Синтез последовательного корректирующего устройства
Содержание
Введение
.
Синтез последовательного корректирующего устройства
.1
Задание на курсовую работу
.2
Определение передаточных функций элементов нескорректированной системы
автоматического управления
.3
Приведение заданной структурной схемы системы автоматического управления к
структуре с единичной обратной связью
.4
Определение требуемого коэффициента усиления разомкнутой системы
.5
Построение логарифмической амплитудно-частотной характеристики разомкнутой
нескорректированной системы
.6
Оценка устойчивости исходной нескорректированной системы
.7
Построение желаемой логарифмической амплитудно-частотной характеристики
.8
Определение требуемой передаточной функции корректирующего устройства и его
электрической схемы
.9
Построение логарифмической фазочастотной характеристики скорректированной
системы
.10
Запись передаточной функции скорректированной системы в разомкнутом состоянии
.11
Определение передаточной функции скорректированной системы в замкнутом
состоянии
.
Результаты имитационного моделирования системы автоматического управления на
ЭВМ
Заключение
Библиографический
список
Введение
В теории систем автоматического управления
синтезом называют технически обусловленное математическое обоснование структуры
системы и определение ее оптимальных параметров.
В связи с трудностями, возникающими при полном
синтезе САУ, чаще имеет смысл рассматривать задачу коррекции динамических и
статических свойств уже имеющейся САУ.
Следует различать три основных метода коррекции
динамических свойств линейных САУ.
При последовательной коррекции корректирующее
устройство включают последовательно с элементами основного контура
регулирования.
При прямой параллельной коррекции корректирующее
устройство включают параллельно участку цепи управления, подлежащему коррекции.
Параллельные корректирующие устройства часто
используются с целью введения в закон управления производных или интегралов от
сигналов управления.
При введении местных обратных связей
корректирующее устройство включают в цепь отрицательной обратной связи, которая
охватывает избранные элементы САУ.
Применяемая в данной курсовой работе методика
синтеза КУ ориентирована исключительно на минимально-фазовые системы, т.е.
системы, у которых имеется однозначная зависимость между видом ЛАЧХ и ЛФЧХ, что
позволяет судить о переходном процессе по одной ЛАЧХ.
1. Синтез последовательного корректирующего
устройства
.1 Задание на курсовую работу по дисциплине
«Теория автоматического управления»
. Произвести синтез последовательного
корректирующего устройства по логарифмическим частотным характеристикам для
обеспечения заданных показателей качества системы автоматического управления
электроприводом постоянного тока.
2. Рассчитать кривые переходных
процессов в скорректированной системе при поступлении на вход сигналов
и
.
. Произвести оценку показателей
качества переходных процессов и сравнить их с заданными.
. Построить ККП и логарифмические
частотные характеристики скорректированной системы при помощи программы
«Анализ».
. Сравнить результаты построений
вручную и на ЭВМ.
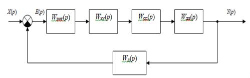
Рис.1. Структурная схема системы
автоматического управления двигателем постоянного тока.
На рис.1. приняты следующие
обозначения:
передаточная функция регулятора
скорости;
передаточная функция силового
преобразователя,
где Ксп=75- коэффициент
усиления преобразователя,
Тсп=0,0015 с - постоянная
времени силового преобразователя;
передаточная функция датчика
скорости,
Где КД=0,15 В*с -
коэффициент усиления датчика;
передаточная функция двигателя
постоянного тока с внутренним возбуждением, управляемого по якорной цепи.
Необходимо синтезировать
корректирующее устройство последовательного типа, обеспечивающего необходимые
показатели качества, при следующем задании:дн=220 В - номинальное
напряжение двигателя;
Рдн=7 кВт - номинальная
мощность двигателя;дн=2500об/мин - номинальная частота вращения
двигателя;ян=37 А - номинальный ток цепи якоря;ян=0,065
Ом - номинальное активное сопротивление цепи якоря;=0,15 кг*м2 -
приведенный к валу двигателя суммарный момент инерции.
В результате синтеза необходимо
получить следующие показатели качества:
при изменении управляющего
напряжения с постоянной скоростью V=10 В/с скоростная ошибка системы eск не должна
превышать 0,1 В;
перерегулирование при номинальном
ступенчатом воздействии не должно превышать значения sзад=30%;
- время регулирования при
номинальном ступенчатом воздействии недолжно превышать значения tуст=0.6
с.
.2 Определение передаточных функций
элементов нескорректированной САУ
Производим синтез корректирующего
устройства.
Конкретизируем передаточную функцию
двигателя. Для этого определяем значение коэффициента усиления Кдв и
электромеханической постоянной времени Тм.
. Вычислим номинальную угловую
скорость вращения вала двигателя:
автоматический корректирующий частотный синтез
.
. Определим конструктивные
постоянные двигателя:
,
,
где МДн - номинальный
вращающий момент двигателя, определяемый:
,
.
. Определим искомые параметры Тм
и КДв:
с ,
.
Теперь передаточные функции всех
элементов нескорректированной САУ определены.
.3 Приведение заданной структурной
схемы САУ к структуре с единичной обратной связью
Рис.2. Структурная схема САУ
двигателем постоянного тока, приведенная к единичной обратной связи.
.
В нашем случае:
.
.4 Определение требуемого
коэффициента усиления разомкнутой системы
Определяем требуемый коэффициент
усиления разомкнутой системы Крск, при котором обеспечиваются
заданная точность в установившемся режиме:
.
.5 Построение ЛАЧХ разомкнутой
нескорректированной системы
Строим ЛАЧХ разомкнутой
нескорректированной системы Lрнс с учетом требуемого коэффициента
усиления Крск. Для этого предварительно находим:
,
и частоты перегиба Lрнс
1.6 Оценка устойчивости исходной
нескорректированной системы
По логарифмическому критерию устойчивости
оцениваем устойчивость исходной нескорректированной системы. Для этого по
найденной ПФ разомкнутой САУ строим ЛФЧХ системы:
.
По результатам построений,
показанным на рис.3, можно сделать вывод что система устойчива, т.к. линия Lрнс(w) пересекает ось w «раньше», чем кривая jрнс(w) пресекает линию -2p (-180о).
.7 Построение желаемой ЛАЧХ
Для выбора корректирующего
устройства, обеспечивающего заданные динамические свойства системы, строим
желаемую ЛАЧХ Lж(w)
Определяем параметр Рmax
ВЧХ, соответствующий заданному значению перерегулирования sзад. Для этого
задаемся значением перерегулирования s1<sзад, выбираем s1=25%, и
определяем максимальное значение ВЧХ, соответствующее выбранному значению s1, Pmax=1,165.
Находим минимальное значение ВЧХ.
.
Проверяем правильность выбора s1 подсчетом
общего перерегулирования
.
Получаем значение перерегулирования s»sзад.
Следовательно, Рmax выбрано верно.
Определяем частоту положительности wп, исходя из
требуемого времени регулирования tуст и перерегулирования sзад.
;
.
Выбираем частоту среза желаемой ЛАЧХ
по найденному значению
,
Из графиков получаем значение
запасов устойчивости по амплитуде и фазе в зависимости от величины
перерегулирования s%. Получим DL=15,545 дБ и Dj=42,5о. Граничные
частоты среднечастотной асимптоты wж2 и wж3 определяем
графически по уровню ±2дБ по
отношению к ±DL. wж2=1,631 с-1
wж3=97,162 с-1.
За низкочастотную асимптоту желаемой
ЛАЧХ принимаем низкочастотную асимптоту нескорректированной системы с требуемым
коэффициентом усиления Крск. При этом будет достигнута требуемая
точность в установившемся режиме. Высокочастотная асимптота желаемой ЛАЧХ
совпадает с высокочастотной асимптотой ЛАЧХ нескорректированной САУ.
Сопрягаем построенные участки
желаемой ЛАЧХ следующим образом: сопрягаем низкочастотную и среднечастотную
асимптоты отрезком -40дБ/дек, а среднечастотную и высокочастотную отрезком
-20дБ/дек.1.8. Проверка требуемого запаса устойчивости. Проверяем
обеспечивается ли требуемое значение запаса устойчивости по фазе Dj=42,5о. Для этого
рассчитываем фазовый сдвиг в точках wж2 и wж3.
,
где Тку1=1/wж1=1/0,199=5,0251
с,
Тку2=1/wж2=1/1,631=0,6131
с,
Тку3=1/wку3=1/486,967=0,0020535
с,
Тку4=1/wрн2=1/666,666=0,0015
с.
Фазочастотная характеристика
желаемой системы имеет вид
находим запас устойчивости по фазе в
точке wж2=1.63 с-1
.
находим запас устойчивости по фазе в
точке wж3= 97,162 с-1
.
Т.к. запас устойчивости по фазе в
граничных точках получился не меньше заданного Dj=42,5о, то построенную желаемую ЛАЧХ
можно принять за ЛАЧХ скорректированной системы.
1.8 Определение требуемой ПФ
корректирующего устройства и его электрической схемы
Определяем ЛАЧХ корректирующего
устройства, вычитая ординаты ЛАЧХ нескорректированной системы из ординат
желаемой ЛАЧХ. Полученная ЛАЧХ корректирующего устройства Lку(w) показана на рис.3. Для
окончательного формирования ЛАЧХ КУ необходимо переместить полученную
характеристику вдоль оси ординат на:
.
По полученной ЛАЧХ КУ
восстанавливаем его ПФ
,
Где Кку=0.314;
Тку1=1/wж1=1/00,199=5,0251
с;
Тку2=1/wж2=1/1,631=0,6131
с;
Тку3=1/wку3=1/486,967=0,0020535
с;
Тку4=1/wрн1=1/61,604=0,01623
с - постоянные времени корректирующего устройства.
Т.к. корректирующее устройство
уменьшать коэффициент усиления разомкнутой системы, то для его схемной
реализации можно выбрать пассивное корректирующее устройство. Принципиальная
электрическая схема такого устройства представлена на рис.4.
Передаточная функция звена:
,
где
Фазочастотная характеристика
.

Рис.4. Принципиальная электрическая
схема и ЛАЧХ инерционно-форсирующего звена.
Очевидно, что требуемая ПФ КУ может
быть получена из табличной путем умножения на постоянный коэффициент Кку,
который обеспечивается введением в схему делителя напряжения.
Рис.5. Принципиальная электрическая
схема КУ.
При соединении делителя напряжения с
корректирующим звеном необходимо следить за тем, чтобы нижнее плечо делителя (R4)
не оказалось зашунтировано элементами звена. При практическом исполнении схемы
необходимо учитывать, что R2+R1>>R4.
Определяем величины сопротивлений
резисторов и емкостей конденсаторов, входящих в электрическую схему
корректирующего устройства. Для этого выражаем постоянные времени полученного
КУ через номиналы резисторов и конденсаторов.
1C1=T1=Tку2=0,6131
с;2C1=T2=Tку4=0,01623 с;ку2/R1(R1+R2)=Tку1=5,0251
с.
Зададимся значением сопротивления
одного из резисторов R1=100 кОм, тогда:
С1=0,4666/105=6,131*10-6
Ф=6,131 мкФ;2=162300 Ом; С2=0,1*10-6 Ф=0,1
мкФ.
Для практического исполнения
корректирующей цепи выбираем из стандартного ряда следующие номинальные
значения:2=160 кОм (ряд Е24);
С2=0,1 мкФ (ряд Е6).
Для определения номиналов резисторов
делителя напряжения и используем следующее соотношения:
;
Выберем
;
Определяем номиналы резисторов:4=2110,2
Ом;3=3889,8 Ом.
Для практического использования
принимаем в соответствии со стандартным рядом R3=3,9 кОм (ряд Е12) и
R4=2,2 кОм (ряд Е12).
.9 Построение ЛФЧХ скорректированной
системы
Строим логарифмическую фазочастотную
характеристику скорректированной системы. Для этого определяем выражение для
ЛФЧХ системы:
Учитывая, что Tсп=Tку1,
получим:
Из анализа ЛАЧХ и фазочастотной
характеристик разомкнутой скорректированной системы можно сделать вывод, что
соответствующая замкнутая система устойчива и обладает запасами устойчивости по
амплитуде и фазе Dj= 81 о,
DL = 34 дБ.
1.10 Запись ПФ скорректированной системы в
разомкнутом состоянии
В методических указаниях к работе
предлагалось упростить ПФ скорректированной системы в разомкнутом состоянии
учитывая, что Тсп<<Тку1 и Тку3<<Тку4
:
.
Однако при моделировании системы на
ЭВМ выяснилось, что Тсп и Тку3 существенно влияют на
свойства системы в области верхних частот. Но в связи с ограничениями программы
«Анализ» (невозможность расчета систем с кратными полюсами, сбои при работе в
граничных режимах), и большими трудностями получения Wзск(р),
используя полную ПФ скорректированной системы в разомкнутом состоянии, в
дальнейшем будем рассматривать упрощенную ПФ Wск(р).
1.11 Определение передаточной функции
скорректированной системы в замкнутом состоянии
.
На этом синтез последовательной САУ
считается законченным.
2. Результаты имитационного моделирования САУ на
ЭВМ
Рис.6. ЛАЧХ и ЛФЧХ разомкнутой скорректированной
системы.
Рис.7. Переходной процесс при x(t)=xном*1(t).
Рис.8. Переходной процесс при
x(t)=10t*1(t).
Рис.9. Частотный годограф замкнутой
скорректированной системы.
Рис.10. ЛАЧХ и ЛФЧХ замкнутой
скорректированной системы.
Заключение
Основываясь на анализе
характеристик, построенных вручную и на ЭВМ, можно сделать следующие выводы:
. Полученная в результате синтеза
система является устойчивой (Рис.6.) (по логарифмическому критерию);
. Графики ЛАЧХ и ЛФЧХ, построенные
вручную, совпадают с построенными на ЭВМ (Рис.6.);
. Величина перерегулирования
(Рис.7.), при подаче на вход сигнала х(t)=xном*1(t), не превышает
заданного значения;
. Скоростная ошибка (Рис.8.) eск , при
подаче на вход системы сигнала x(t)=10t*1(t), не превышает заданного значения.
Т.о. можно сделать вывод о том, что
полученная в результате синтеза система автоматического управления
удовлетворяет всем заданным параметрам.
Библиографический список
1. Иванов
Б. А., Тимошенко Н. С., Соловей К. Н. Частотная коррекция линейных систем
автоматического управления: Учебное пособие. - Ухта: УИИ, 1996. -78 с., ил.
. Бесекерский
В. А., Попов Е. П. Теория систем автоматического регулирования. - М.: Наука,
1972-768 с.