Переходные процессы в электрических цепях

  • Вид работы:
    Реферат
  • Предмет:
    Информатика, ВТ, телекоммуникации
  • Язык:
    Русский
    ,
    Формат файла:
    MS Word
    160,57 Кб
  • Опубликовано:
    2016-02-22
Вы можете узнать стоимость помощи в написании студенческой работы.
Помощь в написании работы, которую точно примут!

Переходные процессы в электрических цепях

МИНИСТЕРСТВО ОБРАЗОВАНИЯ НАУКИ РОСИИЙСКОЙ ФЕДЕРАЦИИ

ФЕДЕРАЛЬНОЕ ГОСУДАРСТВЕННОЕ АВТОНОМНОЕ ОБРАЗОВАТЕЛЬНОЕ УЧРЕЖДЕНИЕ ВЫСШЕГО ПРОФЕССИОНАЛЬНОГО ОБРАЗОВАНИЯ

«САМАРСКИЙ ГОСУДАРСТВЕННЫ АЭРОКОСМИЧЕСКИЙ УНИВЕРСИТЕТ ИМЕНИ АКАДЕМИКА С.П. КОРОЛЁВА

Радиотехнический факультет

Кафедра электротехники




Реферат

на тему «Переходные процессы в электрических цепях»

Студент: Мухлынин М. С.

Проверил: Католиков В.И.






Самара 2014

ЗАДАНИЕ

.        Найти токи в ветвях и напряжение на всех элементах цепи классическим методом.

.        Найти токи в ветвях и напряжение на всех элементах цепи операторным методом.

.        Построить графики зависимостей токов в ветвях и напряжений на элементах от времени.

Рисунок 1- Исходная цепь

Дано:

Е=24 В

r1=100 Ом

r2=100 Ом

r3=100 Ом

L=50, мГн

C=0,01 мкФ

t2=1 мс

РЕФЕРАТ

КЛАССИЧЕСКИЙ МЕТОД, ОПЕРАТОРНЫЙ МЕТОД, ПЕРЕХОДНЫЕ ПРОЦЕССЫ

Объектом исследования являются переходные процессы в цепи второго порядка.

Цель работы - изучить методы расчета переходных процессов(классический и операторный) в электрической цепи.

В процессе работы использованы классический и операторный методы расчета.

В результате работы найдены токи и напряжения на элементах в зависимости от времени, построены соответствующие графики.

СОДЕРЖАНИЕ

ВВЕДЕНИЕ

. РАСЧЁТ ЦЕПИ КЛАССИЧЕСКИМ МЕТОДОМ

.1      Расчёт цепи для первого ключа классическим методом

.2      Расчёт цепи для второго ключа классическим методом

.        РАСЧЁТ ЦЕПИ ОПЕРАТОРНЫМ МЕТОДОМ

.1      Расчёт цепи для первого ключа операторным методом

.2      Расчёт цепи для второго ключа операторным методом

3.      Графики

ЗАКЛЮЧЕНИЕ

СПИСОК ИСПОЛЬЗОВАННЫХ ИСТОЧНИКОВ

ВВЕДЕНИЕ

В данной работе представлен расчет переходных процессов протекающих в цепях второго порядка. В первой части работы представлены расчеты токов и напряжений на элементах цепи с помощью классического метода расчета для двух коммутаций. Во второй части представлены расчеты токов и напряжений на элементах цепи с помощью операторного метода для двух коммутаций. По найденным данным построены графики зависимости токов и напряжений на элементах цепи от времени.

1. РАСЧЁТ ЦЕПИ КЛАССИЧЕСКИМ МЕТОДОМ

.1 Расчёт цепи для первого ключа классическим методом

Сначала рассчитаем переходный процесс, начинающийся после замыкания первого ключа, т. е. в момент времени  (Рисунок 2)

Рисунок 2 - Цепь после 1 коммутации

Сначала найдем комплексное сопротивление цепи, оно определяется формулой:


Найдем корни характеристического уравнения

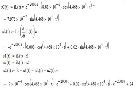
Так как конденсатор в цепи постоянного тока - разрыв цепи, то тока в цепи не будет, следовательно:

Посчитаем по формуле значение тока на катушке:


Запишем уравнения токов и напряжений в цепи


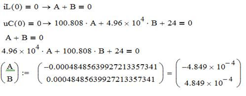
Запишем начальные условия:

iL(0-)=iL(0+)

uC(0-)=uC(0+)

Исходя из них найдем значение А и В:

Находим токи и напряжения в цепи:


.2 Расчёт цепи для второго ключа классическим методом

Изобразим цепь которая у нас будет после второй коммутации на рисунке 5.

Рисунок 3  Цепь после второй коммутации

цепь ток напряжение коммутация

Запишем уравнения тока на индуктивности и напряжения на конденсаторе:

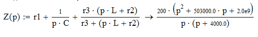
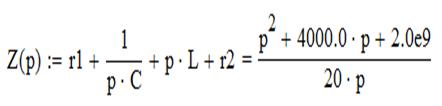
Запишем уравнение комплексного сопротивления данной цепи:


Приравняв Z(p) к нулю, найдем корни:

Корни являются комплексными, из этого следует что в цепи присутствуют колебания.

Так как в цепи присутствует ёмкость, которая на постоянном токе является разрывом цепи, принуждённое значение тока на индуктивности будет равно нулю:

Добавляя к принуждённой составляющей свободную составляющую, можно записать закон, по которому будет изменяться ток на индуктивности:


Исходя из законов коммутации и начальных условий, найдем константы А и В:

Подставив найденные значения А и В, найдём токи и напряжения в цепи:



2. РАСЧЁТ ЦЕПИ ОПЕРАТОРНЫМ МЕТОДОМ

.1 Расчёт цепи для первого ключа операторным методом

Чтобы произвести расчет цепи операторным методом, преобразуем исходную цепь. Для этого, пользуясь таблицей квивалентов, заменим все элементы их изоражениями. Изобразим операторную сему замещения на рисунке 7.

Рисунок 4 - Операторная схема замещения после первой коммутации

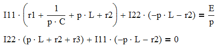
Воспользуемся методом контурных токов для поиска тока на конденсаторе и составим уравнения для двух контуров изображенных на рисунке:


Решив эту систему уравнений, найдём токи I11 и I22:

Вычислим ток на индуктивности, учитывая направления контурных токов:

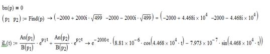
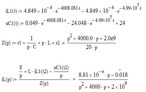
Найдём оригинал тока, по «изображению» тока на индуктивности:

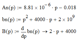
Найдём производную от bn(p):


Затем приравняем bn(p) к нулю:

Зная корни p1 и p2, An(p) и B(p), запишем уравнение тока на индуктивности:


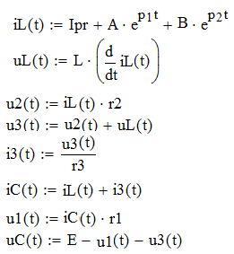
Затем с помощью найденных в классическом методе законов и формул, выразим напряжения и токи на всех элементах :


.2 Расчёт цепи для второго ключа операторным методом

Составим операторную схему замещения исходной цепи изображенной на рисунке 1 и изобразим ее на рисунке 9.

Рисунок 5 - Операторная схема замещения

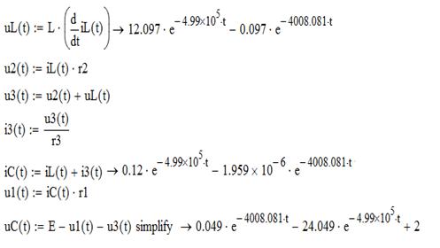
Исходя из того, что мы знаем значения тока на индуктивности и напряжения на ёмкости найдём комплексное сопротивление:


По «изображению» найдём оригинал тока на индуктивности:


Найдём остальные величины:



3. ГРАФИКИ

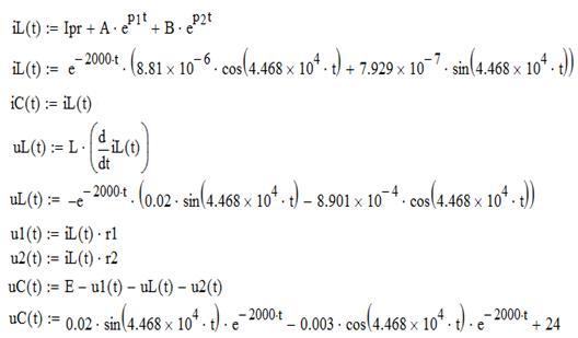
Найдем значение токов в ветвях и напряжений на элементах для времени  Расчеты представлены на рисунке 11.

Рисунок 6 - Расчеты в пакете программ Mathcad 15

Остальные значения получены аналогичным образом и сведены в таблицу 1.

Таблица 1 Значения для построения графиков, изображенных на рисунках.



Рисунок 7 - График напряжения на индуктивности.

Рисунок 8 - Напряжение на ёмкости.

Рисунок 9 - График тока на индуктивности и ёмкости

ЗАКЛЮЧЕНИЕ

В ходе работы были найдены функции токов и напряжений на всех элементах цепи классическим и операторным методами. Значения этих функций в обоих методах совпали, вследствие чего можно сделать вывод о правильности выполнения расчетов. Были построены графики зависимости токов и напряжений от времени для двух коммутаций.

СПИСОК ИСПОЛЬЗОВАННЫХ ИСТОЧНИКОВ

Атабеков, Г.И. Основы теории цепей [Текст]/Г.И. Атабеков - СПб.: Издательство «Лань», 2006. - 432 с.

Основы теории цепей. Учебник для вузов Зевеке Г.В., Ионкин П.А., Нетушил А.В., Страхов С.В. 4-еиздание, переработанное М.: "Энергия", 1975 г. - 528 с.

Похожие работы на - Переходные процессы в электрических цепях

 

Не нашли материал для своей работы?
Поможем написать уникальную работу
Без плагиата!
Без нейросетей!