Частотный синтез корректирующего устройства
МИНИСТЕРСТВО
ОБРАЗОВАНИЯ И НАУКИ РОССИЙСКОЙ ФЕДЕРАЦИИ
Государственное
образовательное учреждение высшего профессионального образования
САНКТ-ПЕТЕРБУРГСКИЙ
ГОСУДАРСТВЕННЫЙ УНИВЕРСИТЕТ
АЭРОКОСМИЧЕСКОГО
ПРИБОРОСТРОЕНИЯ
КАФЕДРА
УПРАВЛЕНИЯ И ИНФОРМАТИКИ
В
ТЕХНИЧЕСКИХ СИСТЕМАХ
ПОЯСНИТЕЛЬНАЯ
ЗАПИСКА
К
КУРСОВОЙ РАБОТЕ
ЧАСТОТНЫЙ
СИНТЕЗ КОРРЕКТИРУЮЩЕГО УСТРОЙСТВА
по
дисциплине: Теория автоматического регулирования
РАБОТУ ВЫПОЛНИЛ
СТУДЕНТ
Богатырев А. В.
Санкт-Петербург
2011
Техническое задание
частотный передаточный синтез
управление
Передаточная функция исходной системы:
Тпп=0.6 сек - время переходного процесса;
М=1.19 - показатель колебательности;
=20 % - величина
перерегулирования;
ед=0.01 рад - допустимая ошибка;
Ωmax=0.2 рад/с -
максимальная скорость в динамическом режиме;
εmax=0.6 рад/с -
максимальное ускорение в динамическом режиме.
Расчеты и графики
Методические указания к работе:
На вход системы подан сигнал
.
ЛАХ системы в области низких частот должна быть расположена не ниже контрольной
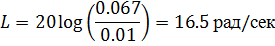
точки Ak с координатами:
;
.
(2)
Рисунок 1. Запретная зона на плоскости ЛАЧХ.
Для нахождения частоты и амплитуды
эквивалентного гармонического воздействия можно воспользоваться требуемыми
значениями максимальной скорости и ускорения системы:
)
Для определения границ среднечастотного участка
вводится понятие базовой частоты:
По базовой частоте вычисляется частота среза:
По частоте среза определяются частоты ω2,
ω3, соответствующие началу и концу среднечастотного
участка:
Типовая структура желаемой ЛАЧХ изображена на
рисунке 2.
Рисунок 2. Построение желаемой ЛАЧХ
Количество сопрягающих частот зависит от степени
исходной передаточной функции. Значения этих частот в высокочастотной области
выбирают исходя из следующих условий:
;
…
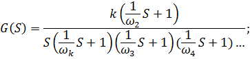
Желаемой передаточной функции на рисунке 2
соответствует структура:
где k - коэффициент усиления;
Общий вид передаточной функции
нескорректированной системы выглядит следующим образом:
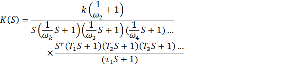
Тогда передаточная функция скорректированной
системы будет иметь такой вид:
Проведенные расчеты:
Определим параметры желаемой передаточной
функции. Амплитуда и частота гармонического воздействия определяется по
выражению 3:
Координата контрольной точки Ак определяется по
выражению 2:
Границы среднечастотной области.
базовая частота:
частота среза:
Определим частоты ω2 ,
ω3,
соответствующие началу и концу среднечастотного участка:
Выбираем ω4=200 рад/сек.
Из графика ЛАЧХ желаемой функции (приложение1)
находим, что желаемый коэффициент усиления будет равен:

Далее запишем вид желаемой передаточной функции:
Передаточная функция корректирующего устройства
будет выглядеть следующим образом:
Полученные графики и их описание
Анализ динамических свойств исходной системы
управления
Рисунок 3. Схематический вид передаточной
функции исходной системы
Рисунок 4. Переходный процесс исходной функции
Как видно из графика, процесс расходящийся. Это
говорит о том, что система неустойчива.
Анализ частотных свойств исходной системы
управления
Рисунок 5. Схематический вид передаточной
функции исходной системы для проведения анализа частотных свойств
Рисунок 6. Построение располагаемой
логарифмической амплитудной и фазовой частотных характеристик (РЛАХ, РЛФХ)
Построение желаемой логарифмической амплитудной
и фазовой частотных характеристик (ЖЛАХ, ЖЛФХ). Расчет сопрягающих частот и
желаемого коэффициента передачи, определение желаемой передаточной функции были
проведены выше в пункте «2. Проведенные расчеты».
Рисунок 7. Схематический вид желаемой
передаточной функции
Как мы видим из графика на рисунке 8, желаемая система
- устойчива. На частоте среза ωс=19.4
рад/сек запас устойчивости составляет 73 градусов, что отвечает требованиям
устойчивой системы.
(∆φ=180
град-107 град=73град).
Рисунок 8. Построение ЖЛАХ и ЖЛФХ
Синтез последовательного корректирующего звена
В пункте «2. Проведенные расчеты» определена
передаточная функция корректирующего звена. Его схематический вид представлен
на рисунке 9.
Рисунок 9. Схематический вид передаточной
функции корректирующего звена
Рисунок 10. Построение логарифмической
амплитудно-частотной характеристики корректирующего звена
Анализ динамических свойств скорректированной
системы управления
Рисунок 11. Схематический вид скорректированной
системы
Время переходного процесса скорректированной
системы составляет Тпп=0.137 сек;
Величина перерегулирования скорректированной
системы - σ = 0.237%
Рисунок 12. Построение переходного процесса
скорректированной системы
Выводы
Произведено преобразование исходной неустойчивой
системы с отрицательной обратной связью в устойчивую с помощью частотного
метода синтеза. Другими словами, на основе построения реальных и желаемых
частотных характеристик системы и их сопоставления выбраны структура и
параметры корректирующего устройства.
Опираясь на техническое задание построена АЧХ
желаемой системы и сформирована передаточная функция корректирующего звена.
Это позволило провести динамический анализ
скорректированной системы, параметры которой полностью удовлетворяют
требованиям технического задания.
Величина перерегулирования скорректированной
системы оказалась равной 0,237% (20% по техническому заданию). Время
переходного процесса составило 0,137 сек (0,6 сек по техническому заданию).
1.