельности. В ней заключены основные этапы
проектирования, анализа и корректировки реальной системы автоматического
управления. При выполнении синтеза системы автоматического управления
необходимо точно знать цель выполняемых действий, и методы её достижения. Целью
действий в моем случае является синтез корректирующего устройства, реализующего
корректирующую передаточную функцию, которая, при последовательном включении в
систему, преобразует имеющуюся АЧХ системы к желаемому виду.
синтез корректирующее устройство температура пар
ТЕХНИЧЕСКОЕ ЗАДАНИЕ:
Проектируемая система представляет собой систему автоматического контроля
и регулировки температуры пара в паропроводе посредством изменения угла
положения заслонки. Функциональная схема системы автоматического регулирования,
подлежащая синтезу, представлена на рисунке.
Рис.1.1 (Функциональная схема нескорректированной системы)
Функциональные элементы системы:
ОУ - объект управления (паропровод);
ЗУ - задающее устройство;
Т - термопара;
СУ - сравнивающее устройство;
У - усилитель;
ЭД - электродвигатель;
Р - редуктор;
З - заслонка.
Координаты системы:
qд° -
действительное значение температуры пара;
qЗ° - заданное
значение температуры;з - напряжение, выдаваемое задающим
устройством;т - напряжение на выходе термопары;
DU = Uз-Uт - напряжение, выдаваемое сравнивающим
устройством;- напряжение на выходе усилителя;
aд - угол
поворота вала двигателя;
aр - угол
поворота вала редуктора;
aз - угол
поворота заслонки.
Исходные данные ДЛЯ курсового проектирования по ТАУ
ПЕРЕДАТОЧНЫЕ ФУНКЦИИ ЭЛЕМЕНТОВ СИСТЕМЫ:
Wзу(S) = Kзу - передаточная функция задающего
устройства;
Кзу = 0,5´10-4 В/0С;
- передаточная функция электродвигателя,
где
Тм - механическая постоянная времени;
Тм = 0,3 с;
Тэ - электрическая постоянная времени;
Тэ = 0,08 с;
Кдв - коэффициент передачи двигателя;
Кдв = 9 об/(с´В);
Wр(S) = Кр - передаточная функция редуктора,
где
Кр - коэффициент передачи редуктора;
Кр = 1/i,
где- передаточное отношение редуктора;= 200;
Wз(S) = Кз - передаточная функция
заслонки,
где
Кз - коэффициент передачи заслонки;
Кз = 5 0С/угл.град;
Wп(S) = Кп´е-t´S - передаточная функция паропровода,
где
Кп - коэффициент передачи паропровода;
Кп = 0,7;
t - время чистого запаздывания;
t = 0,009 с;
- передаточная функция термопары,
где
Кт - чувствительность;
Кт = 0,5´10-4 В/0С;
Тт - постоянная времени;
Тт = 0,05 с;у(S) = Ку - передаточная
функция усилителя;
ТРЕБОВАНИЯ, ПРЕДЪЯВЛЯЕМЫЕ К СИСТЕМЕ:
. Заданное значение температуры пара qЗ° =
80 0С;
. Величина перерегулирования s = 30 %;
. Время регулирования tp = 0,7 с;
. Установившиеся ошибки: по положению - нулевая;
по скорости E = 4 % при Uз = 0,08 В/с.
НЕОБХОДИМЫЕ ДЕЙСТВИЯ:
. Составить структурную схему нескорректированной системы.
.1. Найти общий коэффициент передачи разомкнутой системы.
.2. Определить коэффициент передачи усилителя.
.3. Определить передаточные функции всех элементов системы.
.4. Определить передаточную функцию разомкнутой системы.
.5. Определить передаточные функции замкнутой системы.
. Исследовать устойчивость системы.
.1. По критерию Гурвица.
.2. По критерию Михайлова.
.3. По критерию Найквиста на основе ЛЧХ.
. Определить корректирующее устройство.
.1. Построить желаемые ЛЧХ системы.
.2. Определить передаточную функцию корректирующего устройства.
. Определить желаемую передаточную функцию замкнутой системы, построить
переходный процесс и выполнить анализ качества процесса регулирования.
. Техническая реализация корректирующего устройства.
.1. Аппаратная реализация.
.2. Программная реализация.
1.
Структурная схема
нескорректированной системы
Структурной схемой системы управления (в нашем случае - системы автоматического
регулирования) называется её графическое изображение в виде комбинации типовых
и нетиповых звеньев [1]. Представим структурную схему заданной системы, исходя
из функциональной схемы заданной САР, на рисунке 1.1:
Рис.1.1 Структурная схема нескорректированной системы
Передаточные функции элементов (звеньев) системы:ЗУ(s) -передаточная функция задающего
устройства;У(s) -
передаточная функция усилителя;ДВ(s) - передаточная функция электродвигателя;Р(s) - передаточная функция редуктора;
Wз(s) - передаточная функция заслонки;
Wп(s) - передаточная функция паропровода;
Wт(s) - передаточная функция термопары.
Координаты системы:
qд° -
действительное значение температуры пара;
qЗ° - заданное
значение температуры;з - напряжение, выдаваемое задающим
устройством;т - напряжение на выходе термопары;
DU = Uз-Uт - напряжение, выдаваемое сравнивающим
устройством;- напряжение на выходе усилителя;
aд - угол
поворота вала двигателя;
aр - угол
поворота вала редуктора;
aз - угол
поворота заслонки.
1.1 Общий коэффициент передачи разомкнутой
системы
Данная система является астатической системой первого порядка.
Астатическими называются такие САУ, в которых при различных постоянных
значениях внешнего воздействия на объект управления отклонение регулируемой
величины от требуемого значения по окончании переходного процесса становится
равным нулю.
Такие системы отслеживают линейно нарастающее задающее воздействие
(содержит интегрирующее звено I порядка в составе электродвигателя), значит,
общий коэффициент передачи системы может быть получен из условия [1]:
;
Тогда напряжение на выходе задающего устройства:
,
продифференцировав данное выражение, получим:
,
из последнего
найдется как:
.
найдется из имеющейся в исходных данных установившейся ошибки
по скорости следующим образом:
;
Теперь имеем все данные для расчета коэффициента
:
;(1.1)
где:
Е = 4 % - установившаяся ошибка по скорости при
= 0,08 В/с;
qЗ = 80 °С - заданное значение температуры
пара;
КЗУ = Кт = 0,5´10-4 В/0С;- коэффициент передачи
задающего устройства.
Подставив значения в (1.1) получим:
.
Из этого неравенства выбираем
:
=550c-1;
1.2 Коэффициент передачи усилителя
разомкнутой системы
Общий коэффициент усиления найдется как произведение передаточных функций
звеньев прямой ветви на произведение передаточных функций звеньев обратной
ветви:
;(1.2)
Откуда Kу найдется как:
где:
Кобщ = 550 (с-1 ) - общий коэффициент передачи
разомкнутой системы;
Кдв =9 (об/(сВ))=3240 (угл.град/(сВ)) - коэффициент передачи
двигателя;
Кр = 1/200 - коэффициент передачи редуктора;
Кз = 5 (0C/угл.град.) - коэффициент передачи заслонки;
Кп = 0,7 - коэффициент передачи паропровода.
Кт = 0,5´10-4 (В/0C) - коэффициент передачи термопары (чувствительность); Тогда, подставив
все известные данные в (1.3), получим:
cмоделировав
систему в программе «ТАУ», с использованием «мастера КП» (рис 1.2), получим:
Рис 1.2 мастер курсового проекта программы ТАУ
W(s) = 549,99 *
(
(1 - 0,009 * s)
) / (
s *
(0,05 * s + 1) *
(0,15492^2 * s^2 + 2 * 0,96825
* 0,15492 * s + 1)
);
Откуда видно, что общий коэффициент усиления разомкнутой системы:
Kобщ=550 , следовательно верно рассчитан
коэффициент Kу .
1.3 Передаточные функции всех
элементов системы
Wзу(s)=Кзу - передаточная функция задающего устройства,
где
Кзу =0,5·10-4 (В/0С);
Wу(s)=Ку - передаточная функция усилителя,
где
Ку =
;
- передаточная функция двигателя;
где
Кдв =9 (об/(сВ));
s -
оператор Лапласа;
Тм = 0,3 (с) - механическая постоянная времени;
Tэ= 0,08 (с) - электрическая постоянная
времени.
Представим звенья в типовом виде, приняв:
;
При Т1<2T2 полином имеет комплексные корни, т.
е. передаточная функция примет вид:
, (1.4)
где
Т - первая постоянная времени, определяющая угловую частоту свободных
колебаний l=1/Т;
x - параметр затухания, лежащий в пределах 0<x<1;
,
(1.5)
Wр(s)= Кр - передаточная функция редуктора,
где
Кр =1/i;
i =200
- передаточное отношение редуктора;
Wз(s)=Кз - передаточная функция заслонки,
где
Кз = 5(0C/угл.град.);
Wп(s)=Кп е-τs - передаточная функция
паропровода,
где
Кп = 0,7;
τ = 0,009 (с) - время чистого
запаздывания;
- передаточная функция термопары,
где
Кт = 0,5·10-4 (В/0C); чувствительность;
Tт =0,05 c - постоянная времени термопары.
1.4 Передаточная функция разомкнутой
системы
Передаточная функция разомкнутой системы найдется в данном случае как
произведение передаточных функций всех звеньев между датчиком рассогласования и
его инверсным входом.
(1.6)
В результате ряда преобразований получаем передаточную функцию
разомкнутой системы:
, (1.7)
где
550(с-1) - общего коэффициента передачи
разомкнутой системы;
Т = 0,15492(c) -
первая постоянная времени двигателя;
x =0,96825- параметр затухания;
t = 0,009 (с) - время чистого запаздывания;
Tт =0,05 c - постоянная времени термопары.
Проверим полученную передаточную функцию с помощью программы «ТАУ».
{Разомкнутая система }(s) = Wus(s) * Wdv(s) * Wred(s) *
Wzas(s) * Wpar(s) * Wter(s);
где
Wus(s) - передаточная функция усилителя;
Wdv(s) - передаточная функция
электродвигателя;
Wred(s) - передаточная функция редуктора;
Wzas(s) - передаточная функция заслонки;
Wpar(s) - передаточная функция паропровода;
Wter(s) - передаточная функция термопары.
В результате получим выражение для передаточной функции разомкнутой
системы:(s) = 549,99 *
(
(1 - 0,009 * s)
) / (*
(0,05 * s + 1) *
(0,15492^2 * s^2 + 2 * 0,96825 * 0,15492 * s + 1)
);
С помощью программы «ТАУ» построим ЛАХ и ФЧХ разомкнутой системы (рис.
1.3 и 1.4).
Рис.1.3 - ЛАХ разомкнутой системы
Рис.1.4 - ФЧХ разомкнутой системы
1.5 Передаточные
функции замкнутой системы
Передаточные функции по задающему и возмущающему воздействиям находятся
из соотношений:
Составим упрощенную структурную схему
Рис 1.5 - Упрощенная структурная схема
Тогда выражение для передаточной функции замкнутой системы относительно
задающего воздействия:
(1.7)
А выражение для передаточной функции по ошибке относительно задающего
воздействия найдется как:
, (1.8)
где
Wзу(s) =Кзу =Кт - передаточная функция
задающего устройства;
- передаточная функция разомкнутой системы;
- передаточная функция прямой цепи;
- передаточная функция термопары.
Подставим выражения для передаточных функций в формулу (1.7), получим:
, (1.9)
где
550(с-1);
Т = 0,15492(c) -
новая постоянная времени двигателя;
t = 0,009 (с) - время чистого запаздывания;
Tт =0,05 c - постоянная времени термопары.
Подставим выражения для передаточных функций в формулу (1.8), получим:
, (1.10)
где Кзу =0,5·10-4 (В/0С) - коэффициент
передачи задающего устройства;
Т = 0,15492(c) -
новая постоянная времени двигателя; x =0,96825- параметр затухания; Tт =0,05 (c) -
постоянная времени термопары; τ = 0,009 (с) - время чистого
запаздывания. Передаточную функцию замкнутой системы смоделируем в программе
«ТАУ»:
{ Замкнутая система }(s) = Wzu(s) * (W(s)/Wter(s) / (1 +
W(s)));(s) = 1 *
(
(1 - 0,009 * s) *
(0,05 * s + 1)
) / (
(0,049706^2 * s^2 - 2 * 0,56174 * 0,049706 * s + 1) *
(0,029717^2 * s^2 + 2 * 0,81874 * 0,029717 * s + 1)
);
Получаем ЛАХ и ФЧХ замкнутой системы:
Рис.1.6 - ЛАХ и ФЧХ замкнутой системы
Частота среза равна: ωс = 20.5 рад/c ;
Получим переходную характеристику замкнутой системы и оценим качественные
показатели её работы.
Рис 1.7 - Переходная характеристика замкнутой системы
Данные величины показателей качества подтверждают неустойчивость системы.
2. Определение устойчивости системы
2.1 Исследование
системы на устойчивость по критерию Гурвица
Критерий Гурвица: при положительных коэффициентах характеристического
уравнения линейной системы с характеристическим полиномом D(p)= a0´pn + a1´pn-1 +…+ an-1´p + an для её устойчивости должны быть
больше нуля все n главных определителей матрицы Гурвица:
Характеристический полином:
(2.2)
Приравняем характеристический полином к нулю D(p)=0:
(2.3)
Разложим функцию
в ряд Маклорена
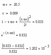
Для упрощения расчетов будем рассматривать первые три члена, т.к.
остальные малы:
(2.4)
Мы можем себе это позволить, поскольку значение выражения
отличается от значения
меньше, чем на 5%.
Проведем расчеты с помощью MathCad:
Тогда, с учетом выражения (2.4), выражение (2.3) примет вид:
(2.5)
Подставив числовые значения
550(с-1);
Т = 0,15492(c) -
новая постоянная времени двигателя;
x =0,96825- параметр затухания;
t = 0,009 (с) - время чистого запаздывания;
Tт =0,05 c - постоянная времени термопары.
, (2.6)
где:
;
;
;
;
.
Очевидно, что необходимое условие устойчивости не выполняется, т.к. a3<0. Тем не менее, найдём определители матрицы
Гурвица. Формируем матрицу Гурвица. На главной диагонали записываем все
коэффициенты, начиная с первого. Далее заполняем строки: четными коэффициентами
по порядку, если на главной диагонали стоит четный коэффициент, и нечетными,
если на главной диагонали стоит нечетный коэффициент. Если какой-либо
коэффициент отсутствует, то вместо него заносится нуль.
С учетом коэффициентов матрица Гурвица примет вид:
Для оценки устойчивости системы необходимо вычислить определители Гурвица
Di (i=1,2,…,n),
которые получаются из матрицы путем отчеркивания равного количества строк и
столбцов в левом верхнем углу матрицы. Для устойчивости системы все
определители матрицы должны быть положительными:
Данные определители можно посчитать вручную, а можно с использованием
программы MathCad. Для этого запишем матрицу Гурвица:
и рассчитаем ее определители:
Третий и четвёртый определители матрицы Гурвица меньше нуля, значит
система неустойчива.
2.2 Исследование
системы на устойчивость по критерию Михайлова
Согласно частотному критерию Михайлова для устойчивости линейной системы
n-го порядка необходимо и достаточно, чтобы изменение аргумента функции D(jw) при изменении w от 0 до ¥ равнялось nπ/2.
Характеристический вектор Михайлова:
D(jw) = X(w)+j´Y(w) =
D(w)´ej´Y(w) , (2.7)
где X(w) и Y(w) действительная и мнимая части
характеристического вектора, а D(w) и y(w) его модуль и аргумент.
Характеристический полином системы имеет вид
Для наглядного представления построим годограф Михайлова
Рис.2.1 годограф Михайлова
Из приведенного графика видно, что система неустойчива. Система не
проходит 4 квадранта против часовой стрелки.
2.3 Исследование системы на
устойчивость по критерию Найквиста
Критерий Найквиста позволяет оценить устойчивость по логарифмическим
частотным характеристикам разомкнутой системы. Замкнутая система будет
устойчива, если логарифмическая амплитудная частотная характеристика принимает
отрицательное значение раньше, чем логарифмическая фазовая частотная
характеристика примет значение -180°. Как видно из рис. 1.3 и 1.4, логарифмическая амплитудная
частотная характеристика принимает отрицательное значение позже, чем
логарифмическая фазовая частотная характеристика принимает значение -180°, что доказывает неустойчивость
системы.
Итак, на основании трех критериев устойчивости, можно сделать
вывод о том, что исследуемая система неустойчива, следовательно, для
обеспечения устойчивости в систему нужно вводить корректирующее устройство.
3. Синтез
корректирующего устройства
В данном курсовом проекте выдвинуты определенные требования к
синтезируемой системе, являющиеся отправной точкой процесса синтеза. Для
синтеза корректирующего устройства необходимо на основе этих требований найти
передаточную функцию, которая бы вносила необходимый вклад в работу системы,
изменяя качественные показатели её работы до определенных требуемых значений.
Требования к синтезируемой системе:
1. Заданное значение температуры пара qЗ° =
80 0С;
. Величина перерегулирования s = 30 %;
. Время регулирования tp = 0,7 с;
. Установившиеся ошибки:
по положению - нулевая;
по скорости E = 4 % при Uз = 0,08 В/с.
Обеспечение необходимого качества управления достигается выработкой
вполне определенного закона управления u(t). Для этого
необходимо, чтобы при известной передаточной функции объекта управления Wоу(s) регулятор имел определенную
передаточную функцию WR(s) и, соответственно передаточная функция разомкнутой системы должна быть
(s)=WR(s)´Wоу(s).
На рисунке 3.1 приведена структурная схема системы управления.
Рис.3.1 - Структурная схема системы управления
Для того, чтобы понять что нужно сделать, первоначально построим ЛАХ
располагаемой системы.
3.1 Построение
располагаемой ЛАХ системы
Под располагаемой ЛАХ понимается характеристика исходной системы,
состоящей из объекта управления и регулятора и не снабжённой корректирующими
средствами, обеспечивающими требуемое качество работы. Располагаемая ЛАХ
строится по виду располагаемой передаточной функции Wр(s) исходной разомкнутой системы (1.6):
,
где
550(с-1) - общего коэффициента передачи
разомкнутой системы;
Т = 0,15492(c) -
новая постоянная времени двигателя;
x =0,96825- параметр затухания;
Tт =0,05 c - постоянная времени термопары.
Рассчитаем сопрягающие частоты ЛАЧХ:
wсопр1 =
= 6,45 с -1. lg(wсопр1) = 0,81 дек;
wсопр2 =
= 20 с -1 lg(wсопр2) = 1,301 дек;
*lg(Кобщ) = 54,807 дБ.
а) Низкочастотный участок:
ЛАХ пройдет под наклоном -20 дб/дек через точку w=1c-1 , 20log(Kобщ)=54,807 дБ, т.к. степень
интегрирующего звена равна единице.
б) Среднечастотный участок:
В точке, соответствующей 1/T, ЛАХ
претерпевает излом на -20 дб/дек.
Часть графика, соответствующая колебательному звену [1]
, пройдет от 1/T до 1/ТТ при наклоне -40
дб/дек.
в) Высокочастотный участок:
В точке 1/ТТ ЛАХ претерпевает излом на -20 дб/дек. Часть
графика соответствующая звену (ТТs+1) пройдет от1/ТТ при наклоне -60 дб/дек.
Звено e-tp не оказывает влияния на ЛАХ (а
только на фазовую характеристику).
3.2 Построение
желаемой ЛАХ системы
Желаемая логарифмическая амплитудная частотная характеристика формируется
исходя из заданных требований к системе по точности и качеству переходного
процесса. Точность задается значениями установившихся ошибок, а качество
переходного процесса - величиной перерегулирования и временем регулирования.
Построение желаемой ЛАХ системы производится следующим образом:
а) Низкочастотная часть ЛАХ формируется из условия обеспечения требуемой
точности системы в установившемся режиме. Низкочастотная часть желаемой ЛАХ
должна иметь наклон -20дб/дек и проходить не ниже точки с координатами w=1c-1 , 20log(Kобщ).
б) Среднечастотный участок желаемой ЛАХ строится из условия обеспечения
основных показателей качества переходного процесса - перерегулирования и
времени регулирования. Это достигается тем, что среднечастотный участок
желаемой ЛАХ пересекает ось частот на частоте среза wс и имеет наклон -20 дб/дек. Частоту среза wс и требуемые запасы устойчивости по амплитуде Lh и фазе m можно определить по номограмме
Солодовникова, исходя из заданных значений tр = 0,7 с (время
регулирования) и s% =
30% (величина перерегулирования).
Среднечастотный участок проводится с наклоном -20 дб/дек влево и вправо
от частоты среза wс до
достижения модулей, равных Lh и -Lh. Среднечастотный участок желаемой
ЛАХ сопрягается с низкочастотным участком прямой с наклоном -40 дб/дек или -60
дб/дек. Выберем наклон -60 дб/дек.
в) Высокочастотный участок желаемой ЛАХ проводится параллельно
высокочастотному участку располагаемой ЛАХ, т. к. область высоких частот
содержит сопрягающие частоты, которые не влияют существенно на динамику
системы.
В данном курсовом проекте построение располагаемой и желаемой ЛАХ
осуществлялось с помощью программы «ТАУ».
Для этого выберем передаточную функцию разомкнутой системы и во вкладке
«Синтез» выберем пункт «Коррекция». Автоматически будет построена располагаемая
ЛАХ системы, на рис. 3.3 она обозначена цифрой 1.
Установим сопряжение -60 дБ/дек. Программа позволяет рассчитать значения
частоты среза wс и требуемые запасы устойчивости по
амплитуде Lh, исходя из заданных значений tр
= 0,7 с и s% = 30% (рис. 3.2).
Рис. 3.2 - Окно расчета частоты среза и запаса устойчивости
Далее, исходя из рассчитанных значений для частоты среза и запаса
устойчивости, в «ТАУ» можно построить желаемую ЛАХ системы (рис.3.3), она
обозначена цифрой 2.
Рис. 3.3 - Располагаемая и желаемая ЛАХ системы
3.3 Определение передаточной функции
корректирующего звена
Для реализации данной системы выберем последовательное корректирующее
устройство. В этом случае желаемая передаточная функция разомкнутой системы
имеет вид:
, (3.1)
где ПКУ(S) - передаточная функция последовательного
корректирующего устройства; Wр(S) - передаточная функция
располагаемой системы.
Тогда логарифмическая амплитудная частотная характеристика желаемой
системы
(3.2)
Следовательно, логарифмическая амплитудная частотная характеристика
последовательного корректирующего устройства
(3.3)
Выражение (3.3) показывает, что для определения последовательного
корректирующего устройства необходимо:
- по располагаемой передаточной функции построить ЛАХ располагаемой
системы;
- по заданным показателям качества построить ЛАХ желаемой системы;
- вычесть из желаемой ЛАХ располагаемую ЛАХ, что позволит найти
требуемую ЛАХ последовательного корректирующего устройства;
- по виду ЛАХ последовательного корректирующего устройства
определить его передаточную функцию и схему.
Передаточную функцию последовательного корректирующего устройства можно
получить, используя «ТАУ», для этого необходимо сначала рассчитать желаемую
передаточную функцию разомкнутой системы. Во вкладке «Коррекция» после
построения желаемой и располагаемой ЛАХ системы нужно нажать на кнопку «Принять»,
после чего программа автоматически вставит в исходный текст программы желаемую
передаточную функцию разомкнутой системы:
{ Wc = 16,61 [рад/с]; Lh = 25 [дБ]; -60 дБ/дек }
{скорректированная2 желаемая разомкнутая система }_ok_ok _ok (s) = 549,99 *
(
(1 - 0,009 * s) *
(1,0706 * s + 1) ^ 2
) / (*
(6,1606 * s + 1) ^ 2 *
(0,0033856 * s + 1) ^ 3
);
Далее передаточную функцию корректирующего устройства рассчитаем
следующим образом:
{последовательное корректирующее устройство}
Wpku(s) = W_ok _ok _ok (s)/W(s);
где
W(s) - располагаемая передаточная
функция.
Тогда
{ Передаточная функция Wpku(s) }
Wpku(s) = 1 *
(
(1,0706 * s + 1) ^ 2 *
(0,05 * s + 1) *
(0,15492^2 * s^2 + 2 * 0,96825 * 0,15492 * s + 1)
) / (
(6,1606 * s + 1) ^ 2 *
(0,0033856 * s + 1) ^ 3
);
4. Построение переходного процесса и
анализ качества процесса регулирования
4.1 Анализ качества процесса
регулирования
Для получения желаемой передаточной функции замкнутой системы
воспользуемся формулой (1.7):
, (4.1)
гдеж(s) -
желаемая передаточная функция разомкнутой системы, т. к. корректирующее
устройство включено последовательно, то
;
Wзу(s) =Кзу
- передаточная функция задающего устройства;
- передаточная функция прямой цепи;
- передаточная функция термопары;
где: КЗУ = 0,00005 (В/ºC);
Tт =0,05 - постоянная времени термопары.
Найдем передаточную функцию разомкнутой системы:
Тогда передаточная функция замкнутой системы:
(4.2)
ТЖ1=1,0706 (с);
ТЖ2=6,1606 (с);
ТЖ3=0,0033856 (с);
Т = 0,15492 (с);
x =0,96825;
Tт =0,05 (с);
550(с-1).
Передаточная функция замкнутой системы может быть получена с помощью
«ТАУ»:
{скорректированная2 желаемая замкнутая система }
Fyg_ok _ok _ok (s) = Wzu(s) * (W_ok _ok _ok (s)/Wter(s) / (1 + W_ok _ok _ok (s)));
{ Передаточная функция Fyg_ok _ok _ok (s) }
Fyg_ok _ok _ok (s) = 1 *
(
(1 - 0,009 * s) *
(1,0706 * s + 1) ^ 2 *
(0,05 * s + 1)
) / (
(1,2558 * s + 1) *
(0,82253 * s + 1) *
(0,040317 * s + 1) *
(0,010794 * s + 1) *
(0,0024408^2 * s^2 + 2 * 0,936 * 0,0024408 * s + 1)
);
Для построения переходного процесса воспользуемся программой «ТАУ» и уже
имеющейся желаемой передаточной функцией замкнутой системы.
График переходного процесса представлен на рис. 4.1.
Рис 4.1 - График переходного процесса
Время регулирования = 0,536
Перерегулирование = 20,8%
Оценим запасы устойчивости системы с помощью программы «ТАУ». Рассмотрим
таблицу 4.1, данные которой получены, исходя из ЛАФЧХ.
Таблица 4.1 Запасы устойчивости
|
ω
[рад/с]
|
L [дБ]
|
φ
[гр.]
|
|
16,53
|
0,00
|
-113,00
|
|
86,73
|
-15,00
|
-180,0
|
Таким образом, запас устойчивости по амплитуде составляет h=15 дб, по фазе m=67,0 градусов. Получившиеся
показатели качества переходного процесса меньше требуемых, следовательно
корректирующее устройство реализовано верно. Снимем амплитудную (рис 4.2) и
фазовую (рис 4.3) характеристики получившегося корректирующего устройства.
{ Передаточная функция Wpku(s) }
Wpku(s) = 1 *
(
(1,0706 * s + 1) ^ 2 *
(0,05 * s + 1) *
(0,15492^2 * s^2 + 2 * 0,96825 * 0,15492 * s + 1)
) / (
(6,1606 * s + 1) ^ 2 *
(0,0033856 * s + 1) ^ 3
);
Рис 4.2 Амплитудная характеристика корректирующего устройства
Рис 4.3 Фазовая характеристика корректирующего устройства
На основании полученных характеристик и будет реализовано корректирующее
устройство.
5. Схемная реализация корректирующего
устройства
5.1 Аппаратная реализация
Передаточная функция последовательного корректирующего устройства имеет
следующий вид:
, (5.1)
где
ТЖ1=1,0706 (с);
ТЖ2=6,1606 (с);
ТЖ3=0,0033856 (с);
Т = 0,15492 (с);
x =0,96825;
Tт =0,05 (с);
Таким образом, последовательное корректирующее устройство может быть
технически реализовано в виде комбинации из пяти последовательно соединенных
звеньев.
Глядя на передаточную функцию корректирующего устройства можно подобрать
типовые звенья, составленные из реальных технических устройств, реализующие при
последовательном включении необходимую функцию передачи.
Wpku(s) = 1 *
(
(1,0706 * s + 1) ^ 2 *
(0,05 * s + 1) *
(0,15492^2 * s^2 + 2 * 0,96825 * 0,15492 * s + 1)
) / (
(6,1606 * s + 1) ^ 2 *
(0,0033856 * s + 1) ^ 3
);
Для получения принципиальной схемы устройства в меню нужно выбрать
вкладку «Синтез», а затем пункт «Схемная реализация». Программа «ТАУ» имеет
набор элементарных электрических схем с заданными передаточными функциями.
Задача пользователя сводится лишь к выбору того или иного типового звена.
Для расчетов параметров звена необходимо выбрать номинал конденсатора С1.
Пусть ёмкость С1 составляет 10 мкФ. Тогда, имея значения постоянных
времени звена, остальные параметры программа «ТАУ» рассчитает автоматически. В
программе ТАУ получим автоматически приблизительные параметры сопротивлений и
емкостей, выбрав постоянные времени из Wpku(s):
Для первого звена
Tн=
1,0706; Тп=6,1606;
Подберём сопротивления, близкие к полученным в соответствии с рядом: R1 = R2 =510 кОм; С1=10 мкФ; R3 = 110 кОм.
Тогда постоянные времени примут значения:
Рис 5.1 - Схема первого реализованного звена
Для проверки рассчитаем в ручную путем решения системы уравнений,
описывающей цепь [4]
Для второго звена
Tн=
1,0706; Тп=6,1606;
Подберём сопротивления, близкие к полученным, в соответствии с рядом:
R1
= R2 =510 кОм;
С1=10 мкФ;
R3 = 110 кОм.
Тогда постоянные времени примут значения:
Рис 5.2 - Схема второго реализованного звена
Для третьего звена
Тн=0,05; Tп=0,0033856;
Подберём сопротивления, близкие к полученным в соответствии с рядом:
R1
= R2 =470 кОм;
С= 100 нФ;
R3 = 33 кОм.
Тогда постоянные времени примут значения:
Рис 5.3 - Схема третьего реализованного звена
Для четвертого звена
Тн=0,15492; Tп=0,0033856;
Подберём сопротивления, близкие к полученным в соответствии с рядом:
R1
= R2 =1,2 МОм;
С= 10 нФ;
R3 = 330 кОм.
Тогда постоянные времени примут значения:
Рис 5.4 - Схема четвертого реализованного звена
Для пятого звена
Тн=0,15492; Tп=0,0033856;
Подберём сопротивления, близкие к полученным в соответствии с рядом:
R1
= R2 =1,2 МОм;
С= 10 нФ;
R3 = 330 кОм.
Тогда постоянные времени примут значения:
Рис 5.5 - Схема пятого реализованного звена
Для шестого звена
Подберём одинаковые сопротивления в соответствии с рядом:
R1
= R2 =510 кОм;
Для правильной реализации необходимо еще инвертировать знак функции.
Данное звено представляет собой инвертор знака с коэффициентом K= -1
Рис 5.6 - Схема шестого реализованного звена
Полная принципиальная схема устройства представлена приложении Б.
После того как все звенья соединены, в программе «ТАУ» необходимо выбрать
пункт «Составить описание». Программа автоматически произведет расчет
передаточной функции полученного устройства:
{ реальное корректирующее устройство }
Circuit(s) = 1 *
(
(1,1 * s + 1) ^ 2 *
(0,0503 * s + 1) *
(0,1533 * s + 1) ^ 2
) / (
(6,2 * s + 1) ^ 2 *
(0,0033 * s + 1) ^ 3
);
Тогда реальная система рассчитается следующим образом
{реальная разомкнутая система}
WW(s)=W(s)*Circuit(s);
{реальная замкнутая система }(s) = Wzu(s) *
(WW(s)/Wter(s) / (1 + WW(s)));
{ Передаточная функция FF(s) }F(s) = 1 *
(
(1 - 0,009 * s) *
(1,1 * s + 1) ^ 2 *
(0,0503 * s + 1) *
(0,1533 * s + 1) ^ 2 *
(0,05 * s + 1)
) / (
(1,2843 * s + 1) *
(0,85458 * s + 1) *
(0,18607 * s + 1) *
(0,11696 * s + 1) *
(0,053097 * s + 1) *
(0,039668 * s + 1) *
(0,010628 * s + 1) *
(0,0023743^2 * s^2 +
2 * 0,93535 * 0,0023743 * s + 1)
);
А теперь сравним ЛЧХ полученного устройства с ЛЧХ требуемого ПКУ. Эти ЛЧХ
представлены на рис.5.7 и 5.8 соответственно.
Рис. 5.7 - ЛЧХ ПКУ, полученного в ходе аппаратной реализации
Рис. 5.8 - ЛЧХ требуемого ПКУ
Для того чтобы убедиться в работоспособности введенного устройства,
построим частотные характеристики реальной замкнутой системы. Также выполним
анализ качества процесса регулирования системой.
Рис. 5.9 - Переходная характеристика реальной замкнутой системы
Рис. 5.10 - Оценка качества процесса регулирования реальной замкнутой
системой
Как видно из рисунка 5.10, величина перерегулирования равна 24,1 %, время
регулирования составляет 0,449 с. Полученные значения удовлетворяют
предъявленным требованиям (перерегулирование не больше 30%, время регулирования
не больше 0,7 с), значит, аппаратная реализация последовательного корректирующего
устройства выполнена верно.
5.2 Программная реализация
последовательного корректирующего устройства
Для расчета реакции корректирующего устройства на внешние воздействия
реализуем программно наше корректирующее устройство.
Передаточная функция корректирующего устройства имеет вид:
,
где
ТЖ1=1,0706 (с);
ТЖ2=6,1606 (с);
ТЖ3=0,0033856 (с);
Т = 0,15492 (с);
x =0,96825;
Tт =0,05 (с);
Программная реализация корректирующего устройства предусматривает
использование в своем составе импульсной системы - системы, где как минимум
одна из описываемых систему координат подвергается квантованию по времени.
Квантованные по времени величины при помощи импульсной модуляции преобразуются
в чередование импульсов. Таким образом, импульсную систему для программной
реализации целесообразно представить в виде комбинации импульсного элемента [3]
(осуществляет процесс квантования величины по времени с преобразованием её в
последовательность импульсов) и непрерывной части, составленной из типовых
динамических звеньев (заданная система с включенным в нее ПКУ).
рис 5.11 схема САР с включенным в нее импульсным элементом
где
g -
задающее воздействие;
y1 -
сигнал, получаемый с импульсного элемента;
y -
выходное воздействие (выходная величина);
НЧ - низкочастотная часть системы;
ФЭ - формирующий элемент;
ПНЧ - приведенная непрерывная часть системы.
WПКУ(s) - передаточная функция непрерывной части системы
(последовательного корректирующего устройства).
Дискретную передаточную функцию WПКУ(z) последовательного
корректирующего устройства целесообразно получить через передаточную функцию
непрерывной части системы Wнч(S).
Выражение для дискретной передаточной функции разомкнутой импульсной
системы [3 ]представлено в следующем виде:
,
где
- импульсная функция последовательной непрерывной части.
Для практического расчёта в целях упрощении рекомендуется представить
передаточную функцию в виде следующего выражения:
,
где
.
В нашем случае импульсный элемент формирует последовательность
прямоугольных импульсов длительностью
, где γ - величина скважности импульса).
Тогда расчетное соотношение для дискретной передаточной функции разомкнутой
импульсной системы примет вид:
{
Wнч(s) }= W1(z,s) - W1g(z,s),
где
{
Wнч(s) };
{
Wнч(s) }.
В данном курсовом проекте используем импульсный элемент, который
генерирует прямоугольные импульсы, длительность которых совпадает с периодом
дискретности, т. е. значение скважности γ = 1. Данный формирующий элемент
носит название экстраполятора нулевого порядка или запоминающего
элемента. Дискретная передаточная функция тогда примет вид:
Можно определить дискретную передаточную функцию [3] WПКУ(z)
корректирующего устройства, учитывая, что WНЧ(s) =WПКУ(s):
Для получения дискретной функции воспользуемся программой ТАУ. Выберем
передаточную функцию корректирующего устройства и используем пункт
“Дискретизация”. В поле “Частота ГЦ” вводим значение 1000. Принимаем
рассчитанную передаточную функцию. АЧХ передаточной функции приведен на рис.
5.11.
{ Передаточная функция Wpku(z) }u(z) =
[
,33862127455022E+02 {z^5};
,55132837640109E+03 {z^4};
,87585287831254E+03 {z^3};
,65820590062517E+03 {z^2};
,22485603597545E+03 {z^1};
,25036764716319E+02 {z^0}
] / [
,00000000000000E+00 {z^5};
,23244694898799E+00 {z^4};
,12625003443188E+00 {z^3};
,96727799354837E+00 {z^2};
,48559911469971E+00 {z^1};
,12124206154579E-01 {z^0}
];
Рис.5.11 - АЧХ дискретной передаточной функции корректирующего устройства
Выполним преобразование дискретной передаточной функции корректирующего
устройства к виду, удобному для построения структурной схемы решения.
;
Перейдем к разностному уравнению:

Выразим из полученного разностного уравнения y[n]:
На рис.5.12 изображена схема решения разностного уравнения [3]
Рис.5.12 схема решения разностного уравнения
Блок-схема алгоритма представлена на рис.5.13.
Рис.5.13-Блок-схема алгоритма
Блок-схема алгоритма функции расчета Raschet представлена на рис. 5.14.
Рис.5.14- Блок-схема алгоритма функции расчета Raschet
Программно реализуем наше корректирующее устройство на языке C++. Код программы с пояснениями
приведен в приложении В.
Заключение
В данном курсовом проекте было спроектировано корректирующее устройство
для системы автоматического регулирования температуры подаваемого пара.
Устройство синтезировалось на основе начальных условий и требований к системе,
а именно к качеству её работы: величине перерегулирования, времени
регулирования, условия устойчивости. При разработке использовались различные
программные средства: программа “ТАУ”, программа “Mathcad”. Данные программные пакеты позволяют выполнять все
необходимые действия для синтеза необходимой системы, а так же для её анализа.
На основании полученных постоянных времени передаточной функции корректирующего
устройства аппаратно был реализован фильтр, представляющих собой каскад
электронных звеньев на операционных усилителях. При помощи среды разработки
приложений C++ Microsoft Visual 2010 выполнена программная реализация корректирующего
устройства, реализующая математические операции расчета выходной величины по
заданному входному воздействию.
Список литературы
1. Тюкин В.Н. Теория управления: Часть 1. Обыкновенные
линейные системы управления. - 2-е изд., испр. и доп. - Вологда: ВоГТУ, 2000. -
200 с., ил.
. Тюкин В.Н. Теория автоматического управления. Методические
указания к практикуму: Руководство пользователя комплекса программного
обеспечения по курсу ТАУ и контрольные примеры. - Вологда: ВоГТУ, 2005. - 34 с.
. Тюкин В.Н. Теория управления: Часть 2. Особые линейные и
нелинейные системы. - 2-е изд., испр. и доп - Вологда: ВоГТУ, 2001. - 140 с.,
ил.
. Фатеев А.В. Расчет автоматических систем.- М., "Высш.
школа", 1973. - 336с., ил.
Приложение А Листинг программы ТАУ
{вариант №2}
{ Задающее устройство }= 5E-5; { Вольт / Кельвин }(s) = Kzu;
{ Усилитель }= 194000;(s) = Kus;
{ Электродвигатель }= 9; { оборот / (секунда * Вольт) }= 0,3; { секунда
}= 0,08; { секунда }(s) = Kdv / [Tm*Te; Tm; 1; 0];
{ Редуктор }= 200;(s) = 1 / Ired;
{ Заслонка }= 5 * 360; { Кельвин / оборот }(s) = Kzas;
{ Паропровод }= 0,7;= 0,009; { секунда }(s) = Kpar * (1 - tau*s);
{ Термопара }= 5E-5; { Вольт / Кельвин }= 0,05; { секунда
}(s) = Kter / (Tter*s + 1);
{ Разомкнутая система }(s) = Wus(s) * Wdv(s) * Wred(s) * Wzas(s) * Wpar(s) *
Wter(s);
{Желаемая разомкнутая система}
{ Wc = 16,61 [рад/с]; Lh = 16 [дБ]; -60 дБ/дек }
W_ok(s) = 549,99 *
(
(1 - 0,009 * s) *
(0,37987 * s + 1) ^ 2
) / (*
(2,1859 * s + 1) ^ 2 *
(0,0095418 * s + 1) ^ 3
);
{ Желаемая замкнутая система }_ok (s) = Wzu(s) * (W_ok
(s)/Wter(s) / (1 + W_ok (s)));
{ Wc = 16,61 [рад/с]; Lh = 21 [дБ]; -60 дБ/дек }
{скорректированная желаемая разомкнутая система}_ok _ok (s) = 549,99 *
( (1 - 0,009 * s) *
(0,67551 * s + 1) ^ 2
) / (
s *
(3,8871 * s + 1) ^ 2 *
(0,0053657 * s + 1) ^ 3
);
{ скорректированная желаемая замкнутая система }
Fyg_ok _ok (s) = Wzu(s) * (W_ok _ok (s)/Wter(s) / (1 + W_ok _ok (s)));
{ Wc = 16,61 [рад/с]; Lh = 25 [дБ]; -60 дБ/дек }
{скорректированная2 желаемая разомкнутая система}
_ok _ok _ok (s) = 549,99 *
(
(1 - 0,009 * s) *
(1,0706 * s + 1) ^ 2
) / (
s *
(6,1606 * s + 1) ^ 2 *
(0,0033856 * s + 1) ^ 3
);
{ скорректированная2 желаемая замкнутая система }
Fyg_ok _ok _ok (s) = Wzu(s) * (W_ok _ok _ok (s)/Wter(s) / (1 + W_ok _ok _ok (s)));
{последовательное корректирующее устройство}
Wpku(s) = W_ok _ok _ok (s)/W(s);
{реальное корректирующее устройство}
Circuit(s) = 1 *
(
(1,1 * s + 1) ^ 2 *
(0,0503 * s + 1) *
(0,1533 * s + 1) ^ 2
) / ( (6,2 * s + 1) ^ 2 *
(0,0033 * s + 1) ^ 3
);
{реальная разомкнутая система}
WW(s)=W(s)*Circuit(s);
{реальная замкнутая система }(s) = Wzu(s) *
(WW(s)/Wter(s) / (1 + WW(s)));
{дискретное последовательное корректирующее устройство}
{ Частота дискретизации 1000 Гц }u(z) =
[
,33862127455022E+02 {z^5};
,55132837640109E+03 {z^4};
,87585287831254E+03 {z^3};
,65820590062517E+03 {z^2};
,22485603597545E+03 {z^1};
,25036764716319E+02 {z^0}
] / [
,00000000000000E+00 {z^5};
,23244694898799E+00 {z^4};
,12625003443188E+00 {z^3};
,96727799354837E+00 {z^2};
,48559911469971E+00 {z^1};
,12124206154579E-01 {z^0}
];
Приложение Б Принципиальная схема
устройства
Приложение В Код программной
реализации
#include "iostream"
#include <stdio.h>
#include <conio.h>namespace std;double
//коэффициенты полинома
b0=933.862127455022
,
b1=-4551.32837640109,
b2=8875.85287831254,
b3=-8658.20590062517,=4224.85603597545,=-825.036764716319,=1.00000000000000,=-4.23244694898799,=
7.12625003443188,=-5.96727799354837,=2.48559911469971,=-0.412124206154579;y[6]={0,0,0,0,0,0},
f[6]={0,0,0,0,0,0};n=0,i;t;
double Raschet (double u) //функция расчета выходной величины
{(i=0;i<=4;i++)[i]=f[i+1];[5]=u;[5]=(1/a0)*(f[5]*b0+f[4]*b1+f[3]*b2+f[2]*b3+f[1]*b4+f[0]*b5-a1*y[4]-a2*y[3]-a3*y[2]-a4*y[1]-a5*y[0]);
//реализация схемы решения рис.5.10
for (i=0;i<=4;i++)
y[i]=y[i+1];
return y[5];
};main(int argc, char* argv[])
{<<"vvedite dlitelnost n= ";>>n;(int
j=0;j<=n;j++)
{<<"n = "<<j<<" vozdeistvie
= ";>>t;<<"vuhod sistemu:
"<<Raschet(t);<<endl;
}();0;
}