Анализ и синтез линейных автоматических систем регулирования

  • Вид работы:
    Курсовая работа (т)
  • Предмет:
    Другое
  • Язык:
    Русский
    ,
    Формат файла:
    MS Word
    1,2 Мб
  • Опубликовано:
    2013-10-14
Вы можете узнать стоимость помощи в написании студенческой работы.
Помощь в написании работы, которую точно примут!

Анализ и синтез линейных автоматических систем регулирования

Федеральное государственное бюджетное образовательное учреждение высшего профессионального образования

«Ивановский государственный энергетический университет имени В.И. Ленина»

Кафедра систем управления







«Анализ и синтез линейных автоматических систем регулирования»

Дисциплина: Теория автоматического управления


Выполнил:

Студент группы 3-43 хх

Курмашев Е.А.

Проверил: Наумов Ю.В.




Иваново 2012

Содержание работы

Введение

Исходные данные

. Анализ временных характеристик

.1 Первый канал "вход-выход"

.1.1 Импульсная характеристика

.1.2 Переходная характеристика

.1.3 Определение времени затухания

.2 Второй канал "вход-выход"

.2.1 Импульсная характеристика

.2.2 Переходная характеристика

.2.3 Определение времени затухания

.3 Третий канал "вход-выход"

.3.1 Импульсная характеристика

.3.2 Переходная характеристика

.3.3 Определение времени затухания

. Анализ частотных характеристик

.1 Первый канал "вход-выход"

.1.1 Комплексная частотная характеристика

.1.2 Амплитудная частотная характеристика

.1.3 Фазовая частотная характеристика

.1.4 Определение ωπ

2.1.5 Определение условной частоты среза

.2 Второй канал "вход-выход"

.2.1 Комплексная частотная характеристика

.2.2 Амплитудная частотная характеристика

.2.3 Фазовая частотная характеристика

.2.4 Определение ωπ

2.2.5 Определение условной частоты среза

.3 Третий канал "вход-выход"

.3.1 Комплексная частотная характеристика

.3.2 Амплитудная частотная характеристика

.3.3 Фазовая частотная характеристика

.3.4 Определение ωπ

2.3.5 Определение условной частоты среза

. Параметрический синтез одноконтурной АСР

.1 Составление расчетной схемы АСР

.2 Расчет нормальной КЧХ ОУ (при использовании метода МАЧХ замкнутой системы)

.2.1 Определение коэффициента усиления для П-регулятора

.2.2 Определение коэффициента усиления для ПИ-регулятора

.2.3 Определение коэффициента усиления для ПИД-регулятора

.2.4 Определение оптимальных параметров настройки П-регулятора

.2.5 Определение оптимальных параметров настройки ПИ-регулятора

.2.6 Определение оптимальных параметров настройки ПИД-регулятора

.3 Анализ показателей качества АСР в синтезированной замкнутой системе (при оптимальных параметрах настройки АСР)

.3.1 Анализ показателей качества АСР в синтезированной замкнутой системе с П-регулятором

.3.2 Анализ показателей качества АСР в синтезированной замкнутой системе с ПИ-регулятором

.3.3 Анализ показателей качества АСР в синтезированной замкнутой системе с ПИД-регулятором

. Параметрический синтез двухконтурной АСР с дифференциатором

.1 Составление расчетной схемы двухконтурной АСР с дифференциатором (с опережающим «скоростным» сигналом)

.1.1 Параметрический синтез АСР «внутреннего» контура

.1.2 Параметрический синтез АСР «внешнего» контура

.1.3 Уточнение значение коэффициента усиления регулятора “внутреннего” контура

.1.4 Оценка корректности применяемой приближенной методики

.1.5 Анализ переходных процессов двухконтурной АСР с дифференциатором

. Анализ влияния фактора нестационарности динамических характеристик объекта на показатели качества автоматического регулирования

.1 Построение области заданного запаса устойчивости ПИ-регулятора для “нижней” границы нестационарности

.1.1 Определение коэффициента усиления

.2 Построение области заданного запаса устойчивости ПИ-регулятора для “верхней” границы нестационарности

.2.1 Определение коэффициента усиления

.3 Построение области “компромиссных” параметров настройки АСР

.4 Определение оптимальных параметров «компромиссной» настройки ПИ-регулятора

.6 Анализ показателей качества АСР с ПИ - регулятором (при С= Сопт)

Заключение

Список используемой литературы

Введение

В данном курсовом проекте необходимо решить следующие задачи:

.        Провести анализ динамических характеристик заданного объекта управления;

.        Выполнить параметрическую оптимизацию базовой одноконтурной АСР с использованием метода максимума АЧХ расчета области требуемого запаса устойчивости замкнутой системы;

.        Выполнить анализ показателей качества автоматического регулирования для одноконтурной АСР с оптимальными параметрами настройки П, ПИ и ПИД регуляторов;

.        Провести параметрическую оптимизацию двухконтурной АСР с дифференциатором;

.        Выполнить анализ влияния фактора нестационарности  динамических характеристик объекта управления на устойчивость АСР и показатели качества АР для базовой одноконтурной АСР.

Исходные данные

Исходными данными для выполнения курсовой работы служат:

·      модель объекта управления (ОУ):


·      расчетная структура базовой одноконтурной АСР:


·      расчетная структура двухконтурной АСР с дифференциатором:


·      требования к запасу устойчивости АСР:

·      минимизируемый критерий оптимальности АСР:

·      модель нестационарности динамических характеристик ОУ:

. Анализ временных характеристик

 

1.1 Первый канал "вход-выход"

 

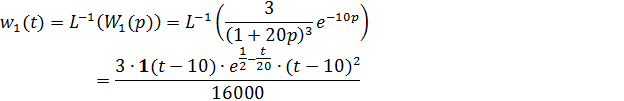
1.1.1. Импульсная характеристика

Выведем аналитическое выражение для импульсной характеристики объекта управления, на основе соотношения


где  есть обратное преобразование Лапласа.

 


Построим с помощью программы Mathcad график импульсной характеристики (Рис. 1.1.).

.1.2 Переходная характеристика

Выведем аналитическое выражение для переходной характеристики объекта управления, на основе соотношения

 

Построим с помощью программы Mathcad график переходной характеристики (Рис. 1.2.).

Объект апериодического типа, так как его переходная характеристика стремится к некоторому конечному значению, а импульсная к нулю.

1.1.3 Определение времени затухания

Оценим время затухания по условию


где  - установившееся значение переходной характеристики.

  

где ∆- зона нечувствительности.

Для нахождения времени затухания воспользуемся функцией root программы Mathcad.



Время затухания .

 

1.2 Второй канал "вход-выход"

1.2.1 Импульсная характеристика

Построим с помощью программы Mathcad график импульсной характеристики (Рис. 1.4.).

.2.2 Переходная характеристика


Построим с помощью программы Mathcad график переходной характеристики (Рис. 1.5.).

Объект является апериодического типа, так как его переходная характеристика стремится к некоторому конечному значению, а импульсная к нулю.

 

1.2.3 Определение времени затухания

 

Оценим время затухания:





Время затухания .

1.3 Третий канал "вход-выход"

.3.1 Импульсная характеристика

 


Построим с помощью программы Mathcad график импульсной характеристики (Рис. 1.7.).

 

1.3.2 Переходная характеристика

 


Построим с помощью программы Mathcad график переходной характеристики (Рис. 1.8.).

Объект апериодического типа, так как его переходная характеристика стремится к некоторому конечному значению, а импульсная к нулю

1.3.3 Определение времени затухания

 

Оценим время затухания:




Время затухания .

Вывод: в первой части курсовой работы были построены временные характеристики объектов управления и выполнен их анализ. Первый объект оказался апериодического типа, для него было определено время затухания переходной характеристики:  .

Второй объект - апериодический, время затухания переходной характеристики:  .

Третий объект - апериодический, время затухания переходной характеристики: .

. Анализ частотных характеристик

 

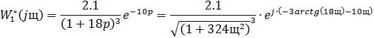
2.1 Первый канал "вход-выход"

 

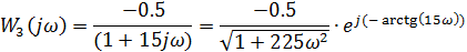
2.1.1 Комплексная частотная характеристика

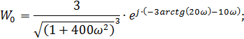
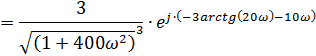
Выведем аналитическое выражение для вычисления КЧХ по передаточной  функции путем замены p=jω и представим полученную КЧХ в экспоненциальной форме:

 


Построим годограф КЧХ по первому каналу «вход-выход» (Рис. 2.1.), на годографе указаны характерные частоты  которые будут вычислены ниже:

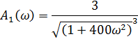
2.1.2 Амплитудная частотная характеристика

Из КЧХ первого объекта, записанной в экспоненциальной форме, находим:


График АЧХ представлен на рисунке 2.2.

2.1.3 Фазовая частотная характеристика

Из КЧХ объекта, записанной в экспоненциальной форме, находим:


График ФЧХ представлен на рисунке 2.3.

2.1.4 Определение

 

Для определения   необходимо решить уравнение


Для определения корня этого уравнения воспользуемся программой Mathcad.

Определим частоту пересечения годографом КЧХ отрицательной действительной полуоси.


где F1(w) - ФЧХ первого ОУ.  Пределы 0.05 и 0.06 определены графически  (Рис.2.3.)

Таким образом,

Так же определим дополнительную частоту




Пределы 0.1 и 0.15 определены графически (Рис.2.3.)

Таким образом,

 

2.1.5 Определение условной частоты среза

«Условная» частота среза определяется по условию


где - предельно малое значение АЧХ ОУ (Рис2.2.)

Практически значение  оценивается по передаточной функции


Для апериодических объектов следующим образом:


где  - коэффициент усиления объекта

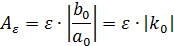
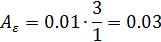
При расчете характеристик зададим ε=0,01

Найдем  с помощью встроенной функции root в программе Mathcad


где А1(w) - АЧХ первого ОУ. Диапазон расчетных частот 0.1 и 0.5 определен графически (Рис .2.2.)

Таким образом,

2.2 Второй канал "вход-выход"

 

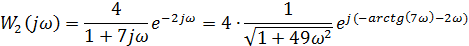
2.2.1 Комплексная частотная характеристика

 


Построим годограф КЧХ по второму каналу «вход-выход» (Рис. 2.4.).

 

2.2.2 Амплитудная частотная характеристика

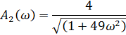
Из КЧХ второго объекта, записанной в экспоненциальной форме, находим:


График АЧХ представлен на рисунке 2.5.

2.2.3 Фазовая частотная характеристика

Из КЧХ второго объекта, записанной в экспоненциальной форме, находим:


График ФЧХ представлен на рисунке 2.6.

2.2.4 Определение

Для определения   необходимо решить уравнение

Для определения корня этого уравнения воспользуемся программой Mathcad.


где F2(w) - ФЧХ второго ОУ.  Пределы 0.8 и 0.9 определены графически  (Рис.2.6.)

Таким образом,

Так же определим дополнительную частоту


Пределы 1.6 и 1.8 определены графически (Рис.2.6.)

Таким образом,

2.2.5 Определение условной частоты среза

Для апериодического объекта  оценим  :


где  - коэффициент усиления объекта, - предельно малое значение АЧХ ОУ (Рис.2.5.), ε=0,01.

Найдем  с помощью встроенной функции root в программе Mathcad

Найдем условную частоту среза:


где А2(w) - АЧХ второго ОУ. Диапазон расчетных частот 10 и 15 определен графически (Рис .2.5.)

Таким образом,

2.3.Третий канал "вход-выход"

2.3.1 Комплексная частотная характеристика


При анализе частотных характеристик рекомендуется исключать влияние знака «минус» в передаточных функциях.

Построим КЧХ для инвертируемого звена (Рис.2.7.) 

 

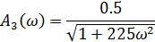
2.3.2 Амплитудная частотная характеристика

Из КЧХ третьего объекта, записанной в экспоненциальной форме, находим:


Построим график АЧХ (Рис.2.8.):

2.3.3 Фазовая частотная характеристика

Из КЧХ третьего объекта, записанной в экспоненциальной форме, находим:

Построим график ФЧХ (Рис.2.9.):

2.3.4 Определение

Т.к. график ФЧХ не пересекает прямую  (Рис.2.9.), то и годограф КЧХ не пересекает отрицательную действительную полуось (Рис.2.7.), поэтому принимаем .

 

2.3.5 Определение условной частоты среза

Для апериодического объекта  оценим  :


где  - коэффициент усиления объекта, - предельно малое значение АЧХ ОУ (Рис.2.8.), ε=0,01.

Найдем  с помощью встроенной функции root в программе Mathcad

Найдем условную частоту среза:


где А3(w) - АЧХ третьего ОУ. Диапазон расчетных частот 5 и 10 определен графически (Рис .2.8.)

Таким образом,

Вывод: во второй части курсовой работы были получены формулы КЧХ, АЧХ, ФЧХ и проведен их анализ. Для каждого канала определены   и «условная частота среза» .

Первый канал:  ,  

Второй канал:  ,  

Третий канал:   

3. Параметрический синтез одноконтурной АСР

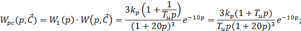
3.1 Составление расчетной схемы АСР

 

Рис. 3.1. Структура модели односвязного ТОУ с основным и опережающим каналами () и внешним возмущением

Главным каналом является первый канал с передаточной функцией объекта:



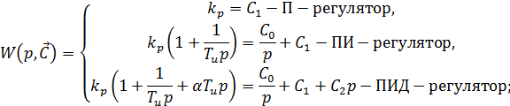
Возможные типы регуляторов:


При  передаточная функция разомкнутой системы равна:


При  передаточная функция разомкнутой системы равна:


При  передаточная функция разомкнутой системы равна:

 

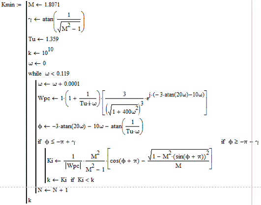
3.2 Расчет нормальной КЧХ ОУ (при использовании метода МАЧХ замкнутой системы)

 

По заданной степени затухания   определим значение частотного показателя колебательности по таблице зависимости между ними: 

3.2.1 Определение коэффициента усиления для П-регулятора

Рассчитаем расстояния , показанные на рисунке 3.2:


Расстояние  определяет центр окружности, а её радиус.

Определим коэффициент усиления для П - регулятора по алгоритму изображенному на рис. 3.3.


По этому же алгоритму, меняя выходной параметр, находим частоту, при которой коэффициент усиления принимает  минимальное допустимое значение:


Убедимся в правильности выбора коэффициента усиления. Для этого построим КЧХ разомкнутой системы и окружность (Рис 3.4.), радиус и центр которой были рассчитаны выше.

КЧХ разомкнутой системы касается окружности, значит, коэффициент усиления

П - регулятора определен правильно.

3.2.2 Определение коэффициента усиления для ПИ-регулятора

Определим коэффициент усиления ПИ - регулятора по алгоритму, изображенному на рисунке 3.3. Будем искать коэффициент усиления в диапазоне частот от  до .




По этому же алгоритму, меняя выходной параметр, находим частоту, при которой коэффициент усиления принимает  минимальное допустимое значение:


Убедимся в правильности выбора коэффициента усиления. Для этого построим КЧХ разомкнутой системы и окружность (Рис 3.5.), радиус и центр которой были рассчитаны в начале пункта 3.2.1. 

КЧХ разомкнутой системы касается окружности, значит, коэффициент усиления ПИ - регулятора определен правильно.

Определим коэффициент усиления ПИ - регулятора при разных значениях

Таблица 3.1. Коэффициент усиления ПИ - регулятора

Коэффициент усиления ПИ - регулятора

Частота

1.359

0.007217

0.0169

6.795

0.04

0.18

13.69

0.093

0.021

27.18

0.233

0.027

67.95

0.484

0.04

135.9

0.575

0.045

271.8

0.616

0.047

679.5

0.639

1359

0.647

0.0484


Построим область заданного запаса устойчивости для ПИ-регулятора (рис 3.6.):

 

3.2.3 Определение коэффициента усиления для ПИД-регулятора

Определим коэффициент усиления ПИД - регулятора по алгоритму, изображенному на рисунке 3.3. Будем искать коэффициент усиления в диапазоне частот от  до .



По этому же алгоритму, меняя выходной параметр, находим частоту, при которой коэффициент усиления принимает  минимальное допустимое значение:



Убедимся в правильности выбора коэффициента усиления. Для этого построим КЧХ разомкнутой системы и окружность (Рис 3.7.), радиус и центр которой были рассчитаны в начале пункта 3.2.1.

КЧХ разомкнутой системы касается окружности, значит, коэффициент усиления ПИД - регулятора определён правильно.

Определим коэффициент усиления ПИД - регулятора при различных значениях

Таблица 3.2. Коэффициент усиления ПИД - регулятора

α

Коэффициент усиления ПИД - регулятора

Частота

0.5

1.359

0.0072188

0.0169


6.795

0.0408

0.0184


13.69

0.09837

0.0206


27.18

0.37966

0.0298


67.95

0.66183

0.0883


135.9

0.3707

0.0966


271.8

0.19487

0.1004


679.5

0.08021

0.1025


1359

0.04048

0.1032

1

1.359

0.00722076

0.0169


6.795

0.04117

0.0183


13.69

0.104

0.0206


27.18

0.81862

0.08815


67.95

0.37455

0.0967


135.9

0.19537

0.1004


271.8

0.09986

0.1022


679.5

0.04049

0.1032


1359

0.02034

0.1036

1.5

1.359

0.00722272

0.0169


6.795

0.04155

0.0183


13.69

0.11043

0.0205


27.18

0.60866

0.0911


67.95

0.25796

0.0992


135.9

0.13231

0.1016


271.8

0.06709

0.1028


679.5

0.02707

0.1035


1359

0.01358

0.1037

2

1.359

0.0078224688

0.0169


6.795

0.04193

0.0183


13.69

0.1177889

0.0205


27.18

0.47414

0.0949


67.95

0.19637

0.1004


135.9

0.09998

0.1022


271.8

0.05051

0.103


679.5

0.02034

0.1036


1359

0.01019

0.1037


Построим область заданного запаса устойчивости для ПИ-регулятора (рис 3.8. - 3.11.):

.2.4 Определение оптимальных параметров настройки П-регулятора

Для П - регулятора рассчитывается единственное значение коэффициента усиления, оно и будет оптимальным:

3.2.5 Определение оптимальных параметров настройки ПИ-регулятора

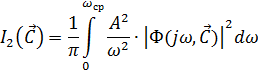
Оптимизацию АСР с ПИ - регулятором выполним на основе интегрально-квадратичного критерия . При использовании интегрально-квадратичного критерия (ИКК) точка оптимума определяется аналитически на основе соотношения:


где Ф(р) - передаточная функция замкнутой АСР по каналу действия возмущения регулирующим органом.


где

Рассчитаем интегрально-квадратичный критерий для параметров настройки ПИ-регулятора и занесем его в таблицу 3.3. Для расчета воспользуемся программой MathCad.

Пример расчета:



Таблица 3.3. Интегрально-квадратичный критерий для системы с  ПИ - регулятором

i

1

0.007217

0.00531052

1.359

0.0169

549.45

2

0.04

0.00588668

6.795

0.18

466.949

3

0.093

0.00684327

13.69

0.021

972.715

4

0.233

0.00857248

27.18

0.027

236.676

5

0.484

0.00712288

67.95

0.04

149.059

6

0.575

0.00423105

135.9

0.045

176.299

7

0.616

0.00226637

271.8

0.047

272.066

8

0.639

0.000940397

679.5

0.048

583.129

9

0.647

0.00076085

1359

0.0484

1107


Оптимальными настройками ПИ - регулятора являются те, при которых интегрально-квадратичный критерий минимален. Таким образом, оптимальными настройками ПИ - регулятора являются:


3.2.6 Определение оптимальных параметров настройки ПИД-регулятора

Оптимизацию АСР с ПИД - регулятором выполним на основе интегрально-квадратичного критерия . При использовании интегрально-квадратичного критерия (ИКК) точка оптимума определяется аналитически на основе соотношения:


где Ф(р) - передаточная функция замкнутой АСР по каналу действия возмущения.

Рассчитаем интегрально-квадратичный критерий для параметров настройки ПИ-регулятора и занесем его в таблицу 3.4. Для расчета воспользуемся программой MathCad.

Пример расчета:










Таблица 3.4. Интегральный квадратичный критерий ПИД - регулятором

1

0.0072188

0.00531185

1.359

0.5

0.0169

549.303

2

0.0408

0.00600442

6.795


0.0184

461.905

3

0.09837

0.00723841

13.69


0.0206

352.119

4

0.37966

0.01397

27.18


0.0298

126.585

5

0.66183

0.00973996

67.95


0.0883

63.895

6

0.3707

0.00272774

135.9


0.0966

277.694

7

0.19487

0.000716961

271.8


0.1004

1347

8

0.08021

0.000118043

679.5


0.1025

1028

9

0.04048

0.000029786

1359


0.1032

4495

10

0.00722076

0.00531329

1.359

1

0.0169

549.155

11

0.04117

0.00605887

6.795


0.0183

457.65

12

0.104

0.00765269

13.69


0.0206

331.3

13

0.81862

0.03012

27.18

0.08815

30.113

14

0.37455

0.00551214

67.95


0.0967

146.24

15

0.19537

0.0014375

135.9


0.1004

684.912

16

0.09986

0.000367403

271.8


0.1022

3179

17

0.04049

0.0000595879

679.5


0.1032

2249

18

0.02034

0.0000149669

1359


0.1036

9451

19

0.00722272

1.359

1.5

0.0169

549.007

20

0.04155

0.00611479

6.795


0.0183

453.377

21

0.11043

0.00812583

13.69


0.0205

309.786

22

0.60866

0.02239

27.18


0.0911

39.88

23

0.25796

0.00379632

67.95


0.0992

246.297

24

0.13231

0.000973584

135.9


0.1016

1136

25

0.06709

0.000246836

271.8


0.1028

5102

26

0.02707

0.0000398381

679.5


0.1035

3488

27

0.01358

0.000009992

1359


0.1037

1443

28

0.0078224688

0.0053167

1.359

2

0.0169

548.859

29

0.04193

0.00617071

6.795


0.0183

449.106

30

0.1177889

0.00867476

13.69


0.0205

287.459

31

0.47414

0.01744

27.18


0.0949

54.042

32

0.19637

0.00288992

67.95


0.1004

354.563

33

0.09998

0.000735688

135.9


0.1022

1606

34

0.05051

0.000185835

271.8


0.103

7056

35

0.02034

0.0000299338

679.5


0.1036

4728

36

0.01019

0.000007498

1359


0.1037

1942


Оптимальными настройками ПИД - регулятора являются те, при которых интегрально-квадратичный критерий минимален. Таким образом, оптимальными настройками ПИД - регулятора являются:

 .

автоматический регулирование одноконтурный оптимизация

 

3.3 Анализ показателей качества АСР в синтезированной замкнутой системе (при оптимальных параметрах настройки АСР)

 

3.3.1 Анализ показателей качества АСР в синтезированной замкнутой системе с П-регулятором

С помощью VisSim соберем модель замкнутой системы объекта управления с П-регулятором (Рис  3.12.):

Найдем реакцию системы на единичное ступенчатое воздействие по каналу «задания - регулируемая координата y(t)» (рис. 3.13):

По графику переходной характеристики (рис.3.13) определим:

) Статическую ошибку регулирования:


) Динамическую ошибку регулирования:


) Степень затухания переходного процесса:


) Время регулирования:


) Время полувыбега:


) Линейный интегральный критерий:

 

) Квадратичный интегральный критерий:


Найдем реакцию системы на единичное ступенчатое воздействие по каналу «внутреннего возмущения γ(t) - регулируемая координата y(t)» (рис. 3.14).

По графику переходной характеристики (рис.3.14) определим:

) Статическую ошибку регулирования:


) Динамическую ошибку регулирования:


) Степень затухания переходного процесса:


) Время регулирования:


) Время полувыбега:


) Линейный интегральный критерий:

 

) Квадратичный интегральный критерий:

 

Найдем реакцию системы на единичное ступенчатое воздействие по каналу «внешнего возмущения λ(t) - регулируемая координата y(t)» (рис. 3.15).

По графику переходной характеристики (рис.3.15) определим:

) Линейный интегральный критерий:

 

) Квадратичный интегральный критерий:


3.3.2 Анализ показателей качества АСР в синтезированной замкнутой системе с ПИ-регулятором

С помощью VisSim соберем модель замкнутой системы объекта управления с ПИ-регулятором (Рис  3.16.):

С помощью VisSim найдем реакцию системы на единичное ступенчатое воздействие по каналу «задания  - регулируемая координата y(t)» (рис. 3.17).

По графику переходной характеристики (рис.3.17) определим:

) Статическую ошибку регулирования:


) Динамическую ошибку регулирования:


) Степень затухания переходного процесса:


) Время регулирования:

 

5) Время полувыбега:

 

) Линейный интегральный критерий:

 

) Квадратичный интегральный критерий:


Найдем реакцию системы на единичное ступенчатое воздействие по каналу «внутреннего возмущения γ(t) - регулируемая координата y(t)» (рис. 3.18).

По графику переходной характеристики (рис.3.18) определим:

) Статическую ошибку регулирования:


) Динамическую ошибку регулирования:


) Степень затухания переходного процесса:


) Время регулирования:

5) Время полувыбега:


) Линейный интегральный критерий:

 

) Квадратичный интегральный критерий:


Найдем реакцию системы на единичное ступенчатое воздействие по каналу «внешнего возмущения λ(t) - регулируемая координата y(t)» .По графику переходной характеристики (рис.3.19) определим:

) Линейный интегральный критерий:

 

) Квадратичный интегральный критерий:


3.3.3 Анализ показателей качества АСР в синтезированной замкнутой системе с ПИД-регулятором

С помощью VisSim соберем модель замкнутой системы объекта управления с ПИД-регулятором (Рис  3.20.):

Найдем реакцию системы на единичное ступенчатое воздействие по каналу «задания  - регулируемая координата y(t)»  (рис. 3.21).

По графику переходной характеристики (рис. 3.21) определим:

) Статическую ошибку регулирования:


) Динамическую ошибку регулирования:


) Степень затухания переходного процесса:


) Время регулирования:

 

5) Время полувыбега:


) Линейный интегральный критерий:


) Квадратичный интегральный критерий:

 

Найдем реакцию системы на единичное ступенчатое воздействие по каналу «внутреннего возмущения γ(t) - регулируемая координата y(t)» (рис. 3.22).

По графику переходной характеристики (рис.3.22) определим:

) Статическую ошибку регулирования:


) Динамическую ошибку регулирования:


) Степень затухания переходного процесса:


) Время регулирования:


) Время полувыбега:


) Линейный интегральный критерий:

 

) Квадратичный интегральный критерий:


Найдем реакцию системы на единичное ступенчатое воздействие по каналу «внешнего возмущения λ(t) - регулируемая координата y(t)» (рис. .23).

По графику переходной характеристики (рис.3.23) определим:

) Линейный интегральный критерий:

 

) Квадратичный интегральный критерий:


Вывод: в третьей части курсовой работы был проведен параметрический синтез одноконтурной АСР.

4. Параметрический синтез двухконтурной АСР с дифференциатором

4.1 Составление расчетной схемы двухконтурной АСР с дифференциатором (с опережающим «скоростным» сигналом)

Эквивалентная расчетная схема двухконтурной АСР с дифференциатором, полученная на основе исходной структуры (см. рис. 4.1.) представлена на рис. 4.2. На схеме выделены два контура, предназначенные для решения различных задач: «внутренний» контур служит для подавления высокочастотных возмущений  (со стороны регулирующего органа); «внешний» контур - для подавления низкочастотных отклонений регулируемого параметра от заданного значения (внешнее возмущение ).

Обозначения:

 передаточные функции объекта управления;

передаточная функция регулятора;

 - передаточная функция дифференциатора;

 вектор параметров настройки регулятора;

 вектор параметров настройки дифференциатора.

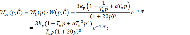
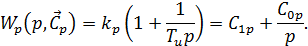
В качестве закона регулирования, реализуемого регулятора, примем стандартный ПИ - регулятор:


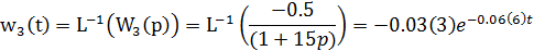
Дифференциатор реализуется в виде типового РД - звена с передаточной функцией

где

В результате задача параметрического синтеза может быть рассмотрена в общем виде как задача поиска "точки" оптимума в четырехмерном пространстве параметров настройки АСР, т.е. к поиску некоторого вектора оптимальных параметров


Параметрический синтез двухконтурной АСР с дифференциатором выполним по упрощенной методике и сведем к последовательному расчету двух одноконтурных АСР: АСР "внутреннего"  контура, который должен обеспечить в первую очередь наилучшую "отработку" внутренних возмущений γ АСР "внешнего" контура, который должен обеспечить наилучшую "отработку" внешних возмущений λ.

4.1.1 Параметрический синтез АСР «внутреннего» контура

В соответствии с применяемой упрощенной инженерной методикой параметрический синтез АСР "внутреннего" контура выполняется при разомкнутом "внешнем" контуре в предположении


В результате расчетная схема АСР "внутреннего" контура принимает вид одноконтурной системы (рис. 4.3).

Определение оптимальных параметров настройки регулятора проводится аналогично одноконтурной АСР (см. пп. 3.2.)

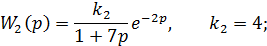
Определим коэффициент усиления ПИ - регулятора по алгоритму, изображенному на рисунке 3.3. Будем искать коэффициент усиления в диапазоне частот от  до .


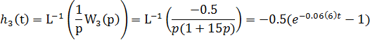
время затухания для передаточной функции W2(p)


По этому же алгоритму, меняя выходной параметр, находим частоту, при которой коэффициент усиления принимает  минимальное допустимое значение:


Убедимся в правильности выбора коэффициента усиления. Для этого построим КЧХ разомкнутой системы и окружность (Рис 4.4.), радиус и центр которой были рассчитаны в начале пункта 3.2.1.

КЧХ разомкнутой системы касается окружности, значит, коэффициент усиления ПИ - регулятора определен правильно.

Определим коэффициент усиления ПИ - регулятора при разных значениях

Таблица 4.1. Коэффициент усиления ПИ - регулятора

Коэффициент усиления ПИ - регулятора

Частота

0.2297

0.010695

0.1458

1.1485

0.0720794

0.174

2.297

0.2356393

0.2437

4.594

0.6620354

0.4987

11.485

0.8416007

0.6661

22.97

0.8822946

0.7057

45.94

0.9000998

0.7236

114.85

0.910052

0.7338

229.7

0.9132535

0.7371


Построим область заданного запаса устойчивости для ПИ-регулятора (рис 4.5.):

Оптимизацию расчетной АСР внутреннего контура с ПИ - регулятором выполним на основе интегрально-квадратичного критерия  :



Таблица 4.2. Интегрально-квадратичный критерий для системы с  ПИ - регулятором

i

1

0.010695

0.0465607

0.2297

0.1458

63.6956969

2

0.0720794

0.0627596

1.1485

0.174

40.9290292

3

0.2356393

0.1025857

2.297

0.2437

18.6843742

4

0.6620354

0.1441087

4.594

0.4987

7.0540507

5

0.8416007

0.0732782

11.485

0.6661

8.3122437

6

0.8822946

0.0384107

22.97

13.3109002

7

0.9000998

0.0195929

45.94

0.7236

23.8979206

8

0.910052

0.0079238

114.85

0.7338

56.0454572

9

0.9132535

0.0039759

229.7

0.7371

109.7418116


Оптимальными настройками для расчетной АСР внутреннего контура с ПИ - регулятором являются те, при которых интегрально-квадратичный критерий минимален. Таким образом, оптимальными настройками ПИ - регулятора являются:

С помощью VisSim соберем модель внутреннего контура  с  ПИ - регулятором (Рис  4.6.):

С помощью VisSim найдем реакцию системы на единичное ступенчатое воздействие по каналу «задания  - регулируемая координата z(t)» (рис. 4.7.).

Определим фактическую степень затухания переходной характеристики АСР «внутреннего» контура при единичном ступенчатом воздействии по каналу «задания - регулируемая координата z(t)»

 

4.1.2 Параметрический синтез АСР «внешнего» контура

Параметрический синтез АСР «внешнего» контура выполняется согласно расчетной схеме (рис. 4.8), составленной на основании общей схемы (рис. 4.2).

В данной схеме передаточная функция “эквивалентного” ПИ - регулятора имеет вид:


Для упрощения расчетов уберем звено запаздывания в передаточной функции . Передаточная функция эквивалентного объекта управления определяется с учетом результатов расчета параметров настройки регулятора во внутреннем контуре:





Определим коэффициент усиления регулятора эквивалентного по алгоритму, изображенному на рисунке 3.3. Будем искать коэффициент усиления и частоту, при которой коэффициент усиления принимает  минимальное допустимое значение в диапазоне частот от  до .








Убедимся в правильности выбора коэффициента усиления. Для этого построим КЧХ разомкнутой системы и окружность (Рис 4.9.), радиус и центр которой были рассчитаны в начале пункта 3.2.1.

КЧХ разомкнутой системы касается окружности, значит, коэффициент усиления регулятора эквивалентного определен правильно.

Определим коэффициент усиления регулятора эквивалентного при разных значениях

Таблица 4.3. Коэффициент усиления регулятора эквивалентного

Коэффициент усиления ПИ - регулятора

Частота

0.2297

0.0052954

0.018

1.1485

0.0270435

0.0183

2.297

0.0555566

0.0186

4.594

0.1173513

0.0193

11.485

0.3471741

0.022

22.97

0.9132972

0.0261


Построим область заданного запаса устойчивости для регулятора эквивалентного (рис 4.10.):

Оптимизацию расчетной АСР внутреннего контура с эквивалентным регулятором выполним на основе интегрально-квадратичного критерия :


Таблица 4.4. Интегрально-квадратичный критерий для системы с  эквивалентным  регулятором

i

1

0.0052954

0.0230534

0.2297

0.018

31.0180074

2

0.0270435

0.0235468

1.1485

0.0183

30.1025677

3

0.0555566

0.0241866

2.297

0.0186

28.9720015

4

0.1173513

0.0255445

4.594

0.0193

26.7613653

5

0.3471741

0.0302285

11.485

0.022

20.6392901

6

0.9132972

0.0397604

22.97

0.0261

12.7746189



Таким образом, оптимальными настройками эквивалентного  регулятора являются:

Рассчитаем оптимальные параметры дифференциатора:


С помощью VisSim соберем модель внутреннего контура  с  ПИ - регулятором (Рис  4.11.):

Найдем реакцию системы на единичное ступенчатое воздействие по каналу «задания  - регулируемая координата y(t)»  (рис. 4.12).

Определим фактическую степень затухания переходной характеристики АСР «внутреннего» контура при единичном ступенчатом воздействии по каналу «задания - регулируемая координата y(t)»


4.1.3 Уточнение значение коэффициента усиления регулятора “внутреннего” контура

Необходимо уточнить коэффициент усиления регулятора «внутреннего» контура, в предположении что , используя соотношение :

 

4.1.4 Оценка корректности применяемой приближенной методики

Сопоставим полученные значения оптимальных параметров настройки регулятора и дифференциатора (включая рабочие частоты  ) путем их сведения в единую таблицу:

Таблица 4.5. Значения оптимальных параметров настройки и значения рабочих частот регуляторов “внутреннего” и “внешнего” контуров

 


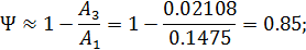
Т.к. выполняется соотношение , то этим подтверждается справедливость допущения о существенно различающейся динамике переходных процессов во «внутреннем» и «внешнем» контурах.

4.1.5 Анализ переходных процессов двухконтурной АСР с дифференциатором

Соберем модель двухконтурной АСР с дифференциатором (с опережающим «скоростным» сигналом) на основе параметрического синтеза «внутреннего» и «внешнего» контура (Рис  4.13.).:

Найдем реакцию системы на единичное ступенчатое воздействие по каналу «задания  - регулируемая координата y(t)» (рис. 4.14).

По графику переходной характеристики (рис.4.14) определим:

) Статическую ошибку регулирования:

 

) Динамическую ошибку регулирования:


) Степень затухания переходного процесса:


) Время регулирования:

 

) Время полувыбега:

 

) Линейный интегральный критерий:

 

) Квадратичный интегральный критерий:


Найдем реакцию системы на единичное ступенчатое воздействие по каналу «внутреннего возмущения γ(t) - регулируемая координата y(t)» (рис. 4.15).

По графику переходной характеристики (рис.4.15) определим:

1)  Статическую ошибку регулирования:


) Динамическую ошибку регулирования:


) Степень затухания переходного процесса:


) Время регулирования:


) Время полувыбега:


) Линейный интегральный критерий:

 

) Квадратичный интегральный критерий:


Найдем реакцию системы на единичное ступенчатое воздействие по каналу «внешнего возмущения λ(t) - регулируемая координата y(t)» .По графику переходной характеристики (рис.4.16) определим:

) Линейный интегральный критерий:

 

) Квадратичный интегральный критерий:

 

5. Анализ влияния фактора нестационарности динамических характеристик объекта на показатели качества автоматического регулирования

Для анализа влияния фактора изменения параметров ОУ на свойства “базовой” одноконтурной АСР задана следующая модель “нестационарности” объекта (рис. 5.1):

 

Исходя из данной модели передаточная функция объекта с учетом “нестационарности” изменяется следующим образом:

а) “Нижняя” граница нестационарности:


б) Номинальный расчетный режим:

в) “Верхняя” граница нестационарности:

 

5.1 Построение области заданного запаса устойчивости ПИ-регулятора для “нижней” границы нестационарности

Определим оптимальные параметры настройки ПИ-регулятора методом максимума АЧХ.

 

5.1.1 Определение коэффициента усиления

Выведем аналитическое выражение для вычисления КЧХ по передаточной  функции путем замены p=jω и представим полученную КЧХ в экспоненциальной форме:

 

 

Расстояния , показанные на рисунке 3.2, были рассчитаны в пункте 3.2.1.

Определим коэффициент усиления ПИ - регулятора по алгоритму, изображенному на рисунке 3.3. Будем искать коэффициент усиления в диапазоне частот от  до . Так как фаза не зависит от  , то и   не зависит от него. была определена в пункте 2.1.4.

Определим коэффициент усиления  для ПИ регулятора при разных значениях

Пример расчета в программе Mathcad:

 

 



По этому же алгоритму, меняя выходной параметр, находим частоту, при которой коэффициент усиления принимает  минимальное допустимое значение:


Убедимся в правильности выбора коэффициента усиления. Для этого построим КЧХ разомкнутой системы и окружность (Рис 5.2.), радиус и центр которой были рассчитаны в начале пункта 3.2.1.

КЧХ разомкнутой системы касается окружности, значит, коэффициент усиления ПИ - регулятора определен правильно.

Сведем коэффициента усиления в таблицу 5.1.

Таблица 5.1. Коэффициент усиления ПИ - регулятора для “нижней” границы нестационарности

Коэффициент усиления ПИ - регулятора

Частота

1.359

0.0112292

0.0186

6.795

0.0635148

0.0203

13.69

0.148089

0.0232

27.18

0.3636914

0.0309

67.95

0.6928622

0.0445

135.9

0.8029351

0.0491

271.8

0.8528407

0.0511

679.5

0.8809125

0.0523

1359

0.8899506

0.0527


Построим область заданного запаса устойчивости для ПИ-регулятора (рис 5.3.):

5.2 Построение области заданного запаса устойчивости ПИ-регулятора для “верхней” границы нестационарности

Определим оптимальные параметры настройки ПИ-регулятора методом максимума АЧХ.

 

5.2.1 Определение коэффициента усиления

Выведем аналитическое выражение для вычисления КЧХ по передаточной  функции путем замены p=jω и представим полученную КЧХ в экспоненциальной форме:

Аналогично пункту 5.1. определим значения коэффициентов усиления и сведем их в таблицу 5.2:

Таблица 5.2. Коэффициент усиления ПИ - регулятора для “верхней” границы нестационарности

Коэффициент усиления ПИ - регулятора

Частота

1.359

0.0051683

0.0144

6.795

0.0285251

0.0154

13.69

0.0647328

0.017

27.18

0.1618284

0.0213

67.95

0.3941023

0.0329

135.9

0.4929197

0.0378

271.8

0.5384754

0.04

679.5

0.564098

0.0413

1359

0.5723355

0.0417


Построим область заданного запаса устойчивости для ПИ-регулятора (рис 5.4.):

5.3 Построение области “компромиссных” параметров настройки АСР

 

Построим с помощью метода “замороженных” коэффициентов область “компромиссных” параметров настройки АСР как пересечения трех областей:


где  область заданного запаса устойчивости для “нижней” границы нестационарности,  область заданного запаса устойчивости для номинального расчетного режима,  область заданного запаса устойчивости для “верхней” границы нестационарности (Рис. 5.5.).

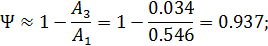
Как видно из рисунка 5.5. область “компромиссных” параметров настройки АСР совпадает с область заданного запаса устойчивости для “верхней” границы нестационарности:


5.4 Определение оптимальных параметров «компромиссной» настройки ПИ-регулятора

Оптимизацию АСР с ПИ - регулятором выполним на основе интегрально-квадратичного критерия . При использовании интегрально-квадратичного критерия (ИКК) точка оптимума определяется аналитически на основе соотношения (пример из MathCad):


Сведем полученные данные в таблицу  5.3:

Таблица 5.3. Интегрально-квадратичный критерий для системы с  «верхней» границей нестационарности и ПИ - регулятором

i

1

0.0051683

0.003803

1.359

0.0144

909.4136721

2

0.0285251

0.004198

6.795

0.0154

788.5428387

3

0.0647328

0.0047633

13.69

0.017

649.3398336

4

0.1618284

0.005954

27.18

0.0213

429.8233039

5

0.3941023

0.0057999

67.95

0.0329

235.1213537

6

0.4929197

0.0036271

135.9

0.0378

251.8517149

7

0.5384754

0.0019811

271.8

0.04

369.7486237

8

0.564098

679.5

0.0413

769.7506418

9

0.5723355

0.0004211

1359

0.0417

1449.0161545

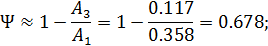
Таким образом, оптимальными параметрами “компромиссной” настройки для системы с  «верхней» границей нестационарности и ПИ - регулятором являются:


5.5 Анализ показателей качества АСР с ПИ - регулятором (при )

С помощью VisSim соберем модель для системы с  «нижней» границей нестационарности и ПИ - регулятором (Рис 5.6.):оберем модель для системы номинальным режимом работы и ПИ - регулятором (Рис. 5.7.):

Соберем модель для системы с  «верхней» границей нестационарности и ПИ - регулятором (Рис. 5.8.):

Найдем реакцию системы на единичное ступенчатое воздействие по каналу «задания  - регулируемая координата y(t)» (рис. 5.9).

По графику переходных  характеристик (Рис. 5.9.) определим показатели качества и занесем в таблицу 4.3:

Таблица 4.3. Показатели качества при компромиссных настройках ПИ-регулятора

Показатели качества

Нижняя граница нестационарности

Номинальный режим работы

Верхняя граница нестационарности

0

-

0.306

-

115.64

-

0.745

550 c

47.958

51.231


Найдем реакцию системы на единичное ступенчатое воздействие по каналу «внутреннего возмущения γ(t) - регулируемая координата y(t)» (рис. 5.10):

По графику переходных  характеристик (Рис. 5.10.) определим показатели качества и занесем в таблицу 4.4:

Таблица 4.4. Показатели качества при компромиссных настройках ПИ-регулятора

Показатели качества

Нижняя граница нестационарности

Номинальный режим работы

Верхняя граница нестационарности

0

1.8835

93.64 c

-

0.825

660 c

-172.244

235.174


5.6 Анализ показателей качества АСР с ПИ - регулятором (при )

Найдем реакцию системы на единичное ступенчатое воздействие по каналу «задания  - регулируемая координата y(t)» (рис. 5.12):

По графику переходных  характеристик (Рис. 5.12.) определим показатели качества и занесем в таблицу 4.5:

Таблица 4.5. Показатели качества при оптимальных настройках ПИ-регулятора

Показатели качества

Нижняя граница нестационарности

Номинальный режим работы

Верхняя граница нестационарности

0

-

0.273

0.4513

-

96.8 с

107.34 с

-

0.728

0.59

385 c

355 c

660 c

66.815

39.3414

46.762

43.572

44.029

57.0371



Найдем реакцию системы на единичное ступенчатое воздействие по каналу «внутреннего возмущения γ(t) - регулируемая координата y(t)» (рис. 5.13):

По графику переходных  характеристик (Рис. 5.13.) определим показатели качества и занесем в таблицу 4.6:

Таблица 4.6. Показатели качества при оптимальных настройках ПИ-регулятора

Показатели качества

Нижняя граница нестационарности

Номинальный режим работы

Верхняя граница нестационарности

0

1.2644

1.616

1.7727

80.12 c

80.73 c

89.94 c

0.816

0.789

0.723

500 c

444 c

750 c

-140.276

-139.63

103.777

149.105

203.858


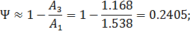
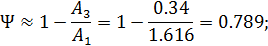
Вывод: в данной части был проведен анализ влияния фактора нестационарности на динамические характеристики объекта автоматического регулирования. Построены области заданного запаса устойчивости для «верхней» и «нижней» границы нестационарности и номинального режима работы. Найдены оптимальные параметры «компромиссной» настройки ПИ-регулятора и показатели качества для каждой из границ по каналу задания и внутренним возмущением. Динамическая ошибка  при  настройки  ПИ-регулятора при возмущении заданием ниже динамической ошибки при , но при внутреннем возмущении при  динамическая ошибка выше чем при . Время регулирования при  ниже при обоих возмущениях.

Заключение

В курсовой работе был проведен:

)        анализ временных характеристик:

первый объект является апериодического типа, для него было определено время затухания переходной характеристики: , второй объект - апериодический, время затухания переходной характеристики: , третий объект - апериодический, время затухания переходной характеристики:

)        анализ частотных характеристик:

для каждого канала определены  и условная частота среза:

Первый канал: ,  

Второй канал:   

Третий канал:   

3)      параметрический синтез одноконтурной АСР:

применение ПИ-регулятора в схеме регулирования дало наилучший результат, при П-регуляторе имеется большая статическая ошибка регулирования при внутреннем возмущении, чего не наблюдается при применении ПИ-регулятора, применение в схеме ПИД-регулятора не дает улучшения показателей качества. 

)        синтез двухконтурной  АСР с дифференциатором:

Т.к. выполняется соотношение , то этим подтверждается справедливость допущения о существенно различающейся динамике переходных процессов во «внутреннем» и «внешнем» контурах.

5)      анализ  влияния фактора нестационарности  на динамические характеристики автоматического регулирования:

Динамическая ошибка  при  настройки  ПИ-регулятора при возмущении заданием ниже динамической ошибки при , но при внутреннем возмущении при  динамическая ошибка выше чем при . Время регулирования при  ниже при обоих возмущениях.

Список используемой литературы

1.      Таламанов С.А. Анализ и синтез автоматических систем регулирования: учеб-метод. пособие / ГОУВПО «Ивановский государственный энергетический университет имени В.И. Ленина». - Иваново, 2010. - 44с.

.        Таламанов С.А., Никоноров А.Н. Практикум по теории автоматического управления. Часть 1. Анализ динамических систем: учебно-метод. пособие / ГОУВПО «Ивановский государственный энергетический университет имени В.И. Ленина». - Иваново, 2007. - 60с.

.        Ротач В.Я. Теория автоматического управления теплоэнергетическими процессами: Учебник для вузов. - М.: Энергоатомиздат, 2004. - 296 с.

.        Стефани Е.П. Основы расчета настройки регуляторов теплоэнергетических процессов. - М.: Энергия, 1972. - 376 с.

Похожие работы на - Анализ и синтез линейных автоматических систем регулирования

 

Не нашли материал для своей работы?
Поможем написать уникальную работу
Без плагиата!
Без нейросетей!