Знакопеременные ряды
КОСТАНАЙСКИЙ
ГОСУДАРСТВЕННЫЙ ПЕДАГОГИЧЕСКИЙ ИНСТИТУТ
Курсовая
работа
Знакопеременные
ряды
Выполнила: студентка 2 курса,
специальности «математика»
Ткачева Наталья
КОСТАНАЙ,
2013г.
Содержание
Введение
1. Числовой ряд
1.1 Основные понятия числового
ряда
1.2 Примеры числовых рядов
.3 Необходимый и достаточные
признаки сходимости
2. Знакопеременные ряды
2.1 Понятие знакопеременного ряда
2.2 Признак Лейбница. Абсолютная
и условная сходимость ряда
.3 Упражнения
. Действия над рядами
3.1 Расстановка скобок
.2 Перестановка слагаемых ряда
3.3 Формула Эйлера
.4 Перестановка, меняющая сумму
ряда
.5 Перемножение рядов
4. Историческая справка
Список использованных источников
Введение
Решение задачи, представленной в математических
терминах, например, в виде комбинации различных функций, их производных и
интегралов, нужно уметь “довести до числа”, которое чаще всего и служит
окончательным ответом. Для этого в различных разделах математики выработаны
различные методы.
Раздел математики, позволяющий решить любую
корректно поставленную задачу с достаточной для практического использования
точностью, называется теорией рядов.
Даже если некоторые тонкие понятия
математического анализа появились вне связи с теорией рядов, они немедленно
применялись к рядам, которые служили как бы инструментом для испытания
значимости этих понятий. Такое положение сохраняется и сейчас.
Выражение вида
,
где
;
;
;…;
;…
- члены ряда;
- n-ый или общий
член ряда, называется бесконечным рядом (рядом).
Если члены ряда:
· числа, то ряд называется числовым;
· числа одного знака, то ряд
называется знакопостоянным;
· числа разных знаков, то ряд
называется знакопеременным;
· положительные числа, то ряд
называется знакоположительным;
· числа, знаки которых строго
чередуются, то ряд называется знакочередующимся;
· функции, то ряд называется
функциональным;
· степени
,
то ряд называется степенным;
· тригонометрические функции, то ряд
называется тригонометрическим.
I. Числовой ряд
.1 Основные понятия числового ряда
Числовым рядом называется сумма вида
, (1.1)
где
,
,
,…,
,…,
называемые членами ряда, образуют бесконечную последовательность; член
называется
общим членом ряда.
Суммы
…………..
,
составленные из первых членов ряда (1.1),
называются частичными суммами этого ряда.
Каждому ряду можно сопоставить
последовательность частичных сумм
.
Если при бесконечном возрастании номера n
частичная сумма ряда
стремится к
пределу
,
то ряд называется сходящимся, а число
-
суммой сходящегося ряда, т.е.
и
.
Эта запись равносильна записи
.
Если частичная сумма
ряда
(1.1) при неограниченном возрастании n не имеет конечного предела (стремится к
или
),
то такой ряд называется расходящимся.
Если ряд сходящийся, то значение
при
достаточно большом n является приближенным выражением суммы ряда S.
Разность
называется
остатком ряда. Если ряд сходится, то его остаток стремится к нулю, т.е.
,
и наоборот, если остаток стремится к нулю, то ряд сходится.
.2 Примеры числовых рядов
Пример 1. Ряд вида
(1.2)
называется геометрическим
.
Геометрический ряд образован из членов
геометрической прогрессии.
Известно, что сумма её первых n членов
.
Очевидно: это n-ая частичная сумма ряда (1.2).
Возможны случаи:
:
.
Ряд (1.2) принимает вид:
,
ряд расходится;
Ряд (1.2) принимает вид:
,
не имеет предела,
ряд расходится.
,
- конечное число,
ряд сходится.
,
- ряд расходится.
Итак, данный ряд сходится при
и
расходится при
.
Пример 2. Ряд вида
(1.3)
называется гармоническим.
Запишем частичную сумму этого ряда:
.
Сумма
больше
суммы, представленной следующим образом:
или
.
Если
,
то
,
или
.
Следовательно, если
,
то
,
т.е. гармонический ряд расходится.
Пример 3. Ряд вида
(1.4)
называется обобщенным гармоническим.
Если
,
то данный ряд обращается в гармонический ряд, который является расходящимся.
Если
,
то члены данного ряда больше соответствующих членов гармонического ряда и,
значит, он расходится. При
имеем
геометрический ряд, в котором
; он является
сходящимся.
Итак, обобщенный гармонический ряд сходится при
и
расходится при
.
.3 Необходимый и достаточные признаки сходимости
Необходимый признак сходимости ряда.
Ряд
может
сходиться только при условии, что его общий член
при
неограниченном увеличении номера
стремится
к нулю:
.
Если
,
то ряд
расходится
- это достаточный признак расходимости ряда.
Достаточные признаки сходимости ряда с
положительными членами.
Признак сравнения рядов с положительными
членами.
Исследуемый ряд сходится, если его члены не
превосходят соответствующих членов другого, заведомо сходящегося ряда;
исследуемый ряд расходится, если его члены превосходят соответствующие члены
другого, заведомо расходящегося ряда.
Признак Даламбера.
Если для ряда с положительными членами

выполняется условие
,
то ряд сходится при
и расходится при
.
Признак Даламбера не дает ответа, если
.
В этом случае для исследования ряда применяются другие приемы.
Упражнения.
Записать ряд по его заданному общему члену:
;
;
.
Решение.
Полагая
,
,
,…,
имеем бесконечную последовательность чисел:
,
,
.
Сложив его члены, получим ряд
.
Поступая так же, получим ряд
.
Придавая
значения
1,2,3,… и учитывая, что
,
,
,…,
получим ряд
.
Найти n-ый член ряда по его данным первым
членам:
;
.
Решение.
Знаменатели членов ряда, начиная с первого,
являются четными числами; следовательно, n-ый член ряда имеет вид
.
Числители членов ряда образуют натуральный ряд
чисел, а соответствующие им знаменатели - натуральный ряд чисел, а
соответствующие им знаменатели - натуральный ряд чисел, начиная с 3. Знаки
чередуются по закону
или по закону
.
Значит, n-й член ряда имеет вид
.
или
.
Исследовать сходимость ряда, применяя
необходимый признак сходимости и признак сравнения:
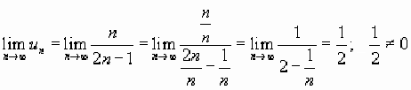
;
;
.
Решение.
Находим
.
Необходимый признак сходимости ряда выполняется,
но для решения вопроса о сходимости нужно применить один из достаточных признаков
сходимости. Сравним данный ряд с геометрическим рядом
,
который сходится, так как
.
Сравнивая члены данного ряда, начиная со
второго, с соответствующими членами геометрического ряда, получим неравенства
т.е. члены данного ряда, начиная со второго,
соответственно меньше членов геометрического ряда, откуда следует, что данный
ряд сходится.
Имеем
.
Здесь выполняется достаточный признак
расходимости ряда; следовательно, ряд расходится.
Находим
.
Необходимый признак сходимости ряда выполняется.
Сравним данный ряд с обобщенным гармоническим рядом
,
который сходится, поскольку
,
следовательно, сходится и данный ряд.
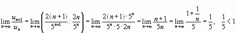
Исследовать сходимость ряда, используя признак
Даламбера:
.
Решение.
Подставив в общий член ряда
вместо
n число n+1, получим
. Найдем предел
отношения
-го члена к n-му
члену при
:
.
Следовательно, данный ряд сходится.
Имеем
Значит, данный ряд расходится.
,
т.е. ряд расходится.
2. Знакопеременный ряд
.1 Понятие знакопеременного ряда
Числовой ряд
называется знакопеременным, если среди его
членов имеются как положительные, так и отрицательные числа.
Числовой ряд называется знакочередующимся, если
любые два стоящие рядом члена имеют противоположные знаки.
,
где
для
всех
(т.е.
ряд, положительные и отрицательные члены которого следуют друг за другом
поочередно). Например,
;
;
.
Для знакочередующихся рядов имеет место
достаточный признак сходимости (установленный в 1714г. Лейбницем в письме к
И.Бернулли).
2.2 Признак Лейбница. Абсолютная и условная
сходимость ряда
Теорема (Признак Лейбница).
Знакочередующийся ряд сходится, если:
Последовательность абсолютных величин членов
ряда монотонно убывает, т.е.
;
Общий член ряда стремится к нулю:
.
При этом сумма S ряда удовлетворяет неравенствам
.
Замечания.
Исследование знакочередующегося ряда вида
(с отрицательным первым членом) сводится путем
умножения всех его членов на
к исследованию ряда
.
Ряды, для которых выполняются условия теоремы
Лейбница, называются лейбницевскими (или рядами Лейбница).
Соотношение
позволяет
получить простую и удобную оценку ошибки, которую мы допускаем, заменяя сумму S
данного ряда его частичной суммой
.
Отброшенный ряд (остаток) представляет собой
также знакочередующийся ряд 
, сумма которого по
модулю меньше первого члена этого ряда, т.е.
.
Поэтому ошибка меньше модуля первого из отброшенных членов.
Пример. Вычислить приблизительно сумму ряда
.
Решение: данный ряд Лейбницевского типа. Он
сходится. Можно записать:
.
Взяв пять членов, т.е. заменив
на
, сделаем ошибку,
меньшую,
чем
.
Итак,
.
Для знакопеременных рядов имеет место следующий
общий достаточный признак сходимости.
Теорема. Пусть дан знакопеременный ряд
.
Если сходится ряд
,
составленный из модулей членов данного ряда, то
сходится и сам знакопеременный ряд.
Признак сходимости Лейбница для
знакочередующихся рядов служит достаточным признаком сходимости
знакочередующихся рядов.
Знакопеременный ряд называется абсолютно
сходящимся, если сходится ряд, составленный из абсолютных величин его членов,
т.е. всякий абсолютно сходящийся ряд является сходящимся.
Если знакопеременный ряд сходится, а
составленный из абсолютных величин его членов ряд расходится, то данный ряд
называется условно (неабсолютно) сходящимся.
.3 Упражнения
Исследовать на сходимость (абсолютную или
условную) знакочередующийся ряд:
;
Решение.
Члены данного ряда по абсолютной величине
монотонно убывают:
и

Ряд
,
составленный из абсолютных величин данного ряда, является гармоническим рядом,
который, расходится. Поэтому данный ряд сходится условно.
Решение.
Члены данного ряда по абсолютной величине
монотонно убывают:
, но
.
Ряд расходится, так как признак Лейбница не
выполняется.
;
Решение.
Используя признак Лейбница, получим
;
,
т.е. ряд сходится.
Рассмотрим ряд, составленный из абсолютных
величин членов данного ряда:
.
Это геометрический ряд вида
,
где
,
который сходится. Поэтому данный ряд сходится абсолютно.
;
Решение.
Используя признак Лейбница, имеем
;
,
т.е. ряд сходится.
Рассмотрим ряд, составленный из абсолютных
величин членов данного ряда:
, или
.
Это обобщенный гармонический ряд, который
расходится, так как
. Следовательно,
данный ряд сходится условно.
знакопеременный ряд сходимость
слагаемое
.
Действия над рядами
Имея дело с суммой конечного числа слагаемых,
можно менять слагаемые местами и расставлять скобки - от этого результат не
изменится.
Числовой ряд - это сумма бесконечного числа
слагаемых, и действия нужно производить с оглядкой на этот факт.
Как мы убедимся далее, абсолютно сходящиеся ряды
полностью копируют поведение суммы конечного числа слагаемых, а условно
сходящиеся - нет.
.1 Расставление скобок
Под "расставлением скобок" в ряде
понимают буквально следующее: пусть имеется последовательность
Из построения видно, что частичная сумма ряда
является
некоторой частичной суммой ряда
. Если исходный ряд
сходится, то и ряд с расставленными скобками сходится к той же сумме. Обратное
неверно: рассмотрим ряд с расставленными скобками
Но ряд без скобок является расходящимся.
Легко установить факт: сходящийся ряд с
расставленными скобками, в каждой скобке которого стоят слагаемые одного знака,
сходится и без расставленных скобок.
3.2 Перестановка слагаемых ряда
Уточним, что понимается под перестановкой
слагаемых ряда. Пусть
- биекция.
Дан ряд
.
Рассмотрим ряд
. Полученный ряд
называется перестановкой ряда
по правилу
.
Утверждение:
Пусть ряд из
сходится
к
.
Тогда
В силу положительности ряда
частичные
суммы
ограничены.
,
следовательно, частичные суммы
ограничены,
и так как все
.
Меняя местами исходный ряд на переставленный и
наоборот, получаем неравенство
, следовательно,
.
Теорема:
Пусть ряд абсолютно сходится. Тогда любая его
перестановка сходится к той же сумме.
Доказательство:
По линейности суммы ряда разложим исходный ряд
на сумму двух вспомогательных:
.
Для условно сходящихся рядов ситуация меняется.
Имеет место теорема Римана (приводится без доказательства):
Теорема (Риман):
Пусть ряд из
условно
сходится. Тогда для любого
из
существует
такая перестановка
, что
.
.3 Формула Эйлера
Приведём пример условно сходящегося ряда и его
перестановку, которая уменьшает сумму ряда в два раза.
Установим следующую формулу:
Теорема (Эйлер):
Выполняется равенство:
,
где
называется
постоянной Эйлера
Доказательство:
Рассмотрим интеграл
Воспользуемся тем, что
:
По монотонности
:

Итак, ряд
является
положительным и мажорируется сходящимся рядом
.
Значит, этот ряд сходится.
В выражении
при
предельном переходе и получаем искомую формулу, обозначая
.4 Перестановка, меняющая сумму ряда
Утверждение:
Представленный ряд сходится, так как является
рядом Лейбница. Пусть он сходится к
,
тогда
,
но:
Переставим ряд следующим
образом: за каждым слагаемым с нечётным номером пишем два последовательных
слагаемых с чётными номерами
Утверждение:
Сумма этого ряда равна
Так как общее слагаемое ряда стремится к нулю,
то достаточно показать, что сходится ряд с расставленными скобками:
Рассмотрим частичную сумму ряда с расставленными
скобками:
3.5
Перемножение рядов
Две суммы из конечного числа
слагаемых перемножаются почленно. Для бесконечного числа слагаемых необходимо
формализовать процесс перемножения.
Организуем бесконечную матрицу
из чисел
.
Пусть
-
правило обхода матрицы, по которому матрицу можно развернуть в строку, то есть
ряд, сумму которого можно посчитать (при сходимости такого ряда).
Если сумма такого ряда равна
произведению сумм исходных рядов, то говорят, что два ряда можно перемножить по
способу
.
Важнейший способ перемножения -
способ Коши произведения по диагонали:
Теорема:
Пусть положительные ряды
абсолютно
сходятся и имеют суммы
и
.
Тогда их можно перемножить любым способом
.
Доказательство:
Используя положительность рядов, ведём
рассуждения для достаточно большого количества слагаемых частичных сумм.
Так как в любую наперёд заданную клетку мы
попадём, то ясно, что через некоторое количество шагов все клетки некоторого
левого верхнего квадрата уже будут пройдены.
Сумма элементов квадрата
не
превосходит частичной суммы, которая, в свою очередь не превосходит суммы
элементов окаймляющего квадрата. Но, если устремить
к
бесконечности, то частичная сумма ряда по принципу сжатой переменной стремится
к
,
что и требовалось доказать.
Теорема:
Пусть ряды из
абсолютно
сходятся и имеют суммы
и
.
Тогда их можно перемножить любым способом
.
Доказательство:
Определим
как
сумму вспомогательного ряда
,
как
сумму
.
Аналогично определяем
и
.
По определению,
.
Раскладывая ряд по линейности на сумму положительных произведений
вспомогательных рядов и приходим к искомому утверждению.
При перемножении рядов по
правилу Коши, можно ослабить требования на сходимость рядов. Установим
следующую теорему:
Теорема (Мертенс):
Пусть ряд из
-
абсолютно сходящийся, а ряд из
- условно
сходящийся. Тогда эти два ряда можно перемножить по способу Коши.
Доказательство:
Для удобства нумеруем слагаемые рядов
и
,
начиная с нуля.
Пусть
.
Тогда сумма
- частичная сумма
произведения рядов по правилу Коши.
Если доказать, что
,
то из последнего равенства получается искомое.
Перебросив индексы в сумме, получаем:
Обозначим два слагаемых в последней сумме как
и
.
Последовательность
- бесконечно
малая, значит она ограничена, пусть числом
.
Тогда
.
Так как ряд
абсолютно
сходится, то сумма стремится к нулю при
.
Значит, начиная с какого-то номера она не превзойдёт
. Итого,
.
.
, следовательно,
сумма стремится к нулю.
4. Историческая справка
Решение многих задач сводится к
вычислению значений функций и интегралов или к решению дифференциальных
уравнений, содержащих производные или дифференциалы неизвестных функций.
Однако точное выполнение
указанных математических операций во многих случаях оказывается весьма
затруднительным или невозможным. В этих случаях можно получить приближенное
решение многих задач с любой желаемой точностью при помощи рядов.
Ряды представляют собой простой
и совершенный инструмент математического анализа для приближенного вычисления
функций, интегралов и решений дифференциальных уравнений.
Теория рядов создавалась в
тесной связи с теорией приближенного представления функций в виде многочленов.
Впервые это сделал И. Ньютон (1642 - 1727). в 1676г. В его письме к секретарю
Лондонского Королевского Общества появилась формула:
,
которую мы знаем как формулу
бинома Ньютона.
Здесь мы видим функцию
,
представленную в виде многочлена. Но если число
не является натуральным, в правой части равенства получается не полином, а
бесконечная сумма слагаемых, то есть ряд.
Развивая идею Ньютона,
английский математик Брук Тейлор (1685 - 1731) в 1715г. доказал, что любой
функции, имеющей в точке
производные всех
порядков, можно сопоставить ряд:
.
Мы не можем пока поставить знак
равенства между функцией
, принимающей
конечное значение для любого значения
,
и стоящим справа функциональным рядом.
Для того, чтобы вместо знака “
”
можно было поставить знак равенства, необходимо провести некоторые
дополнительные рассуждения, связанные именно с бесконечностью числа слагаемых в
правой части равенства и касающиеся области сходимости ряда.
При
формула
Тейлора принимает вид, в котором называется формулой Маклорена:
.
Итак, ряды возникли в XVIII в.
как способ представления функций, допускающих бесконечное дифференцирование.
Однако функция, представляемая рядом, не называлась его суммой, и вообще в то
время не было еще определено, что такое сумма числового или функционального
ряда, были только попытки ввести это понятие.
Например, Л. Эйлер (1707-1783),
выписав для функции соответствующий ей степенной ряд, придавал переменной
конкретное
значение
.
Получался числовой ряд. Суммой этого ряда Эйлер cчитал значение исходной
функции в точке
. Но это не всегда
верно.
О том, что расходящийся ряд не
имеет суммы, ученые стали догадываться только в XIX в., хотя в XVIII в. многие,
и прежде всего Л. Эйлер, много работали над понятиями сходимости и
расходимости. Эйлер называл ряд
сходящимся, если
его общий член
стремится к нулю
при возрастании
.
В теории расходящихся рядов
Эйлер получил немало существенных результатов, однако результаты эти долго не
находили применения. Еще в 1826г. Н.Г. Абель (1802 - 1829) называл расходящиеся
ряды “дьявольским измышлением”. Результаты Эйлера нашли обоснование лишь в
конце XIX в.
В формировании понятия суммы
сходящегося ряда большую роль сыграл французский ученый О.Л. Коши (1789 -
1857); он сделал чрезвычайно много не только в теории рядов, но и теории
пределов, в разработке самого понятия предела. В 1826г. Коши заявил, что
расходящийся ряд не имеет суммы.
В 1768г. французский математик
и философ Ж.Л. Д’Аламбер исследовал отношение последующего члена к предыдущему
в биномиальном ряде и показал, что если это отношение по модулю меньше единицы,
то ряд сходится. Коши в 1821г. доказал теорему, излагающую в общем виде признак
сходимости знакоположительных рядов, называемых теперь признаком Д’Аламбера.
Для исследования сходимости
знакочередующихся рядов используется признак Лейбница.
Г.В. Лейбниц (1646 - 1716),
великий немецкий математик и философ, наряду с И. Ньютоном является
основоположником дифференциального и интегрального исчисления.
Список
использованных источников
Основная:
. «Курс
математического анализа», автор - Никольский С.М., г. Москва, изд. «Наука»,
1990г.
2. «Высшая
математика», автор - Щипачев А.В., г. Москва, изд. «Высшая школа», 1996г.
. Богомолов
Н.В., Практические занятия по математике. М., “Высшая школа”, 1990 - 495 с.;
. Тарасов
Н.П., Курс высшей математики для техникумов. М., “Наука”, 1971 - 448 с.;
. Зайцев
И.Л., Курс высшей математики для техникумов. М., государственное издательство
техникумов - теоретической литературы, 1957 - 339 с.;
. Письменный
Д.Т., Курс лекций по высшей математике. М., “Айрис Пресс”, 2005, часть 2 - 256
с.;
. Выгодский
М.Я., Справочник по высшей математике. М., “Наука”, 1975 - 872 с.;
Дополнительная:
1. Гусак
А.А., Высшая математика. В 2-х т., Т.2: Учебное пособие для студентов вузов.
Мос., “ТетраСистемс”, 1988 - 448 с.;
2. Григулецкий
В.Г., Лукьянова И.В., Петунина И.А., Математика для студентов экономических
специальностей. Часть 2. Краснодар, 2002 - 348 с.;
. Григулецкий
В.Г. и др. Задачник-практикум по математике. Краснодар. КГАУ, 2003 - 170 с.;
. Григулецкий
В.Г., Степанцова К.Г., Гетман В.Н., Задачи и упражнения для студентов
учетно-финансового факультета. Краснодар. 2001 - 173 с.;
. Григулецкий
В.Г., Ященко З.В., Высшая математика. Краснодар, 1998 - 186 с.;