Числовые ряды
Введение
числовой
коши даламбер
Понятие бесконечных сумм фактически
было известно ученым Древней Греции (Евдокс, Евклид, Архимед). Нахождение
бесконечных сумм являлось составной частью так называемого метода исчерпывания,
широко используемого древнегреческими учеными для нахождения площадей фигур,
объемов тел, длин кривых и т.д. Так, например, Архимед для вычисления площади
параболического сегмента (т.е. фигуры, ограниченной прямой и параболой) нашел
сумму бесконечной геометрической прогрессии со знаменателем 1/4.
Ряд, как самостоятельное понятие,
математики стали использовать в XVII в. И. Ньютон и Г. Лейбниц применяли ряды
для решения алгебраических и дифференциальных уравнений. Теория рядов в
XVIII-XIX вв. развивалась в работах Я. и И. Бернулли, Б. Тейлора, К. Маклорена,
Л. Эйлера, Ж. Даламбера, Ж. Лагранжа и др. Строгая теория рядов была создана в
XIX в. на основе понятия предела в трудах К. Гаусса, Б. Больцано, О. Коши, П.
Дирихле, Н. Абеля, К. Вейерштрасса, Б. Римана и др.
Актуальность изучения данной проблемы
обусловлена тем, что раздел математики, позволяющий решить любую корректно
поставленную задачу с достаточной для практического использования точностью,
называется теорией рядов. Даже если некоторые тонкие понятия математического
анализа появились вне связи с теорией рядов, они немедленно применялись к
рядам, которые служили как бы инструментом для испытания значимости этих
понятий. Такое положение сохраняется и сейчас. Таким образом, представляется
актуальным изучить числовые ряды, их основные понятия и особенности сходимости
ряда.
1. История возникновения
.1 Первое упоминание и
использование числового ряда
Правила арифметики дают нам
возможность определить сумму двух, трех, четырех и вообще любого конечного
набора чисел. А если количество слагаемых бесконечно? Пусть это даже «самая
маленькая» бесконечность, т.е. пусть число слагаемых счетно.
Нахождение бесконечных сумм являлось
составной частью так называемого метода исчерпывания, широко используемого
древнегреческими учеными для нахождения площадей фигур, объемов тел, длин
кривых и т.д. Так, например, Архимед для вычисления площади параболического
сегмента (т.е. фигуры, ограниченной прямой и параболой) нашел сумму бесконечной
геометрической прогрессии со знаменателем 1/4.
Почти две с половиной тысячи лет
назад греческий математик и астроном Евдокс Книдский применял метод
«исчерпывания» к нахождению площадей и объемов. Идея этого метода состоит в
том, чтобы исследуемое тело разбить на счетное число частей, площади или объемы
которых известны, а затем эти объемы сложить. Этот метод применяли и Эвклид, и
Архимед. Естественно, полного и аккуратного обоснования метода в работах
античных математиков не было. До этого нужно было пройти еще долгий
двухтысячелетний путь, на котором были и блестящие откровения, и ошибки, и
курьезы.
Вот, например, как рассуждал один
средневековый богослов при доказательстве - не более и не менее - существования
Всемогущего Бога.
Запишем в равновеликих величинах S как бесконечную сумму
S = 1010101010… (1)
«Заменим в правой части этого
равенства каждый нуль на сумму 1+(-1)
S =1+(-1)+ 1+(-1)+ 1+(-1)+… (2)
Оставив в одиночестве первое
слагаемое в правой части (2), объединим с помощью скобок второе слагаемое с
третьим, четвертое с пятым и т.д. Тогда
S=1 + ((-1) +1) + ((-1) +1) +… = 1+0+0+… = 1.»
Начав с равенства S = 0, автор приходит к тому, что S = 1 и торжественно заканчивает:
«Если из нуля можно по желанию
получить единицу, то допустимо и предположение о сотворении мира из ничего!»
Согласимся ли мы с таким
рассуждением? Конечно, нет. С точки зрения современной математики ошибка автора
состоит в том, что он пытается оперировать с понятиями, которым не дано
определения (что это такое - «сумма бесконечного числа слагаемых»), и совершает
преобразования (раскрытие скобок, перегруп-пировка), законность которых не была
им обоснована.
Широко пользовались счетными
суммами, не уделяя достаточного внимания вопросу о том, что же точно означает
это понятие, крупнейшие математики XVII и XVIII веков - Исаак Ньютон
(1642-1727), Готфрид Вильгельм Лейбниц (1646-1716), Брук Тейлор (1685-1731),
Колин Маклорен (1698-1746), Жозеф Луи Лагранж (1736-1813). Виртуозным
мастерством обращения с рядами отмечался Леонард, Эйлер (1707-1783), вместе с
тем он нередко признавал недостаточное обоснование используемых им приемов. В
ста работах неоднократно встречаются предложения вроде такого «Мы обнаружили,
что эти два бесконечных выражения равны, хотя и оказалось невозможным это
доказать». Он предостерегает математиков от использования «расходящихся рядов»,
хотя сам не всегда заботился от этом, и лишь гениальная интуиция защищает его
от неверных заключений; правда, и у него случаются «проколы».
К началу XIX века необходимость
аккуратного обоснования свойств «счетных сумм» становится ясной. В 1812 году
Карл Фридрих Гаусс (1777-1865) дает первый образец исследования сходимости
ряда, в 1821 году наш хороший знакомый Огюстен Луи Коши (1789-1857)
устанавливает основные современные принципы теории рядов.
.2 Дальнейшее изучение числовых рядов. Четкая формулировка
понятия числового ряда
Суммирование бесконечных
геометрических прогрессий со знаменателем, меньшим 1, производилось уже в
древности (Архимед). Расходимость гармонического ряда была установлена
итальянским ученым Менголи в 1650 г. Степенные ряды появились у Ньютона (1665),
который полагал, что степенным рядом можно представить любую функцию. У ученых
XVIII века ряды постоянно встречались в вычислениях, но далеко не всегда
уделялось внимание вопросу о сходимости. Точная теория рядов начинается с работ
Гаусса (1812), Больцано (1817) и, наконец, Коши, где впервые дано современное
определение суммы сходящегося ряда и установлены основные теоремы. 1821 году
Коши публикует «Курс анализа в Политехнической королевской школе», имевший
наибольшее значение для распространения новых идей обоснования математического
анализа в первой половине XIX века.
«Рядом называют неограниченную
последовательность количеств
получающихся один из других по
определенному закону… Пусть
есть сумма n-первых членов, где n
- какое-либо целое число. Если при постоянном возрастании значений n сумма 
неограниченно
приближается к известному пределу S,
ряд называется сходящимся, а этот предел-суммой ряда. Наоборот, если при
неограниченном возрастании n
сумма 
не приближается ни к
какому определенному пределу, ряд будет расходящимся и не будет иметь суммы…»
[Из первой части «Курса анализа в политехнической королевской школе» О. Коши
(1821) {№54 т. III,
c. 114-116, перевод А.П. Юшкевича}]
.3 Задачи, приводящие к
понятию числового ряда и те, в которых он использовался
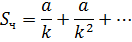
Быстроногий Ахиллес
никогда не догонит черепахи, если в начале движения черепаха находилась на
некотором расстоянии впереди него. Действительно, пусть начальное расстояние
есть а и пусть Ахиллес бежит в k
раз быстрее черепахи. Когда Ахиллес пройдет расстояние а, черепаха отползет па
а/k, когда Ахиллес пройдет это расстояние, черепаха отползет на a/
, и т.д., т.е. всякий
раз между состязающимися будет оставаться отличное от нуля расстояние.
В этой апории, помимо того
же затруднения отсчитанной бесконечности, имеется и еще одно. Предположим, что
в некоторый момент времени 
Ахиллес догонит
черепаху. Запишем путь Ахиллеса
и путь черепахи
Каждому отрезку пути а/
, пройденному Ахиллесом,
соответствует отрезок пути a/
черепахи. Поэтому к
моменту встречи Ахиллес должен пройти «столько же» отрезков пути, сколько и
черепаха. С другой стороны, каждому отрезку а/
, пройденному черепахой,
можно сопоставить равный ему по величине отрезок пути Ахиллеса. Но, кроме того,
Ахиллес должен пробежать еще один отрезок длины а, т.е. он должен пройти на
единицу больше отрезков, чем черепаха. Если количество отрезков, пройденное
последней, есть б, то получаем
+ б = б
«Стрела». «Стрела». Если
время и пространство состоят из неделимых частиц, то летящая стрела неподвижна,
так как в каждый неделимый момент времени она занимает равное себе положение,
т.е. покоится, а отрезок времени и есть сумма таких неделимых моментов.
Эта апория направлена
против представления о непрерывной величине - как о сумме бесконечного числа
неделимых частиц.
«Стадион». Пусть по
стадиону движутся по параллельным прямым равные массы с равной скоростью, но в
противоположных направлениях. Пусть ряд 
, 
, 
, 
означает неподвижные
массы, ряд 
- массы, движущиеся
вправо, а ряд 
- массы, движущиеся
влево (рис. 1). Будем теперь рассматривать массы 
. как неделимые. В
неделимый момент времени 
проходят неделимую
часть пространства. Действительно, если бы в неделимый момент времени некоторое
тело проходило более одной неделимой части пространства, то неделимый момент
времени был бы делим, если же меньше, то можно было бы разделить неделимую
часть пространства. Рассмотрим теперь движение неделимых 
друг относительно
друга: за два неделимых момента времени 
, пройдет две неделимые
части 
, и одновременно
отсчитает четыре неделимые части 
, т.е. неделимый момент
времени окажется делимым.
Этой апории можно
придать и несколько другую форму. За одно и то же время t точка 
проходит половину
отрезка 
и целый отрезок
. Но каждому неделимому
моменту времени отвечает неделимая часть пространства, проходимая за это время.
Тогда в некотором отрезке а и отрезке 2а содержится «одинаковое» число точек,
«одинаковое» в том смысле, что между точками обоих отрезков можно установить
взаимно однозначное соответствие. Этим впервые было установлено такое
соответствие между точками отрезков различной длины. Если считать, что мера
отрезка получается как сумма мер неделимых, то вывод является парадоксальным.
2.
Применение числового ряда
.1
Определение
Пусть задана бесконечная числовая
последовательность
,
,
…,
,
…
Определение 1.1.
Числовым рядом или просто рядом называется выражение (сумма) вида
. (1.1)
Числа
называются
членами ряда,
-
общим или n-м
членом ряда.
Чтобы задать ряд (1.1)
достаточно задать функцию натурального аргумента
вычисления
-го
члена ряда по его номеру
Из членов ряда (1.1)
образуем числовую последовательность частичных сумм
где
-
сумма
первых
членов ряда, которая называется n-й
частичной суммой, т.е.
,
,
,
…………………………….
, (1.5)
…………………………….
Числовая
последовательность
при
неограниченном возрастании номера
может:
) иметь конечный предел;
) не иметь конечного
предела (предел не существует или равен бесконечности).
Определение 1.2.
Ряд (1.1) называется сходящимся, если последовательность его частичных
сумм (1.5) имеет конечный предел, т.е.
В этом случае число
называется
суммой ряда (1.1) и обозначается
.
Определение 1.3.
Ряд (1.1) называется расходящимся, если последовательность его частичных
сумм не имеет конечного предела.
Расходящемуся ряду не
приписывают никакой суммы.
Таким образом, задача
нахождения суммы сходящегося ряда (1.1) равносильна вычислению предела
последовательности его частичных сумм.
.2 Основные свойства
числовых рядов
Свойства суммы конечного
числа слагаемых отличаются от свойств ряда, т.е. суммы бесконечного числа
слагаемых. Так, в случае конечного числа слагаемых их можно группировать в
каком угодно порядке, от этого сумма не изменится. Существуют сходящиеся ряды
(условно сходящиеся), для которых, как показал Риман Георг Фридрих Бернхард,
меняя надлежащим образом порядок следования их членов, можно сделать сумму ряда
равной какому угодно числу, и даже расходящийся ряд.
Пример 2.1. Рассмотрим расходящийся ряд вида
Сгруппировав его члены
попарно, получим сходящийся числовой ряд с суммой, равной нулю:
С другой стороны,
сгруппировав его члены попарно, начиная со второго члена, получим также
сходящийся ряд, но уже с суммой, равной единице:
Сходящиеся ряды обладают
некоторыми свойствами, которые позволяют действовать с ними, как с конечными
суммами. Так их можно умножать на числа, почленно складывать и вычитать. У них
можно объединять в группы любые рядом стоящие слагаемые.
Теорема 2.1.
(Необходимый признак сходимости ряда).
Если ряд (1.1) сходится,
то его общий член 
стремится к нулю при
неограниченном возрастании n,
т.е.
(2.1)
Доказательство теоремы
следует из того, что
,
и если
S
- сумма ряда (1.1), то
Условие (2.1) является
необходимым, но недостаточным условием для сходимости ряда. Т. е., если общий
член ряда стремится к нулю при
, то это не значит, что
ряд сходится. Например, для гармонического ряда (1.2) 
однако он расходится.
Следствие (Достаточный
признак расходимости ряда).
Если общий член ряда
не
стремится к нулю при
,
то этот ряд расходится.
Свойство 2.1. Сходимость
или расходимость ряда не изменится, если произвольным образом удалить из него,
добавить к нему, переставить в нем конечное число членов (при этом для
сходящегося ряда его сумма может измениться).
Доказательство свойства
следует из того, что ряд (1.1) и любой его остаток
сходятся
или расходятся одновременно.
Свойство 2.2. Сходящийся
ряд можно умножать на число, т.е., если ряд (1.1) сходится, имеет сумму S и c - некоторое число,
тогда
Доказательство следует
из того, что для конечных сумм справедливы равенства
Свойство 2.3.
Сходящиеся ряды можно почленно складывать и вычитать, т.е. если ряды
,
сходятся,
то и ряд
сходится и его сумма
равна
т.е.
.
Доказательство следует
из свойств предела конечных сумм, т.е.
Признак сравнения
Пусть даны два
положительных ряда
, (3.1)
, (3.2)
и выполняются условия
для
всех n=1,2,…
Тогда: 1) из сходимости ряда (3.2)
следует сходимость ряда (3.1);
) из расходимости ряда (3.1) следует
расходимость ряда (3.2).
Доказательство. 1. Пусть ряд (3.2) сходится и его сумма равна В. Последовательность
частичных сумм ряда (3.1) является неубывающей ограниченной сверху числом В,
т.е.
Тогда в силу свойств
таких последовательностей следует, что она имеет конечный предел, т.е. ряд
(3.1) сходится.
. Пусть ряд (3.1)
расходится. Тогда, если ряд (3.2) сходится, то в силу доказанного выше пункта 1
сходился бы и исходный ряд, что противоречит нашему условию. Следовательно ряд
(3.2) также расходится.
Этот признак удобно
применять к определению сходимости рядов, сравнивая их с рядами, сходимость
которых уже известна.
Признак Даламбера
Пусть члены
положительного ряда (1.1) таковы, что существует предел
Тогда: 1) при q < 1 ряд (1.1) сходится;
) при q > 1 ряд (1.1) расходится;
) при q = 1 о сходимости ряда (1.1) ничего сказать нельзя, необходимы
дополнительные исследования.
Замечание:
Ряд (1.1) будет расходиться и в том случае, когда
Признак Коши
Пусть члены
положительного ряда (1.1) таковы, что существует предел
Тогда: 1) при q < 1 ряд (1.1) сходится;
) при q > 1 ряд (1.1) расходится;
3) при q = 1 о сходимости ряда (1.1) ничего
сказать нельзя, необходимы дополнительные исследования.
Интегральный признак
Коши - Маклорена
Пусть функция f(x) непрерывная неотрицательная невозрастающая функция на промежутке
Тогда ряд
и
несобственный интеграл
сходятся
или расходятся одновременно.
.3 Задачи
Числовые ряды
применяются не только в математике, но и в ряде других наук. Хотелось бы
привести несколько примеров такого использования.
Например, для
исследования свойств структур обломочных пород. На практике использование
понятия «структура» в основном свелось к характеристике размерных параметров
зёрен. В связи с этим понятие «структура» в петрографии не соответствует
понятию «структура» в кристаллографии, структурной геологии и других науках о
строении вещества. В последних «структура» больше соответствует понятию
«текстура» в петрографии и отражает способ заполнения пространства. Если
принять, что «структура» является пространственным понятиям, то следующие
структуры нужно считать бессодержательными: вторичные или первичные структуры и
текстуры; кристаллические, химические, замещения (разъедания,
перекристаллизации и т.д.), деформационные структуры, ориентированные,
остаточные структуры и пр. Поэтому эти «структуры» названы «ложными
структурами».
Структура - это
множество структурных элементов, характеризуемое размерами зерен и их
количественными соотношениями.
При проведении
конкретных классификаций обычно используются линейные 
параметры зерна с
последовательностью
хотя количественные
оценки распространённости осуществляются через площадные (процентные)
параметры. Эта последовательность может иметь значительную длину и никогда не
строится. Обычно же говорят только о пределах изменения параметров 
, называя максимальные
(max
) и минимальные (min
) значения размеров
зерен.
Одно из направлений
представления P4 - использование числовых рядов, которые строятся также как и
указанная выше последовательность, но вместо (≤) ставиться знак суммы
(+). Свертка всех последовательностей осуществляется объединением равных
элементов и сложением их площадей. Тогда имеем последовательность:
Выражение 
означает, что измерена
площадь 
, занимаемая всеми
сечениями тех зерен i, размер которых равен 
.
Эта особенность зёрен
позволяет проводить числовой анализ полученных соотношений. Во-первых, параметр

можно рассматривать как
значения координатной оси и таким образом строить некоторый график S=f(l). Во-вторых, последовательность (RSl)
1 можно ранжировать, например, по убыванию коэффициентов 
, в результате
получается ряд
Именно этот ряд и
называется структурой данного сечения породы, он же является и определением
понятия «структура». Параметр 
есть элемент структуры,
а параметр k=
- длина структуры. По
построению n=k. Такое представление структуры позволяет проводить сравнение
различных структур между собой.
Также, Бутусов Кирилл
Павлович Открыл явление «резонанса волн биений», на основе чего сформулировал
«закон планетных периодов», из-за которого периоды обращений планет образуют
числовые ряды Фибоначчи и Люка и доказал, что «закон планетных расстояний»
Иоганна Тициуса есть следствие «резонанса волн биений» (1977). Одновременно
обнаружил проявление «золотого сечения» и в распределении ряда других
параметров тел Солнечной системы (1977). В связи с этим ведет работу по
созданию «золотой математики» - новой системы счисления, основанной на числе Фидия
(1,6180339), более адекватной задачам астрономии, биологии, архитектуры,
эстетики, теории музыки и т.д.
Из истории астрономии
известно, что И. Тициус, немецкий астроном XVIII в., с помощью этого ряда
Фибоначчи нашел закономерность и порядок в расстояниях между планетами
солнечной системы.
Однако один случай,
который, казалось бы, противоречил закону: между Марсом и Юпитером не было
планеты. Сосредоточенное наблюдение за этим участком неба привело к открытию
пояса астероидов. Произошло это после смерти Тициуса в начале XIX в. Ряд
Фибоначчи используют широко: с его помощью представляют архитектонику и живых
существ, и рукотворных сооружений, и строение Галактик. Эти факты -
свидетельства независимости числового ряда от условий его проявления, что
является одним из признаков его универсальности.
Основу функционирования
поточных криптосистем составляют генераторы случайных или псевдослучайных
последовательностей. Рассмотрим этот вопрос более подробно.
Псевдослучайные
последовательности
Секретные ключи
представляют собой основу криптографических преобразований, для которых, следуя
правилу Керкхофа, стойкость хорошей шифровальной системы определяется лишь
секретностью ключа. Однако в практике создание, распределение и хранение ключей
редко были сложными технически, хотя и дорогими задачами. Основная проблема
классической криптографии долгое время заключалась в трудности генерирования
непредсказуемых двоичных последовательностей большой длины с применением
короткого случайного ключа. Для ее решения широко используются генераторы
двоичных псевдослучайных последовательностей. Существенный прогресс в
разработке и анализе этих генераторов был достигнут лишь к началу шестидесятых
годов. Поэтому в данной главе рассмотрены правила получения ключей и генерации
на их основе длинных псевдослучайных последовательностей, используемых
криптографическими системами для преобразования сообщения в шифровку.
Получаемые программно из
ключа, случайные или псевдослучайные ряды чисел называются на жаргоне
отечественных криптографов гаммой, по названию у - буквы греческого алфавита,
которой в математических записях обозначаются случайные величины. Интересно
отметить, что в книге «Незнакомцы на мосту», написанной адвокатом разведчика
Абеля, приводится термин гамма, который специалисты ЦРУ пометили комментарием -
«музыкальное упражнение?», то есть в пятидесятые годы они не знали его смысла.
Получение и размножение реализаций настоящих случайных рядов опасно, сложно и
накладно. Физическое моделирование случайности с помощью таких физических
явлений, как радиоактивное излучение, дробовой шум в электронной лампе или
туннельный пробой полупроводникового стабилитрона не дают настоящих случайных
процессов. Хотя известны случаи удачных применений их в генерации ключей,
например, в российском криптографическом устройстве КРИПТОН. Поэтому вместо
физических процессов для генерации гаммы применяют программы для ЭВМ, которые
хотя и называются генераторами случайных чисел, но на самом деле выдающие
детерминированные числовые ряды, которые только кажутся случайными по своим
свойствам. От них требуется, чтобы, даже зная закон формирования, но не зная
ключа в виде начальных условий, никто не смог бы отличить числовой ряд от
случайного, как будто он получен бросанием идеальных игральных костей. Можно
сформулировать три основных требования к криптографически стойкому генератору
псевдослучайной последовательности или гаммы:
Период гаммы должен быть
достаточно большим для шифрования сообщений различной длины.
Гамма должна быть трудно
предсказуемой. Это значит, что если известны тип генератора и кусок гаммы, то
невозможно предсказать следующий за этим куском бит гаммы с вероятностью выше
х. Если криптоаналитику станет известна какая-то часть гаммы, он все же не
сможет определить биты, предшествующие ей или следующие за ней.
Генерирование гаммы не должно
быть связано с большими техническими и организационными трудностями.
Последовательности
Фибоначчи
Интересный класс
генераторов случайных чисел неоднократно предлагался многими специалистами
целочисленной арифметике, в частности Джорджем Марсалиа и Арифом Зейманом.
Генераторы этого типа основаны на использовании последовательностей Фибоначчи.
Классический пример такой последовательности {0, 1, 1, 2, 3, 5, 8, 13, 21,
34…}. За исключением первых двух ее членов, каждый последующий член равен сумме
двух предшествующих. Если брать только последнюю цифру каждого числа в
последовательности, то получится последовательность чисел {0, 1, 1, 2, 5, 8, 3,
1, 4, 5, 9, 4…} Если эта последовательность применяется для начального
заполнения массива большой длины, то, используя этот массив, можно создать
генератор случайных чисел Фибоначчи с запаздыванием, где складываются не
соседние, а удаленные числа. Марсалиа и Зейман предложили ввести в схему
Фибоначчи «бит переноса», который может иметь начальное значение 0 или 1. Построенный
на этой основе генератор «сложения с переносом» приобретает интересные
свойства, на их основании можно создавать последовательности, период которых
значительно больше, чем у применяемых в настоящее время конгруэнтных
генераторов. По образному выражению Марсалиа, генераторы этого класса можно
рассматривать как усилители случайности. «Вы берете случайное заполнение длиной
в несколько тысяч бит и генерируете длинные последовательности случайных
чисел». Однако большой период сам по себе еще не является достаточным условием.
Слабые места гамм бывает трудно обнаружить и аналитику требуется применять
утонченные методы анализа последовательностей, чтобы выделить определенные
закономерности, которые скрыты в большом массиве цифр.
Выводы
Ряды широко используются
в математике и ее приложениях, в теоретических исследованиях, так и при
приближенных численных решениях задач. Многие числа могут быть записаны в виде
специальных рядов, с помощью которых удобно вычислять их приближенные значения
с нужной точностью. Метод разложения в ряды является эффективным методом
изучения функций. Он применяется для вычисления приближенных значений функций,
для вычисления и оценок интегралов, для решения всевозможных уравнений
(алгебраических, дифференциальных, интегральных).
Список литературы
1. Шилов Г.Е.
Математический анализ. Функции одного переменного. Ч. 1-2 - М.:Наука, 1969
. Майков Е.В.
Математический анализ. Числовые ряды/Е.В. Майков. - 1999
. «Курс анализа в
политехнической королевской школе»
О. Коши (1821) {№54 т.
III, c. 114-116, перевод А.П. Юшкевича}
. История
математики с древнейших времен до начала XIX столетия (под ред. Юшкевича А.П.,
том I)
. Хрестоматия по
истории математики (часть II) (под ред. Юшкевича А.П.)
. Высшая
математика: Общий курс: Учеб. - 2-е изд., / А.И. Яблонский, А.В. Кузнецов, Е.И.
Шилкина и др.; Под общ. ред. С.А. Самаля. - Мн.: Выш. шк., 2000. - 351 с.
. Марков Л.Н.,
Размыслович Г.П. Высшая математика. Часть 2. Основы математического анализа и
элементы дифференциальных уравнений. - Мн.: Амалфея, 2003. - 352 с.
8. Макаров
В.П. Вопросы теоретической геологии. 7. Элементы теории структур. /Современные
проблемы и пути их решения в науке, транспорте, производстве и образовании
‘2007. Одесса, Черноморье, 2007. Т.19. С. 27 - 40.
9. Половинкина
Ю. Ир. Структуры горных пород. Часть 1: Магматические породы; Часть 2:
Осадочные породы; Часть 3: Метаморфические породы. - М.: Госгеолиздат, 1948.
10. http://shaping.ru/mku/butusov.asp
. http://www.abc-people.com/idea/zolotsech/gr-txt.htm
. Учебно-методический
комплекс дисциплины «Математика». Раздел 10 «Ряды». Теоретические основы.
Методические указания для студентов. Материалы для самостоятельной работы
студентов. - Уфа: Издательство УГНТУ, 2007. - 113 с.
13. http://cryptolog.ru/?
Psevdosluchainye_posledovatelmznosti
14. Галуев
Г.А. Математические основы криптологии: Учебно-методическое пособие. Таганрог:
Изд-во ТРТУ 2003.-120 с.