Идентификация объектов одноконтурных систем автоматического регулирования
МИНИСТЕРСТВО
ОБРАЗОВАНИЯ РЕСПУБЛИКИ БЕЛАРУСЬ
БЕЛОРУССКИЙ
НАЦИОНАЛЬНЫЙ ТЕХНИЧЕСКИЙ УНИВЕРСИТЕТ
Кафедра
«Тепловые электрические станции»
КУРСОВОЙ
ПРОЕКТ
по
дисциплине «Математические задачи энергетики»
на
тему:
«Идентификация
объектов одноконтурных САР»
Исполнитель:
студент гр.106621
Домостой И.В.
Руководитель:
д. т. н., проф.
Кулаков Г. Т.
Минск
2013г
Содержание
Введение
Постановка
задачи
Анализ
динамики исходных объектов регулирования
Расчёт
параметров оптимальной динамической настройки ПИ-регулятора по различным
методам
Расчёт
параметров оптимальной динамической настройки ПИД-регулятора по различным
методам
Таблица
исходных данных для моделирования САР по основным воздействиям для
ПИ-регулятора и ПИД-регулятора
Построение
переходных процессов замкнутой САР при основных воздействиях для различных
передаточных функций объекта и различных настроек ПИ-регулятора
Построение
переходных процессов замкнутой САР при основных воздействиях для различных
передаточных функций объекта и различных настроек ПИД-регулятора
Таблицы
прямых показателей качества
Расчёт
параметров оптимальной динамической настройки ПИ- регулятора по различным
методам
Таблицы
исходных данных для моделирования САР по основным воздействиям для ПИ-регулятора
Моделирование
переходных процессов в замкнутой САР при основных возмущениях с выводом на
печать основной регулируемой величины y(t) и регулирующего воздействия
(t)
Таблицы
прямых показателей качества
БНТУ-2
для ПИ-регулятора
Выводы
Литература
Введение
регулятор замкнутый автоматический
моделирование
Рассматриваемые методы предназначены для анализа
переходных процессов и качества линейных непрерывных систем автоматического
регулирования.
Задачи анализа и синтеза автоматических систем
регулирования с одним входом и выходом принципиально решены. Анализ переходных
процессов с математической точки зрения сводится к определению общего решения
неоднородного дифференциального уравнения, описывающего систему при заданных
начальных условиях и воздействиях, а также к анализу влияния изменения
параметров системы на вид этого решения. Такой анализ можно производить с
применением многих точных и приближенных методов. Однако их практическая
реализация, сопряжена с большим числом не сложных, но громоздких и кропотливых
расчетов, даже для простых САР. Они требуют вычисления корней, определения
постоянных интегрирования и построения кривой переходного процесса. В связи с
этим особое значение приобретают различные приближенные методы оценки процесса,
не требующие построения кривых переходных процессов. Поэтому в теории
регулирования анализ переходных процессов заменяют анализом качества,
заключающемся в оценке характеристик переходного процесса, называемых прямыми
показателями качества (времени переходного процесса, максимального и
статического отклонения и т.д. ), а также в установлении верхних границ для
этих показателей без непосредственного решения дифференциальных уравнений
системы.
Цель курсового проектирования:
Расчет параметров оптимальной динамической
настройки. Анализ переходных процессов замкнутой САР при основных воздействиях
(Хзд,f1,f2).
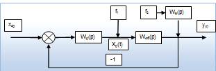
Постановка задачи
Схема 1: Одноконтурная САР в общем виде
(t) - основная регулируемая величина (выход
системы регулирования или выходная переменная);
- заданное
значение регулируемого параметра;
- передаточная
функция регулятора;
- передаточная
функция крайнего внешнего возмущения;
- внутреннее
возмущение;
- регулирующее
воздействие;
- крайнее внешнее
возмущение;
Исходные данные:оп.=4,0
;
Топ=17с;
Ким= 1,2;=90c;
σ 1=6c;
τ y = 70c;=3;
Расчёт параметров оптимальной динамической
настройки ПИ-регулятора по различным методам
Метод полной компенсации (МПК) в частном
виде:Объект с запаздыванием(
)
Исходные данные: 

Передаточные функции объекта и
регулятора представлены в виде: