Переходные токи и напряжения на элементах цепи
Содержание
1.Введение
.
Постановка задачи
.
Уравнения переходного процесса
.
Расчет режима цепи до коммутации
.
Начальные условия
.
Расчет установившегося режима
.
Определение корней характеристического уравнения
.1
Вывод характеристического уравнения
.2
Корни характеристического уравнения
.
Начальные условия для тока в индуктивности
.
Раcчет постоянных интегрирования для тока в индуктивности L3
.
Переходные токи и напряжения на элементах цепи
.
Проверка уравнений Кирхгофа
.
Проверка начальных условий
.
Оценка продолжительности переходного процесса
14.
Графики токов в электрической цепи
.
Графики тока и напряжения на ёмкости
.
Графики тока и напряжения на индуктивности
Литература
1. Введение
Расчет переходных процессов выполняется в ходе
анализа и проектирования различных электроэнергетических, электротехнических,
радиотехнических и электронных устройств и систем. Это позволяет избежать
возникновения аварийных ситуаций при переходе от одного установившегося режима
к другому, а также обеспечить своевременное отключение оборудования в аварийном
состоянии.
Уравнения переходных процессов составляют по
законам теории электрических цепей, возможно с учетом условий и предположений
практического характера. В линейных цепях, параметры которых не зависят от
токов и напряжений на отдельных элементах, переходные процессы описываются
системами линейных, алгебраических и обыкновенно дифференцируемых уравнений. Их
решение складывается из функций, описывающих установившейся режим и
экспоненциальных функций, которые являются собственными функциями системами
однородных дифференциальных уравнений, соответствующих данной системе
уравнений.
Каждая экспоненциальная функция имеет два
параметра: коэффициент и показатель (в общем случае комплексный). Показателями
являются характеристические числа однородной системы уравнений (корни
алгебраического уравнения с теми же коэффициентами, что и у дифференциального
уравнения, полученного из системы однородных дифференциальных уравнений).
Остается определить коэффициенты экспоненциальных функций; их количество обычно
равно числу реактивных элементов в цепи, в которой происходит переходный
процесс. Таким образом, уравнения, описывающие переходный процесс в линейной
цепи поддаются алгебраизации (могут быть сведены к выводу и решению системы линейных
алгебраических уравнений).
Наиболее распространенные методы алгебраизации
дифференциальных уравнений объединяются под названием «метод переменных
состояния». Различают два варианта метода переменных состояния: классический и
современный (матричный).
В классическом варианте выбирается одна
переменная состояния, например электрический ток в одной из ветвей цепи. Для
определения коэффициентов требуется найти начальные значения этой переменной и
(n-1) её производной, где n - число реактивных элементов в цепи, обычно равное
порядку системы дифференциальных уравнений. Это позволяет составить систему
линейных алгебраических уравнений относительно коэффициентов в выражении
искомого тока, после ее решения можно определить этот ток, а затем и остальные
переходные токи.
С увеличением количества переменных состояния
аналитические выкладки становятся все более громоздкие, расчеты с большим
трудом поддаются программированию, применение классического метода становится
нерациональным.
В матричном методе в качестве переменных
состояния используются переходные токи в индуктивностях и напряжения на
емкостях. Переменная состояния становится вектором, его начальное значение
определяется по законам коммутации. Расчеты легко программируются с
использованием матричной алгебры.
Курсовая работа выполняется либо классическим
методом (аналитические преобразования несложны, для вычисления достаточно
калькулятора), либо матричным методом переменных состояния (матричные
вычисления легко программируются в системе MathCAD или MathLab). В отчете
используется классический метод.
2. Постановка задачи
Задана схема коммутации в электрической цепи и
параметры ее элементов.
Рис.1. Схема коммутации электрической цепи
= 10 Ом;= 106 мкФ
е1 = 10 В; е2 = 20 В;= 63,8 мГн
цепь коммутация ток индуктивность
Определить переходные токи в ветвях
электрической цепи до коммутации и после коммутации.
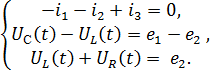
3. Уравнения переходного процесса
Рис.2. Схема электрической цепи после коммутации
Система уравнений Кирхгофа
4. Расчёт режима цепи до коммутации
Рис.3. Эквивалентная схема электрической цепи в
установившемся режиме до коммутации
Первая и третья ветви разомкнуты
.
По первому закону Кирхгофа
.
По второму закону Кирхгофа для
контура
.
5. Начальные условия
По первому закону коммутации
(0) = i2ДК= 0
По второму закону коммутации
(0) = UC1ДК = -10B
6. Расчет установившегося режима после
коммутации
Рис.4. Эквивалентная схема электрической цепи в
установившемся режиме после коммутации
По первому закону Кирхгофа
у = 0; i2у = i3у.
По второму закону Кирхгофа для контура II
следовательно,
=
7. Определение корней характеристического
уравнения
.1 Вывод характеристического уравнения
Определитель системы уравнений Кирхгофа:

.000068·p2 +0.064 ·p +10= 0.
.2 Корни характеристического уравнения
;
.
8. Начальные условия для тока в индуктивности
Независимые начальные условия:
по первому закону коммутации
(0)=
=0
по второму закону коммутации
=
(0)=
-10
Найдём зависимое начальное условие:
Второе уравнение системы уравнений Кирхгофа при
t=0
где
=
следовательно
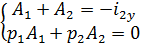
9. Расчет постоянных интегрирования для тока в
индуктивности
Решение ищем в виде:
(t)=
+
=0

+
Получим систему уравнений
Проверка постоянных интегрирования
(0)=
Получили переходный ток на
индуктивности
(t)=
10. Переходные токи и напряжения на элементах
цепи
Система уравнений Кирхгофа
Напряжение на индуктивности
=
=
= 0 В
Напряжение на конденсаторе найдем из
второго уравнения п.2
=
Найдем ток
из третьего
уравнения п.2
Найдем ток
из первого
уравнения п.2
Найдем напряжение на резисторе из
третьего уравнения п.2
=
= 20 В.
11. Проверка уравнений Кирхгофа
Проверка первого уравнения
|
|
|
|
|
|
0
|
0,714
|
-2,713
|
|
|
-2
|
2,725
|
-0,725
|
|
|
2
|
-3,439
|
3,438
|
|
Σ
|
0
|
0
|
Проверка второго уравнения
;
|
|
|
|
|
|
-10
|
34,39
|
-34,38
|
|
|
0
|
-34,39
|
34,38
|
|
Σ
|
-10
|
0
|
0
|
Проверка третьего уравнения
|
|
|
|
|
|
0
|
34,39
|
-34.38
|
|
|
20
|
-34,39
|
34,38
|
|
Σ
|
20
|
0
|
0
|
12. Проверка начальных условий
(0)=
А
В
13. Оценка продолжительности переходного
процесса
=
=
с,
Тпер =5
14. Графики токов в электрической цепи
Рис.5. Графики токов в электрической цепи
15. Графики тока и напряжения на ёмкости
Рис.6. Графики тока и напряжения на ёмкости
16. Графики тока и напряжения на индуктивности
Рис.7. Графики тока и напряжения на
индуктивности
Список литературы
Бессонов
Л.А. Теоретические основы электротехники. Электрические цепи: учебник для
бакалавров/- 11-е изд., перераб. и доп. - М: Юрайт, 2012. - 701с.
Электротехника
и электроника. Часть 1. Электрические и магнитные цепи: электронное
мультимедийное учебное пособие. Авторы Волков Ю.С., Белов Н.В., Щедрин О.П.
Издательство: МГОУ, 2010г. Доступ: knigafund.ru
Теоретические
основы электротехники. Справочник по теории электрических цепей: учебное
пособие для вузов./Ю.А. Бычков [ и др.]; под ред. Ю.А. Бычкова, В.М.
Золотницкого, Э.П. Чернышева.- СПБ: Питер, 2008. - 342с.