Математический анализ
МИНИСТЕРСТВО
ОБРАЗОВАНИЯ И НАУКИ РОССИЙСКОЙ ФЕДЕРАЦИИ
ФГБОУ ВПО
«Уральский государственный экономический университет»
Центр
дистанционного образования
Контрольная
работа
Математический
анализ
Выполнил:
Власова А.В.
Задание 1. Пределы функции
Вычислить пределы:
Решение:
a)
b)
)
=
Задание 2. Исследование функции
Используя дифференциальное исчисление, провести
полное исследование функции и построить ее график:
Решение:
) Область определения функции D(y):
) Множество значений функции E(y):
) Проверим, является ли функция четной или
нечетной:
Так как
,
то функция не является ни четной ни нечетной.
) Найдем координаты точек пересечения графика
функции с осями координат:
а) с осью ОУ: х=0;
График
пересекает ось ординат в точке
б) с осью ОХ: у=0;

График функции пересекает ось абсцисс в точках:
5) Найдем промежутки возрастания и убывания
функции, а так же точки экстремума:
Так как на промежутке
,
то на этом промежутке функция убывает. Так как на промежутке
,
то на этом промежутке функция возрастает. Так как при переходе через точку
производная
меняет свой знак с - на + то в этой точке функция имеет минимум:
6)
Найдем промежутки выпуклости и точки перегиба функции:
Так
как
,
на всей области определения, то график функции направлен выпуклостью вниз. Так
как
то
график функции не имеет точек перегиба
) Так как точек разрыва функция не имеет, то она
не имеет вертикальных асимптот. Проверим, имеет ли данная функция наклонные
асимптоты:
б) Наклонные асимптоты вида
следовательно
наклонных асимптот функция не имеет
) Построим график данной функции:
Рисунок 1
Задание 3. Неопределенный интеграл
Вычислить неопределенные интегралы, используя
методы интегрирования:
а) - непосредственное интегрирование;
б) - замены переменной;
в) - интегрирования по частям.
Решение:
а)
б)
)
Задание 4. Определенный интеграл
.1 Вычислить определенный интеграл:
Решение:
4.2 Вычислить площадь плоской фигуры,
ограниченной заданными кривыми. Сделать чертеж.
Решение:
Выполним чертеж:
Рисунок 2
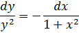
Задание 5. Несобственный интеграл
Вычислить интеграл или установить его
расходимость:
Решение:
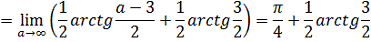
а)
Тогда получаем:
б) 
интеграл функция дифференциальный
уравнение
6.1 Числовые ряды. Исследовать ряд на
сходимость:
Решение
Воспользуемся интегральным признаком сходимости
Следовательно, ряд сходится
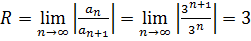
.2 Степенные ряды. Определить область сходимости
степенного ряда:
Решение: Воспользуемся
Радиус сходимости ряда равен:
Область сходимости ряда есть промежуток (-3; 3),
внутри промежутка ряд сходится, проверим сходимость ряда на концах этого
промежутка:
а) при х=3 получаем ряд:
Ряд расходится
б)
получили знакопеременный ряд, который не
удовлетворяет признакам сходимости знакопеременного ряда, следовательно он
расходится
Итак, область сходимости (-3; 3)
Задание 7. Функции нескольких переменных
Исследовать функцию двух переменных на
экстремум:
Решение:
Найдем стационарные точки, решив систему:
Получили одну
стационарную точку М(0; 0), проверим выполняется ли для этой точки достаточное
условие экстремума.
Найдем частные производные второго порядка:
Тогда
Вопрос
о наличии экстремума остается открытым. Проведем дополнительные исследования:
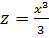
а) при х=0, получаем функцию
,
которая в точке у=0 имеет минимум
б) при у=0, получаем функцию
,
которая в точке x=0 не имеет
экстремума
Следовательно, функция
в
точке М(0; 0) не имеет экстремума
Задание 8. Решение дифференциальных уравнений
.1 Найти общее и частное решения дифференциального
уравнения:
Решение:
Найдем частное решение, удовлетворяющее
начальным условиям:
Итак, частное решение имеет вид:
.2. Найти частное решение дифференциального
уравнения, удовлетворяющее заданным начальным условиям
:
Решение: Найдем корни характеристического уравнения:
Так как корни характеристического уравнения
мнимые числа, то общее уравнение имеет вид:
Найдем частное решение удовлетворяющее начальным
условиям, для этого решим систему:
Тогда частное решение имеет вид: