Расчет показателей трансформатора
Министерство
образования и науки, молодежи и спорта Украины
Национальный
технический университет
«Харьковский
политехнический институт»
Кафедра
электрических машин
Контрольная
работа №1
по
курсу «Электрические машины»
студента 3-го курса
заочного факультета группы ЭМCз-12
Сологуба Сергея Владимировича
Харьков
2014
Определение
параметров и основных характеристик трансформатора
Принципиальное устройство
трансформатора
Принятые
обозначения:
Dc-диаметр
стержня, м;
Lc,
Lя-расстояние между
осями стержней и длина ярма, м;
hc,
hя-высота стержня и
ярма, м;
Пс, Пя-площади сечения стержня
и ярма, м²;
δ1,
δ2-ширина
обмоток ВН и НН, м;
δ
-ширина канала между обмотками ВН и НН, м;
δф-расстояние
между обмотками фаз, м;
δ0-ширина
канала между стержнем и обмоткой НН, м;
δя1,
δя2-расстояние
от ярма обмоток ВН и НН, м;
q1,
q2-сечения
проводника обмоток ВН и НН, м²;
Данные параметры:
SH=50
кВ*А;
группа соединений-Y/Y0-0;
U1н±5%=6кВ;
U2н=0,23кВ; I1н=4,82А;
I2н=126А;
число витков: W1=1122;
W2=43;
сечение
проводников: q1=1,43
мм²; q2=43,55
мм²;
Dc=0,13
м; Lc=0,23 м; hc
=0,24 м;
Пс=98,3*10-4 м²;
Пя=109,3*10-4 м²;
δ0=0,002
м;
δ2=0,012м;
δ=0,007
м; δ1=0,019
м; δф=0,017
м;
δя1=0,01
м; δя2=0,01
м; f=50
Гц.
Определение тока
холостого хода
трансформатор
асинхронный двигатель ток
1) Максимальное значение
магнитного потока в сердечнике трансформатора, Вб:
,
где U1ф
- фазное напряжение первичной обмотки трансформатора, В.

2) Магнитная
индукция в стержне и ярме, Тл:
;
При сборке трехфазного
трансформатора внахлёстку в магнитную цепь средней фазы попадает один зазор δз,
а в цепь крайних фаз по три зазора δз
( δз≈0,35*10-4
м).
) Магнитодвижущая сила средней
фазы, А, где hя≈D
μ0-магнитная
проницаемость для немагнитных материалов, μ0=4π*10-7
Н/м.
Нс=676 А/м, Hя=439
А/м - напряженности магнитного поля определяются по кривой намагничивания
трансформаторной стали 3412 для соответствующих индукций Вс и Вя.
4) Намагничивающая сила крайних
фаз, А:

) Среднее значение МДС, А:
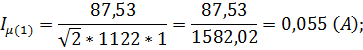
) Среднее значение
намагничивающей составляющей тока холостого хода, А:
Коэффициент Kr
учитывающей наличие гармоник в кривой намагничивающей тока Kr
= 1,03.
) Вес трёх стержней сердечника
трансформатора, кг:
) Вес двух ярем, кг:
) Потери в стали, Вт:
Где σс,
σя-
удельные потери трансформаторной стали 3412:
Кс- коэффициент, учитывающий
добавочные потери в стали, Кс=1,1.
) Мощность холостого хода
трансформатора, Вт:
) Активная составляющая тока
холостого хода, А:
12) Полный ток холостого хода
(фазный), А:
13) Линейное значение тока
холостого хода, А:
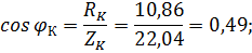
14) Коэффициент мощности
холостого хода:
Определение
напряжения короткого замыкания
1) Средняя длина витка
первичной обмотки, м:
) Средняя длина витка вторичной
обмотки, м:
) Активное сопротивление фазы
первичной обмотки, Ом:
4) Активное сопротивление фазы
вторичной обмотки, Ом:
5) Потери в меди, Вт:
7) Активная составляющая
напряжения короткого замыкания, %:
8) Индуктивное сопротивление
трансформатора, Ом:
-средняя высота
обмотки, м;
-
приведенная ширина зазора;
9) Индуктивная составляющая
напряжения короткого замыкания, %:
10) Напряжение короткого
замыкания, %:
11) Коэффициент полезного
действия:
Построение
характеристик холостого хода и короткого замыкания
Для построения
характеристик холостого хода не обходимо задаться несколькими значениями
напряжения на первичной обмотке в пределах
построить
характеристики:
1) Потери в стали, Вт:
Максимальное
значение магнитного потока
в сердечнике трансформатора:

Магнитодвижущая сила крайних
фаз, А:
- Среднее значение МДС, А:
- Среднее значение
намагничивающей составляющей тока холостого хода, А:
-
Вес трёх стержней сердечника трансформатора, кг:
Вес двух ярм, кг:
Мощность холостого хода
трансформатора, Вт,
Активная составляющая тока
холостого хода, А:
Полный ток
холостого хода (фазный), А:
-
Линейное значение тока холостого хода, А:
При соединении первичной
обмотки звездой:
Коэффициент
мощности холостого хода:
Для построения
характеристик
короткого замыкания необходимо задаться несколькими значениями напряжения на
первичной обмотке в режиме короткого замыкания
произвести
расчет
По полученным данным построить
характеристики:
1. Ток короткого замыкания, А:
Из расчетов:
2. Потери
в меди, Вт:
3. Коэффициент мощности
короткого замыкания:
3-я точка:
Вопросы к
контрольной работе.
1. Что такое приведенный
трансформатор?
В общем случае параметры
первичной обмотки трансформатора отличаются от параметров вторичной обмотки.
Разница наиболее ощутима при больших коэффициентах трансформации, что
затрудняет расчеты и особенно построение векторных диаграмм.
Векторы электрических величин,
относящиеся к первичной обмотке, значительно отличаются по своей длине от
одноименных векторов вторичной обмотки. Затруднения можно устранить, если
привести все параметры трансформатора к одинаковому числу витков, например, к
w1.
С этой целью параметры
вторичной обмотки пересчитываются на число витков w1.
Таким образом, вместо реального
трансформатора с коэффициентом трансформации k = w1 / w2, получают
эквивалентный трансформатор с k = w1 / w2 = 1.
Такой трансформатор называется
приведенным. Приведение параметров трансформатора не должно отразиться на его
энергетическою процессе, то есть все мощности и фазы вторичной обмотки должны
остаться такими же, что и в реальном трансформаторе.
. Покажите, каким образом
рабочий режим вращающегося асинхронного двигателя может быть приведен к режиму
трансформатора с активной нагрузкой?
Приведение асинхронного двигателя
к эквивалентному трансформатору. По физическому смыслу работа асинхронного
двигателя аналогична трансформатору, поэтому его работу и приводят к режиму
трансформатора. Но у асинхронного двигателя имеются отличия от трансформатора:
) Ротор асинхронного двигателя
вращается, а трансформатор неподвижный статический аппарат. Поэтому первой
задачей будет приведение асинхронного двигателя к неподвижному состоянию.
Запишем выражение для тока
ротора
- ток во
вращающемся роторе.
- ток при
неподвином роторе, т.к. его выразили через E2 и X2 - неподвижного ротора.
Схема замещения роторной цепи
) Асинхронный двигатель отдает
с вала механическую мощность, а трансформатор электрическую. Решим эту задачу.
Представим
Тогда схема замещения для
роторной цепи будет иметь вид
Полная мощность, переданная на
ротор равна E2I2. В роторной цепи она теряется только на активных элементах.
Сопротивление r2 обычно мало, поэтому мощность теряемая на сопротивлении будет
эквивалентна механической мощности, которую развивает двигатель.

Итак, работу асинхронного
двигателя можно свести к работе трансформатора. Отсюда векторная диаграмма и
схема замещения асинхронного двигателя будут аналогичны векторной диаграмме и
схеме замещения трансформатора.
Векторная диаграмма
асинхронного двигателя
Запишем основные уравнения ЭДС
и токов для асинхронного двигателя и на основании этих уравнений построим
векторную диаграмму.
.
.
,
,
. Выведем уравнение для токов
,
Для двухслойной обмотки
,
Или
или
запишем
иначе
На основании уравнений 1, 2, 3
построим векторную диаграмму для асинхронного двигателя. Из построения
векторной диаграммы видно, что она во многом аналогична векторной диаграмме
трансформатора при нагрузке