Расчет и конструирование основных несущих конструкций стальной балочной площадки

  • Вид работы:
    Курсовая работа (т)
  • Предмет:
    Строительство
  • Язык:
    Русский
    ,
    Формат файла:
    MS Word
    862,89 Кб
  • Опубликовано:
    2017-01-03
Вы можете узнать стоимость помощи в написании студенческой работы.
Помощь в написании работы, которую точно примут!

Расчет и конструирование основных несущих конструкций стальной балочной площадки

Министерство образования и науки

ФГАОУ ВПО "Уральский Федеральный Университет имени первого Президента России Б.Н. Ельцина"

Кафедра строительных конструкций

Пояснительная записка к курсовому проекту

по курсу "Металлические конструкции"

Расчёт и конструирование основных несущих конструкций стальной балочной площадки

Содержание

1. Исходные данные

2. Компоновка балочной клетки

3. Расчет балки настила

3.1 Расчетная схема балки

3.2 Определение погонной нагрузки на балку настила

3.3 Определение максимальных внутренних усилий

3.4 Предварительный подбор сечения балки

3.5 Проверки подобранного сечения

3.5.1 Проверки по предельным состояниям I группы

3.5.2 Проверки по предельным состояниям II группы

4. Расчет главной балки

4.1 Составление расчетной схемы

4.2 Определение погонной нагрузки

4.3 Подбор и компоновка сечения главной балки

4.4 Проверки подобранного сечения главной балки

4.4.1 Проверки по I группе предельных состояний

5. Расчет колонны сплошного сечения

5.1 Составление расчётной схемы

5.2 Определение расчетных длин

5.3 Определение нагрузки, действующей на колонну

5.4 Предварительный подбор и компоновка сечения

5.5 Проверки подобранного сечения

6. Расчёт узлов

6.1 Опорный узел главной балки

6.2 Монтажный узел

6.3 Узел сопряжения главной балки и балки настила

6.4 База колонны

7. Расчёт траверсы

1. Исходные данные


1.   Конструкции пола и настила: керамическая плитка толщиной 30мм по цементной стяжке толщиной 20 мм, настил Железобетонный

2.       Конструкции покрытия: кровельные сэндвич панели с толщиной утеплителя 90 мм

.        Полезная нормативная нагрузка на перекрытие этажа pн = 19,5 кН/м²

.        Высота этажей H1 = 8,2м, H2 = 10,0м.

.        Пролёты L = 13,5м, l = 4м.

.        Материал конструкции сталь С 255

.        Коэффициент надежности по полезной нагрузке γf2 = 1,25

.        Район строительства - Москва.

Заводские соединения - сварные. Монтажные соединения - сварные, болтовые.

 

2. Компоновка балочной клетки


Учитывая пролет главной балки (L=13,5м) и тип настила (Железобетонный) примем шаг балок настила а=1.5 м. При этом количество шагов получается нечетное. Так как в середине главной балки необходимо организовать монтажный стык.

 

3. Расчет балки настила

 

.1 Расчетная схема балки


Расчетная схема балки и эпюры внутренних усилий.- расчетная полезная нормативная нагрузка.

Расчетная схема и эпюры внутренних усилий

 

.2 Определение погонной нагрузки на балку настила


Определение постоянной нагрузки

№ п.п

Наименование нагрузки

Нормативная нагрузка, кН/м²

γf

Расчетная. нагрузка, кН/м²


Постоянная нагрузка




1

Керамическая плитка толщ t=30 мм (р=1,8т/м³)

0,36

1.1

0,4

2

Цементная стяжка t=20мм (р=1,8т/м³)

0.54

1.3

0,7

3

Плита перекрытия

3

1.1

3,3


Итого

3,9


4,4


Погонная нормативная нагрузка:

 

Где γn - коэффициент надежности по назначению, для зданий и сооружений второго уровня ответственности γn=1.

Расчетной

 

 

.3 Определение максимальных внутренних усилий


Максимальный изгибающий момент:

расчетный:

 

Нормативный

 

Максимальная поперечная сила (расчетная):

 

 

3.4 Предварительный подбор сечения балки


Сечение балки настила подбираем прокатное. Предварительный подбор сечения производим из условия прочности при условии работы материала балки в упругой зоне:

 

где γc = 1.0 коэффициент условий работы для прокатных балок.

Ry = 240 МПА - - расчетное сопротивление стали по пределу текучести для С 255, отсюда определяем требуемый момент сопротивления:

 

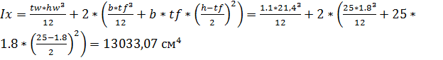
по сортаменту подбираем двутавр 27 со следующими геометрическими характеристиками:= 371 см³,= 5010 см4,= 210 см³,= 6,0 мм = 0.6 см

 

.5 Проверки подобранного сечения

 

.5.1 Проверки по предельным состояниям I группы

Проверка максимальных нормальных напряжений:

Условие прочности:

 

 

прочность сечения по нормальным напряжениям обеспечена.

Недонапряжения составляют

 

 

Условие экономии материала выполняется.

Проверка максимальных касательных напряжений.

Условие прочности:

 

 

где

 

Прочность сечения по касательным напряжениям обеспечена.

Проверка общей устойчивости общая устойчивость балки настила обеспечена, так как верхний сжатый пояс балки непрерывно раскреплен настилом.

Проверка местной устойчивости элементов балки местная устойчивость полки и стенки балки настила обеспечивается сортаментом.

 

.5.2 Проверки по предельным состояниям II группы

Проверка максимального прогиба

Определяем фактический относительный прогиб балки:

 

Сравниваем фактический относительный прогиб балки с предельно допустимым относительным прогибом:

 

Фактический относительный прогиб не превышает предельно допустимого, следовательно, жесткость балки настила обеспечена.

 

4. Расчет главной балки

 

.1 Составление расчетной схемы


Так как на балку действует более 5 сосредоточенных сил (9 балок настила), то нагрузку на главную балку считаем равномерно распределенной.


Расчетная схема и эпюры внутренних усилий

 

.2 Определение погонной нагрузки


Определение нормативной нагрузки.

 

где B - шаг главных балок, равный пролету балок настила.

Определение расчетной нагрузки.

 

Определение усилий, возникающих в балке.

Максимальный расчетный изгибающий момент.

 

Где α - коэффициент, учитывающий собственный вес главной балки, принимаем α = 1,04

Максимальный нормативный изгибающий момент.

 

Максимальная поперечная сила.

 

 

.3 Подбор и компоновка сечения главной балки


Материал балки работает в упругой зоне, тогда из условия прочности определяем требуемый момент сопротивления:

 

где Ry = 230 МПа - расчетное сопротивление стали С 255 по пределу текучести

При толщине стального проката > 20 мм Ry=230 МПа

γc = 1.0 - коэффициент условий работы.

Определение высоты балки.

Оптимальная высота балки - это такая высота балки, при которой масса балки минимальна.

 

где k = 1.15 - для сварных балок, tw предварительно принимается по формуле

 

Тогда принимает

где примем

Минимальная высота балки - это такая высота, при которой прогиб балки максимально возможный, то есть равный допустимому прогибу.

 

Принимаем 1 м

Принимаем высоту балки больше минимальной и приблизительно равную оптимальной: h = 125 см.

Сечение главной балки

Компоновка поясов балки.

Назначаем толщину пояса tf = 30 мм

Определяем величины hf, hw:

hf = h - tf = 1000 - 30 = 970 мм

hw = h - 2tf = 1000 - 2 * 30 = 940 мм


Определяем ширину полок:

 

 

 

 

Принимаем bf =38см

Из конструктивных сообрежений принимаем bf=38 см

Проверяем соответствие принятых размеров сечения конструктивным требованиям:

 

 

 

Принимаем из конструктивных соображений bf = 40 см

Размеры сечения удовлетворяют конструктивным требованиям.

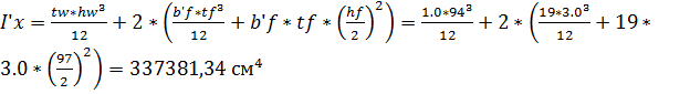
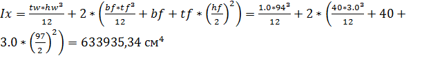
Определяем фактические геометрические характеристики сечения

 

 

Изменение сечения балки по длине Изменение сечения балки производим на расстоянии х от опоры, которое составляет 1/6 пролета балки:

 

Определяем изгибающий момент М 1 и поперечную силу Q1 в месте изменения сечения:

 и при  получим

 

и при  получим

 


ОпределяемWʹx,тp - требуемый момент сопротивления уменьшенного сечения из условия прочности на изгиб.

 

Определяем ширину пояса уменьшенного сечения:

 

 

 

 

по конструктивным соображениям принимаем bʹf = 19 см. Проверяем соответствие принятых размеров уменьшенного сечения конструктивным требованиям:

 

b’f = 190 мм

Размеры уменьшенного сечения удовлетворяют конструктивным требованиям.

Определяем фактические геометрические характеристики уменьшенного сечения

 

 

 

 

 

.4 Проверки подобранного сечения главной балки

 

.4.1 Проверки по I группе предельных состояний

Проверка прочности по нормальным напряжениям Условие прочности

 

прочность балки по нормальным напряжениям обеспечена.

Недонапряжения составляют

 

условие экономии материала выполняется.

Проверка прочности по касательным напряжениям Условие прочности:

 

Где

прочность балки по касательным напряжениям обеспечена.

Проверка прочности по местным напряжениям Не выполняется, так сопряжение балок принято в одном уровне, то есть нет верхнего опирания балок настила на главную балку.

Проверка прочности по приведенным напряжениям Условие прочности (при отсутствии местных напряжений):

 

где коэффициент 1.15 учитывает возможность развития пластических деформаций

 

 

 

прочность балки по приведенным напряжениям обеспечена.

Проверка общей устойчивости балки

Общая устойчивость балки обеспечена, если соблюдается условие

 

Где lef расчетная длина, на которой балка может потерять устойчивость

Lef = а, где а = 1,5 м шаг балок настила

bf = 0.3 м ширина верхнего сжатого пояса

 

 

 

общая устойчивость главной балки обеспечена.

Проверка местной устойчивости элементов главной балки

Проверка местной устойчивости полки

Местная устойчивость полки обеспечена, если выполняется условие:

 

где - свес полки

 

 

 - предельное отношение свеса полки к ее толщине, согласно СНиПравное

 

Тогда

 

местная устойчивость полки обеспечена.

Проверка местной устойчивости стенки

Критерии местной устойчивости стенки:

 - гибкость стенки

- условная гибкость стенки

 

Постановка поперечных рёбер жёсткости не требуется

5. Расчет колонны сплошного сечения


Расчётная схема колонны

 

.1 Составление расчётной схемы


H = 8,2 м отметка пола 1-го этажа (высота этажа)

hг.б. = 1.5м

hз - глубина заделки колонны, рекомендуемая глубина заделки, принимаем 0,8м

l - геометрическая длина колонны

 

 

5.2 Определение расчетных длин


Принимаем расчетные длины относительно осей х и y равными:

 

Где μ коэффициент приведения длины, для данных условий закрепления

Колонны μ = 0.7

 

.3 Определение нагрузки, действующей на колонну


 

Где L = 13.5м пролет главной балки

l = 4м пролет второстепенной балки

α = 1.04 - коэффициент, учитывающий собственный вес колонны.

N = (gn * γf1 + pn * γf2) * L * l * α * γn + Po

 

.4 Предварительный подбор и компоновка сечения


Предварительный подбор сечения выполняем из условия устойчивости:

 

где γc = 1

φ - коэффициент продольного изгиба, предварительно принимаем φ = 0.652

 

В оптимальном сечении:

 

 

 - гибкость колонны относительно оси х-х

 - гибкость колонны относительно оси y-y

 

где αy, αx коэффициенты пропорциональности между радиусами инерции и соответствующими геометрическими размерами.

Сечение колонны

Для сварного двутавра эти коэффициенты можно принять:

 

Получим:

 

Для равноустойчивой колонны и принятого φ = 0.652, λx= λy= 90

 

 

Из конструктивных соображений принимаем h = b = 25 см

Определяем толщины полки и стенки:

 

Принимаем tf = 1,8см

 

Принимаем tw = 1,1 см

Проверяем соответствие принятых размеров сечения конструктивным требованиям:

 

tw = 101мм> 60мм

 

Определяем фактические геометрические характеристики:

 

 

 

 

 

 

.5 Проверки подобранного сечения


Проверка устойчивости относительно оси наибольшей гибкости

Так как lx = ly и iy<ix, то y - y ось наибольшей гибкости (λx< λy) проверку устойчивости производим относительно оси y - y.

Условие устойчивости:

 

 

следовательно

 

 

Методом интерполяции находим

 

устойчивость колонны относительно оси y - y обеспечена.

Недонапряжения составляют

 

условие экономии материала выполняется.

Проверка местной устойчивости полки

Устойчивость полки обеспечена, если выполняется соотношение:

 

где  - свес полки

 

 

предельное отношение свеса полки к ее толщине, принимается по СНиП:

 

 

Тогда

 

местная устойчивость полки обеспечена.

Проверка местной устойчивости стенки Местная устойчивость стенки обеспечена, если выполняется условие:

 

где - гибкость стенки

 - Предельная гибкость стенки

 

 

λˉ uw - предельная условная гибкость стенки, по табл. 27 СНиП при

 

 

 

местная устойчивость стенки обеспечена.

6. Расчёт узлов

 

.1 Опорный узел главной балки


Опорный узел главной балки

Расчет опорного листа на смятие

Принимаем bоп.л = bʹf = 190 мм

Условие прочности опорного листа на смятие:

 

Отсюда

Где

N = Qmax = 808,01 кH

Rbp= 351 МПа - расчетное сопротивление смятию торцевых поверхностей, определено по таблице Г.6.СП 16,13330-2011приRun = 360 Мпа

Принимаем tоп.л = 13 мм

Расчет сварных швов, соединяющих стенку балки с опорным ребром Назначаем полуавтоматическую сварку сварочной проволокой Св-08А, тогда

Rwf = 180Мпа

 

СП 16.13330-2011 определяем коэффициенты глубины проплавления (полуавтоматическая сварка при d = 1.4-2 мм в вертикальном положении при катете шва kf = 3-8 мм): Bf = 0.9, Bz = 1.05

Определяем менее прочное сечение сварного шва

 - по металлу шва

 Мпа - по металлу границы сплавления.

Менее прочное сечение - по металлу шва, следовательно, в дальнейшем ведем расчет по металлу шва.


 

Принимаем

, тогда

 

Принимаем kf = 7мм

Расчет опорного столика колонны

Толщину опорного столика колонны назначаем конструктивно:

 

Высоту опорного столика определяем их условия прочности сварных швов, крепящих столик к колонне. Передача усилия идет через три шва - два вертикальных и один горизонтальный. Назначим полуавтоматическую сварку сварочной проволокой Св-08А, тогда Rwf = 180Мпа

 

СП 16.13330-2011 определяем коэффициенты глубины проплавления (полуавтоматическая сварка при d = 1.4-2 мм в вертикальном положении при катете шва kf = 9-12 мм):

Bf = 0.8 Bz = 1.05

Определяем менее прочное сечение сварного шва:

 - по металлу шва,

 - по металлу границы сплавления.

Менее прочное сечение - по металлу шва, следовательно, в дальнейшем ведем расчет по металлу шва. С учетом возможности неравномерного распределения напряжений в швах записываем условие прочности сварного шва по металлу шва:

 

Назначаем kf = 12мм тогда

 

Ширину опорного столика назначаем b = 22см тогда

 

 

.2 Монтажный узел


Монтажный узел

Монтажный узел главной балки выполняем на высокопрочных болтах, одинаковых для полок и стенки. Принимаем: db = 24мм - диаметр ВП болтов

Марка стали ВП болтов: 40Х "селект"

Способ обработки поверхности - дробеметный 2-х поверхностей. Определяем несущую способность соединения, стянутого одним ВП болтом:

 

 

μ = 0,58 - коэффициент трения

γn = 1.12 (при контроле усилия по М),

Abn = 3.52 см²

γb =1.0, (при количестве болтов более 10),

k = 2 -количество плоскостей трения.

Определяем усилие в полке:

 

 

 

Определим количество болтов в полке:

 

Принимаем 10 болтов

Определяем количество болтов в стенке:

 

Принимаем n = 10 - количество болтов в 1-ом вертикальном ряду при 2-х рядном расположении болтов в полустыке.

Определение толщины накладок в полках:

ΣAнакл = 1,15 1,2A примем

 

 

Принмаем tнакл = 2,0 см

 

.3 Узел сопряжения главной балки и балки настила


Узел сопряжения главной балки и балки настил

Сопряжение балки настила и главной балки выполним на болтах класса точности Б. Усилие, воспринимаемое болтами

Назначаем диаметр болтов d = 20 мм, класс прочности 5,6, тогда

Ab = 3.14 см²

Rbs = 210 Мпа

Rbp = 485 Мпа (для Run = 360Мпа)

γb = 0.9

Определяем несущую способность соединения на одном болте: по срезу:

 

где ns = 1 - количество плоскостей среза,

по смятию:

 

где tmin - минимальная сумма толщин элементов, работающих в одном направлении,

 

Определяем количество болтов:

 

Принимаем 2 болта.

Минимальное расстояние между центрами болтов:

 

где

Минимальное расстояние от центра болта до края вдоль усилия:

 

Минимальное расстояние от центра болта до края поперек усилия:

 

 

.4 База колонны


База колонны

Расчет опорной плиты Определение размеров опорной плиты в плане Площадь опорной плиты определяется из условия прочности материала фундамента. Принимаем для фундамента бетон класса В 10 с Rпр = 6 МПа. Условие прочности бетона на местное сжатие:

 

Где , здесь ψ = 1,2

Отсюда

 

Ширину плиты назначим из конструктивных соображений:

 

где b = 25 см - ширина колонны, tтр = 1.2 см - толщина траверсы (назначается), с = 6.3 см

Определяем длину плиты:

 

принимаем L = 60 см.

Фактическая площадь опорной плиты:

 

Определение толщины опорной плиты

Определяем фактическое напряжение в бетоне под плитой:

 

Плита работает на изгиб под реактивным отпором фундамента. Колонна и траверса делят плиту на три типа участков - консольный, опертый на три канта и опертый на четыре канта. На каждом участке выделим полосу единичной ширины, и определим погонную нагрузку на эту полосу:

 

Определим изгибающие моменты в плите: Участок 1 - консольный

 

Участок 2 - опертый по 4 сторонам Определяем размеры участка:

 размер короткой стороны,

 размер длинной стороны.

Изгибающий момент определяется по формуле

 

Где

При α=0,13

Тогда

Участок 3 - опертый по 3 сторонам

Определяем размеры участка:

 

b - размер закрепленной стороны

a = b = 25 см размер свободной стороны.

Изгибающий момент определяется по формуле

 

Где

При

 

Ведём в конструкцию ребро жёсткости толщиной 10 мм со свободной стороны

а=(25-1)/2=12см

Сравнивая моменты M1, M2, M3 выбираем максимальный:

 

Определяем толщину опорной плиты из условия прочности плиты на изгиб:

 

Принимаем из конструктивных соображений

, - следовательно, толщина плиты удовлетворяет конструктивным требованиям.

 

7. Расчёт траверсы

настил железобетонный колонна траверса

Расчет траверсы Определение высоты траверсы Высоту траверсы определяем из условия прочности сварных швов. Назначим полуавтоматическую сварку сварочной проволокой Св-08А, тогда

Rwf = 180 Мпа

 

По табл. 34* СНиП определяем коэффициенты глубины проплавления (полуавтоматическая сварка при d = 1.4-2 мм в вертикальном положении при катете шва kf = 9-12 мм):

Bf = 0.8

Bz = 1.0

Определяем менее прочное сечение сварного шва:

RwfBf = 180 * 0.8 = 144Мпа по металлу шва

RwzBz = 162 * 1.0 = 170,1 МПА по металлу границы сплавления

Менее прочное сечение - по металлу шва, следовательно, в дальнейшем ведем расчет по металлу шва.

Условие прочности сварного шва по металлу шва:

 

Назначаем kf = 10 мм, тогда

 

 

Принимаем hтр = 30 см

Проверка прочности траверсы: Проверку прочности траверсы производим в месте крепления траверсы к полке колонны

qтр - погонная нагрузка на траверсу

 

Определяем усилия в траверсе

 

 

Определяем напряжения в траверсе

 

 

Определяем приведенные напряжения в траверсе:

 

Условие прочности:

где

 

прочность траверсы по приведенным напряжениям обеспечена.

Расчет анкерных болтов Анкерные болты принимаем конструктивно d = 20 мм.

Похожие работы на - Расчет и конструирование основных несущих конструкций стальной балочной площадки

 

Не нашли материал для своей работы?
Поможем написать уникальную работу
Без плагиата!
Без нейросетей!