Расчет силового трехфазного трансформатора
Министерство
образования и науки РФ
Государственное
образовательное учреждение высшего
профессионального
образования
«Юго-Западный
государственный университет»
Кафедра
«Электроснабжение»
КУРСОВОЙ
ПРОЕКТ
по
дисциплине «Электрические машины»
на
тему «Расчет силового трехфазного трансформатора»
Автор проекта
Звягин Е.В
Группа_ЭС-11б
Руководитель
проекта
Чернышёв
А.С.
Курск,
2014г
Оглавление
Введение
1.
Предварительный расчет трансформатора
1.1
Расчет основных электрических величин и изоляционных расстояний
1.2
Предварительный расчет трансформатора и выбор соотношения основных размеров β с учетом
заданных значений
2.
Расчет обмоток
2.1
Расчет обмотки НН
2.2
Расчет обмотки ВН
3.
Определение параметров короткого замыкания
3.1
Определение потерь короткого замыкания
3.2
Определение напряжения короткого замыкания
3.3
Определение механических сил в обмотках
4.
Окончательный расчет магнитной системы. Определение параметров холостого хода
4.1
Определение размеров магнитной системы
4.2
Расчёт потерь холостого хода
4.3
Расчет тока холостого хода
5
Тепловой расчет трансформатора
5.1.
Тепловой расчет обмоток
5.2
Тепловой расчет бака
6.
Сопоставление технико-экономических показателей серийного и проектируемого
трансформаторов.
Список
литературы
Введение
трансформатор замыкание обмотка
В настоящее время электрическая энергия для
промышленных целей и электроснабжения городов производится на крупных тепловых
или гидроэлектростанциях в виде трехфазной системы переменного тока частотой 50
Гц. Напряжения генераторов, установленных на электростанциях, стандартизованы и
могут иметь значения 6600, 11 000, 13 800, 15 750, 18 000 или 20 000 в (ГОСТ
721-62). Для передачи электроэнергии на большие расстояния это напряжение
необходимо повышать до 110, 220, 330 или 500 кв в зависимости от расстояния и
передаваемой мощности. Далее, на распределительных подстанциях напряжение
требуется понижать до 6 или 10 кв (в городах и промышленных объектах) или до 35
кв (в сельских местностях и при большой протяженности распределительных сетей).
Наконец, для ввода в заводские цеха и жилые квартиры напряжение сетей должно
быть понижено до 380, 220 или 127 в. В некоторых случаях, например, для
освещения котельных или механических цехов и сырых помещений, напряжение должно
быть понижено до безопасной для жизни величины - 12, 24 или 36 в.
Повышение и понижение напряжения переменного
тока и выполняют силовые трансформаторы. Трансформаторы сами электрическую
энергию не производят, а только ее трансформируют, т. е. изменяют величину
электрического напряжения. При этом трансформаторы могут быть повышающими, если
они предназначены для повышения напряжения, и понижающими, если они
предназначены для понижения напряжения. Но принципиально каждый трансформатор
может быть использован либо как повышающий, либо как понижающий в зависимости
от его назначения, т. е. он является обратимым аппаратом. Силовые
трансформаторы обладают весьма высоким коэффициентом полезного действия (к. п.
д.), значение которого составляет от 95 до 99,5%, в зависимости от мощности.
Трансформатор большей мощности имеет соответственно и более высокий к. п. д.
Трансформатором называется статический
электромагнитный аппарат, предназначенный для преобразования одной (первичной)
системы переменного тока в другую (вторичную), имеющую другие характеристики.
Принцип действия трансформатора основан на законе электромагнитной индукции,
открытом английским физиком Фарадеем в 1831 г. Явление электромагнитной
индукции состоит в том, что если внутри замкнутого проводникового контура
изменяется во времени магнитный поток, то в самом контуре наводится
(индуктируется) электродвижущая сила (э. д. с.) и возникает индукционный ток.
Чтобы уменьшить сопротивление по пути прохождения магнитного потока и тем самым
усилить магнитную связь между первичной и вторичной катушками или, как их более
принято называть, обмотками, последние должны быть расположены на замкнутом
железном (стальном) сердечнике (магнитопроводе). Применение замкнутого
стального магнитопровода значительно снижает относительную величину потока
рассеяния, так как проницаемость применяемой для магнитопроводов стали в
800-1000 раз выше, чем у воздуха (или вообще у диамагнитных материалов).
Трансформатор состоит из магнитопровода и
насаженных на него обмоток. Кроме того, трансформатор состоит из целого ряда
чисто конструкционных узлов и элементов, представляющих собой конструктивную
его часть. Элементы конструкции служат главным образом для удобства применения
и эксплуатации трансформатора. К ним относятся изоляционные конструкции,
предназначенные для обеспечения изоляции токоведущих частей, отводы и вводы -
для присоединения обмоток к линии электропередачи, переключатели - для
регулирования напряжения трансформатора, баки - для заполнения их
трансформаторным маслом, трубы и радиаторы - для охлаждения трансформатора и
др.
Магнитопровод и обмотки вместе с крепежными
деталями образуют активную часть силового трансформатора.
Трансформатор во время своей работы вследствие
возникающих в нем потерь нагревается. Чтобы температура нагрева трансформатора
(в основном его изоляции) не превышала допустимого значения, необходимо
обеспечить достаточное охлаждение обмоток и магнитопровода. Для этого в
большинстве случаев трансформатор (активную часть) помещают в бак, заполненный
трансформаторным маслом. При нагревании масло начинает циркулировать и отдает
тепло стенкам бака, а от последних тепло рассеивается в окружающем воздухе.
1. Предварительный расчет трансформатора
.1 Расчет основных электрических величин и
изоляционных расстояний
Расчет проводим для трехфазного трансформатора
стержневого типа с концентрическими обмотками.
Мощность одной фазы и одного стержня:
Номинальные (линейные) токи на
сторонах:
Фазные ток обмоток НН (схема
соединения - звезда) равны линейным токам.
Фазные ток обмоток ВН (схема
соединения - звезда) равны линейным токам.
Фазные напряжения обмоток BН (схема
соединения - звезда) равны:
Фазные напряжения обмоток HН (схема
соединения - звезда) равны:
Испытательные напряжения обмоток (по
табл. [1]): для обмотки ВН UИСП = 35 кВ; для обмотки НН UИСП = 35 кВ.
По табл. 5.8[1] выбираем тип
обмоток.
Для испытательного напряжения
обмотки ВН UИСП = 35 кВ по табл. 4.5[1] находим изоляционные расстояния a'12 =
20 мм; l'0 = 50 мм; a'22 = 18 мм для UИСП = 35 кВ по табл. 4.4[1] находим l =
50 мм.
Определение исходных данных расчета.
Приведенный канал рассеяния:
Активная составляющая напряжения
короткого замыкания:
Реактивная составляющая напряжения
короткого замыкания:
.2 Предварительный расчет
трансформатора и выбор соотношения основных размеров β с учетом
заданных значений
где β = 2.3 по табл.
3.2[1];Р ≈ 0,95 - принятый коэффициент приведения идеального поля
рассеяния к реальному полю (коэффициент Роговского);С = 1,6 Тл - индукция в
стержне по табл. 2.4[1];
С = kКР · kЗ = 0,864 по ф.
3.67[1];З=0,96
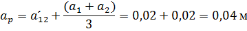
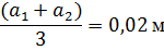
ар-ширина приведенного канала
рассеяния трансформатора
Принимаем ближайший размер d=34 см
Определим средний диаметр канала
между обмотками:
Определяем высоту обмотки:
Активное сечение
ЭДС одного витка
2. Расчет обмоток
2.1 Расчет обмотки НН
Число витков обмотки НН:

принимаем w1 = 10 витков.
Напряжение одного витка:
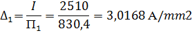
Средняя плотность тока в обмотках по
(5.4):
А/mm2
Сечение витка ориентировочно:
Примем цилиндрическую обмотку из
прямоугольного провода для стороны НН, она будет намотана в два слоя:
Число витков в слое /1, с. 272/
Ориентировочный осевой размер витка:
По полученным ориентировочным значениям П'В и
hВ1 по табл. 5.2[1] подбираем сечение витка из 2 параллельных проводов.
ПБ
Полное сечение витка:
830,4
где:
-
число параллельных проводов
- сечение одного
провода
Плотность тока:
Осевой размер обмотки:
Радиальный размер обмотки:
=
= 3,6 см.
Внутренний диаметр обмотки:
Внешний диаметр обмотки:
Плотность теплового потока на поверхности
обмотки по
Масса металла обмотки:
.2 Расчет обмотки ВН
Число витков при номинальном напряжении
Число витков на одной ступени регулирования:
Число витков на ответвлениях:
ступень В 6063
457
ступень В 5918
446
ступень В 5774
435
ступень В 5630
424
ступень В 5485
413
Ориентировочная плотность тока:
A/
Ориентировочное сечение витка:
выбираем провод марки ПБ:
ПБ
сечением П2=19.3
Плотность тока в обмотке:
A/
по графику находим q=630
число витков в слое:
число слоёв в обмотке:
рабочее напряжение двух слоёв, В:
Радиальный размер обмотки, см:
Плотность теплового потока на
поверхности обмотки по
Внутренний диаметр обмотки
Наружный диаметр обмотки
Масса медного провода
3. Определение параметров короткого замыкания
.1 Определение потерь короткого замыкания
Для обмотки НН
Потери короткого замыкания, Вт
Добавочные потери в обмотке:
Основные потери в отводах
Длина отводов, см :
Масса отводов, кг:
Потери в отводах, Вт:
Для обмотки ВН
Потери короткого замыкания, Вт:
Добавочные потери в обмотке:
Основные потери в отводах
Длина отводов, см :
Масса отводов, кг:
Потери в отводах, Вт:
Потери в стенках бака, Вт:
Полные потери короткого замыкания, Вт:
11020 Вт
что на
%
ниже заданной нормы
3.2 Определение напряжения короткого замыкания
Активная составляющая, %:
Реактивная составляющая, %:
где β=2,23
Напряжение короткого замыкания:
что на
от
заданного
.3 Определение механических сил в обмотках
Установившейся ток короткого замыкания на
стороне ВН, A:
Мгновенные максимальные значения тока короткого
замыкания, А:
где
Радиальная сила, Н:
Среднее растягивающее напряжение в проводах
обмотки BH, МПа:
, что удовлетворяет неравенству 16,58%≤50
Осевая сила, Н:
Где
Максимальная сжимающая сила в обмотках, Н:
Наибольшая сжимающая сила наблюдается в середине
высоты обмотки НН, где
Н.
4. Окончательный расчет магнитной системы.
Определение параметров холостого хода
.1 Определение размеров магнитной системы
Размеры пакетов - ширина пластин и толщина
пакетов, мм, для магнитной системы с прессовкой стержней обмоткой /1, табл.
8.1а/
Так как диаметр стержня 380 мм то:
Число ступеней - 8,
Высота сегмента - 19 мм
Ширена крайнего пакета ярма - 215 мм.
Общая толщина пакетов в половине сечения стержня
Площадь сечения стержня:
ПФ.С = 419,3 см2
Площадь сечения ярма:
ПФ.Я = 425,6 см2
Активное сечение стержня:
ПC = kЗ · ПФ.С = 0,96 · 419,3 =
402,528 см2.
Активное сечение ярма:
ПЯ = kЗ · ПФ.Я = 0,96 · 425,6 =
408,576 м2.
Длина стержня:С = l+2*l0=
=55,16
где l0 по табл. 4.4
Расстояние между осями стержней
С = D''2 + a22 =
+ 10 = 55,86
см.
Масса стали ярма:Я = G'Я + G''Я
=595,87+123,8=719,7 кг
где
Масса стали стержней:
С = G'С + G''С = 510+ 26,8 = 536,8
кг,
где G'С = 3 · lС · ПС · γСТ = 3 ·
55,16 · 402,53 · 7650 ·10-6 = 510 кг;''С = 3 · (ПС · a1Я · γСТ - GУ) = 3
· (402,253 · 23 · 7650·10-6 - 61,9) = 26,8 кг.
Общая масса стали:
.2 Расчёт потерь холостого хода
Расчет выполняется по §8.2.
Индукция в стержне:
Тл
Индукция в ярме
Тл
Индукция на косом стыке:
Тл
Удельные потери для стали стержней,
ярм и стыков по табл. 8.9[1] для стали марки 330А
при
=
Тл,
,
при
=
Тл,
,
при
=
Тл,
,
На основании §8.2 и табл. 8.12[1]
принимаем:
Тогда потери холостого хода
составят:
Вт
Что на 0.94 % больше заданного
значения, но допустимо в пределах
.3 Расчет тока холостого хода
Расчет выполняется по §8.3.
По табл. 8.11[1] находим удельные
намагничивающие мощности:
при
=
Тл,
,
при
=
Тл,
,
при
=
Тл,
,
Для принятой конструкции магнитной
системы и технологии ее изготовления используем (8.43), в котором по §8.3 и
табл. 8.12 и 8.21[1] принимаем коэффициенты:Т.Р = 1,18;Т.З = 1,0;Т.ПЛ =
1,335;Т.Я = 1;Т.П = 1,05;Т.Ш = 1,04.
По табл. 8.20[1] находим
коэффициент:Т.У = 27,95
Тогда намагничивающая мощность
холостого хода составит:

Ток холостого хода:
%
Или
Активная составляющая тока холостого
хода:
Реактивная составляющая тока холостого
хода:
Что на ((0.8-0,54)/0.8)*100%=32,5%
ниже заданного значения.
5. Тепловой расчет трансформатора
.1. Тепловой расчет обмоток
Расчет выполняется по §9.5.
Внутренний перепад температуры обмотки НН по
(9.9):
где δ = 0,25 · 10-3
м - толщина изоляции провода на одну сторону; q - плотность теплового потока на
поверхности обмотки; λИЗ -
теплопроводность бумажной пропитанной маслом изоляции провода по табл. 9.1[1]:
Перепад температуры на поверхности
обмотки НН:
θО.М1 = k1 · k2 · k3 · 0,35 ·
q0,6 = 1 · 1,1 · 1,1 · 0,35 · 12000,6 = 29,81 °C,
где k1 = 1 - для естественного
масляного охлаждения;= 1,1 - для внутренней обмотки НН;= 0,96 - по таблице
9.3[1].
Перепад температуры на поверхности
обмотки ВН:
Перепад температуры на поверхности
обмотки ВН:
θО.М2 = 1 · 1 · 0,8 · 0,35 ·
50,30.6 = 2,938 °C,
где k1 = 1 - для естественного
масляного охлаждения;= 1 - для наружной обмотки ВН;= 1 - при отсутствии канала.
Полный средний перепад температуры
от обмотки НН к маслу:
θО.М.СР1 = θО1 + θО.М1 =
1.765+ 29,81 = 31,6 °C.
Полный средний перепад температуры
от обмотки ВН к маслу:
θО.М.СР2 = θО2 + θО.М2 = 0,074
+ 2,938 = 3.012 °C.
.2 Тепловой расчет бака
Минимальная ширина бака:
B = D''2 +
(s1 + s2 + d2 + s3 + s4 + d1) · 10-3.
Изоляционные
расстояния:= 20 мм = 17 мм = 25 мм = 33 мм =20 мм - диаметр изолированного
отвода обмотки ВН=20 мм - диаметр изолированного отвода от обмотки НН
Ширина
бака:
=
45,86 + (20 + 17 + 10 + 25 + 33 + 20) = 58,4 см.
Принимаем
B = 0,584 м при центральном положении активной части трансформатора в баке.
Длина
бака:
A = 2 · C + B = 2 · 45,86 + 58,4= 1635 см.
Высота активной части:
Принимаем расстояние от верхнего
ярма до крышки бака при горизонтальном расположении над ярмом переключателя
ответвлений обмотки ВН по табл. 9.5[1]:И.К = 160 мм = 16 см.
Глубина бака:Б = НА.Ч + HИ.К = 96,2
+ 16 = 1122 см.
Допустимое превышение средней
температуры масла над температурой окружающего воздуха для наиболее нагретой
обмотки НН:
θМ.В = 65 - 31,6 ≈ 33,4
°C.
Найденное среднее превышение может
быть допущено, так как превышение температуры масла в верхних слоях в этом
случае будет:
θМ.В.В = 1,2 · θМ.В = 1,2 ·
33,4 = 40,1 °C < 60 °C.
Принимая предварительно перепад
температуры на внутренней поверхности стенки бака θМ.Б = 5 °C и
запас 2 °C, находим среднее превышение температуры наружной стенки бака над
температурой воздуха:
θБ.В = θМ.В - θМ.Б = 40 - 5
- 2 = 33 °C.
Для развития должной поверхности
охлаждения целесообразно использовать радиаторы с прямыми трубами по рис.
9.17[1] c расстоянием между осями фланцев АР = 900 мм (табл. 9.10[1]), с
поверхностью труб ПТР = 2,733 м2 и двух коллекторов ПК.К = 0,66 м2. Для
установки этих радиаторов глубина бака должна быть принята:Б = AР + с1 + с2 =
0,9 + 0,085 + 0,1 = 1,085 м,
где с1 и с2 - расстояния осей
фланцев радиатора от нижнего и верхнего срезов стенки бака по табл. 9.10[1].
Ориентировочная поверхность
излучения бака с радиаторами по (9.35):
ПИ = 2 · (А+В)Н*к*10-4= 7,47 м2.
Для выбранного размера бака
рассчитываем поверхность конвекции гладкой стенки бака:
ПК.ГЛ
= HБ
· [2 · (A - B) + π
· B] = 1,122 · [2 · (1,635 -0,584) + π ·
0,584]*10-4 = 4,405 м2.
Ориентировочная необходимая
поверхность конвекции для заданного значения θБ.В = 38 °C
по (9.30):
м2
Поверхность крышки бака:
м2
где 0,16 - удвоенная ширина верхней
рамы бака, м; коэффициент 0,5 учитывает закрытие поверхности крышки вводами и
арматурой.
Поверхность конвекции радиаторов:
∑ПК.Р = 42.9624 - 4,405-0,44 =
38,5574 м2.
=
Необходимое число радиаторов 10
Поверхность конвекции бака:
ПК = ∑ПК.Р + ПК.ГЛ + ПК.КР =
42,685 м2.
Поверхность излучения:
ПИ = 7,47 м2.
Среднее превышение температуры
наружной поверхности стенки бака над температурой воздуха по (9.49):
Среднее превышение температуры масла
вблизи стенки над температурой внутренней поверхности стенки бака по (9.50):
где
Превышение средней температуры масла
над температурой воздуха:
θМ.В = θМ.Б + θБ.В = 5.75 +
40.4 = 46.15 °C.
Превышение температуры масла в
верхних слоях над температурой воздуха:
θМ.В.В = k · θМ.В = 1,2 ·
46.15 = 55.4 °C < 60 °C.
Превышение средней температуры
обмотки НН над температурой воздуха:
θО.В1 = 0,2 + 7,3 + 46,15 =
53,7 °C < 65 °C.
Превышение средней температуры
обмотки ВН над температурой воздуха:
θО.В2 = 0,05 + 3 + 46,15 = 49
°C < 65 °C.
Превышения температуры масла в
верхних слоях θМ.В.В <
60 °C и обмоток θО.В < 65
°C лежат в пределах допустимого нагрева по ГОСТ 11677-85.
6. Сопоставление технико-экономических
показателей серийного и проектируемого трансформаторов
Таблица 9- Сравнительная таблица показателей
|
Показатель
|
Проектируемый
трансформатор (по расчету)
|
Серийный
трансформатор (по заданию)
|
Отклонение
от заданного значения в %
|
|
Потери
короткого замыкания Pk, Вт
|
11020
|
10500
|
+4,95%
|
±5%
|
|
Напряжение
короткого замыкания uk, %
|
6,402
|
6
|
+6,7%
|
±10%
|
|
Потери
холостого хода P0, Вт
|
1716
|
1700
|
+0,94
%
|
±7,5%
|
|
Ток
холостого хода i0, %
|
0,96
|
1,3
|
-26%
|
±30%
|
Список литературы
1.
П. М. Тихомиров. Расчет трансформаторов: Учеб. пособие для вузов. М.:
"Энергоатомиздат", 1986.
.
А. М. Дымков. Расчет и конструирование трансформаторов. Учебник для техникумов.
"Высшая школа", 1971.
.
В. Е. Китаев. Трансформаторы. "Высшая школа", 1967.
.
А. В. Сапожников. Конструирование трансформаторов. Госэнергоиздат, 1956.
.
М. М. Кацман. Электрические машины и трансформаторы. "Высшая школа",
1971.
.
М. П. Костенко и Л. М. Пиотровский. Электрические машины. "Энергия",
1964.
.
А. М. Голунов. Охлаждающие устройства масляных трансформаторов.
"Энергия", 1964.
.
В. В. Порудоминский. Трансформаторы с переключением под нагрузкой. "Энергия",
1965.
.
П. М. Тихомиров. Расчет трансформаторов для дуговых электрических печей.
Госэнергоиздат, 1959.
.
Е. А. Каганович. Испытание трансформаторов малой и средней мощности на
напряжение до 35 кв включительно. "Энергия", 1969.
.
В. П. Шуйский. Расчет электрических машин. "Энергия", 1968.