Расчет и конструирование элементов балочной клетки

  • Вид работы:
    Дипломная (ВКР)
  • Предмет:
    Строительство
  • Язык:
    Русский
    ,
    Формат файла:
    MS Word
    1,56 Мб
  • Опубликовано:
    2015-03-08
Вы можете узнать стоимость помощи в написании студенческой работы.
Помощь в написании работы, которую точно примут!

Расчет и конструирование элементов балочной клетки















Пояснительная записка к курсовому проекту

Расчет и конструирование элементов балочной клетки


Задание

Курсовой проект посвящается проектированию и конструктивной разработке основных несущих элементов балочной клетки.

Балочной клеткой называется комплекс, состоящий из настила, укладываемого на систему балок, которые в свою очередь опираются на колонны. В зависимости от схемы расположения балок различают три основных типа балочных клеток: Упрощенный, нормальный и усложнённый. В данном курсовом проекте запроектирована балочная клетка нормального типа.

Исходные данные:

. Тип балочной клетки - нормальный

. Шаг колонн в продольном направлении (пролёт главной балки) L=13,6 м

. Шаг колонн в поперечном направлении l=4,4 м

. Отметка верха настила H=10,6 м

. Нормативное значении полезной (временной) нагрузки =21 кПа (кН/)

. Район строительства - г. Сургут.


1. Выбор стали

сталь балочный монтажный

Сталь выбираем в зависимости от температуры воздуха наиболее холодных суток в данном районе строительства с обеспеченностью 0,98.

В городе Сургуте температура наиболее холодных суток по СНиП 23-01-99* -48

Значит на СНиП СНиП 23-81* «Стальные конструкции» принимаем С345 третьей категории. ГОСТ 27772-88

2. Расчёт настила

Толщина настила принимается в зависимости от интенсивности нагрузки на настил:

=6÷8 мм при p<10 кН/;

=8÷10 мм при p=10÷20 кН/;

=10÷12 мм при p=20÷30 кН/;

=12÷14 мм при p>30кН/;

Размеры настила при работе его на изгиб с учётом распора Н можно приближенно вычислять из условия заданного предельного прогиба (Ⅱгруппа предельных состояний) по формуле:


Где:  - пролёт настила,  - толщина настила, = - отношение пролёта настила к его предельному прогибу (для стального настила рабочих площадок производственных зданий при отсутствии крановых путей  = 1/150); - нормативное значение нагрузки воспринимаемой настилом  - приведённый модуль упругости стали;

=  = = 2,26× кгс/;

E=2,06 модуль упругости стали

µ=0,3 коэффициент Пуассона для стали

Помимо нагрузки, определяемой проектным заданием, настил воспринимает собственный вес. Задавшись оптимальной толщиной настила =11 мм, зная объемный вес стали, можно определить значение нормативной нагрузки, действующей на настил:

 = +ρ×=21+78,5×0,011=21,86 кН/

Тогда можно определить предельное отношение пролёта настила к его толщине:


Из полученного значения и заданной ранее толщины настила допустимый пролёт настила определяется следующим образом:

= 98,8147 = 98,81471,1=108,696 см

Силу распора Н, на действие которой рассчитываются сварные швы, крепящие настил к балкам настила, можно определить по приближенной формуле:

Н=


Где:  - коэффициент надежности по нагрузке для действующей равномерно-распределённой нагрузки при полном нормативном значении нагрузки ≥200 кгс/, принимаемый =1,2

Н==326,813 кгс/

Сварные соединения с угловыми швами следует рассчитывать на срез по двум сечениям по формулам:

по металлу шва:


по металлу границы сплавления


Где: N=Н=326,813 кгс/;  - коэффициенты глубины проплавления шва, принимаемые соответственно 0,9 и 1,05 (автоматическая и полуавтоматическая);  - коэффициенты условий работы шва, равные 1 во всех случаях, кроме конструкций, возводимых в климатических районах I1, I2, II2 и II3 (для которых γwf = 0,85 для металла шва с нормативным сопротивлением Rwun = 410 МПа (4200 кгс/см2) и γwz = 0,85 - для всех сталей.);  - длина сварного шва (ширина полоски настила, закреплённой неподвижными шарнирами) принимаем=1 см;  - расчётное кгс/; будем принимать для электрода типа Э50 (для сварки углеродистых и низколегированных конструкционных сталей с временным сопротивлением разрыву до 50 кгс/мм2 ГОСТ 9467-75);  - расчётное сопротивление металла граници сплавления сварного соединения с угловыми швами, принимаемое

= 0,55= 0,55 =2200 кгс/

 - для швов выполняемых ручной сваркой следует применят равным значению временного сопротивления разрыву металла шва, ГОСТ 9467-75* =50 кгс/=5000 кгс/

 - Значение коэффициента надёжности по материалу. Для сталей с  не более 5000 кгс/ следует принимать =1,25

=0,45=0,4549=22,05 кН/=2205 кгс/

 для листа по ГОСТ 27772-88=49 кН/м

 - коэффициент условной работы конструкции, принимаем =1

Расчётная высота катета шва, крепящего настил к балке, определяется из условий прочности углового шага на срез:

= =  =0,165 см

= =  =0,141 см

Конструктивная высота катета сварного соединения должна быть для толщины наиболее толстого из свариваемых элементов 11 мм и механизированной сварки тавровое с односторонними угловыми швами 0,6 см. Поэтому принимаем 0,6 см

Расчётная высота катета сварного шва, крепящего настил к балкам, определяется из условий прочности углового шва на срез:


3. Компоновка элементов балочной клетки

В случае балочной клетки простого типа. Балки настила (БН) оперяются на главные балки (ГБ) с шагом 0,6-1,6 м при стальном настиле (в нашем случае а= 1,36 м). Тип сопряжения балок- в уровень.

4. Расчёт балок настила

Балки настила воспринимает следующие нагрузки:

Полезная нагрузка =21 кПа (кН/);

Собственный вес настила  =78,5×0,011=0,8635 (кН/);

Собственный вес БН , который в первом приближении ориентировочно принимается равным 1-2% от полезной нагрузки, =0,01×21=0,21 кН/

Для определения интенсивности распределённой нагрузки, действующей на БН, необходимо все нагрузки привести к погонным кН/. Ширина грузовой площади БН равна их шагу, а= 1,36 м

Нормативное значение нагрузки, действующей на БН:

=(21+0,8635)1,36+0,21=29,944≈30 кН/

Расчётное значение нагрузки, действующей на БН:

сталь балочный монтажный

=(211,2+0,86351,05)=35,73 кН/

 - коэффициент надёжности по нагрузке,  - для действующей равномерно-распределённой нагрузки при полном нормативном значении нагрузки ≥200 кгс/, принимаемый =1,2; для металлических конструкций.

Максимальный изгибающий момент (в середине пролёта балки) равен:

==86,46 кН

Максимальная поперечная сила (опорная реакция балки) равна:

==78,606 кН

Расчётная схема БН и эпюра внутренних усилий

Подбор сечения

Требуемый момент сопротивления нетто поперечного сечения балки равен:

=  =  = 209,488

- по ГОСТ 27772-88 для С345 =33,5 кН/

 - коэффициент условной работы принимаем =1,1

 - коэффициент учитывающий упруго пластичную работу материала. Зависит от вида сечения и от касательных напряжений. Принимаем =1,12

По сортаменту прокатных профилей выбираем двутавр №22 по ГОСТ 8239-72 с моментом сопротивления не сечения не менее требуемого.

Двутавр имеет следующие геометрические характеристики:

h=220 мм=22 см; b=110 мм=11 см; t=8,7 мм=0,87 см; A=30,6; =22550 ; =232;  = 24 кг =0,24 кН/; d=5,4 мм=0,54 см

Собственный вес 1 п.м. балок выбранного профиля составляет 0,24 кН/, что очень близко к значению собственного веса ВБ, принятого в первом приближении (=0,21 кН/), поэтому пересчёт нагрузок с учётом действительного веса балки не производим.

Значения касательных напряжений в сечениях изгибаемых элементов должны удовлетворять условию:

 =

Где: Q= 78,606 кН - максимальная поперечная сила; I/S=h=22 см - высота сечения стенки балки на опоре; t=d =0,54 см - толщина стенки балки на опоре;  - расчётное сопротивление стали сдвигу, =0,58=0,583350=1943 кгс/;  - коэффициент условной работы принимаем =1,1

= = 661,667 кгс/

=1943 1,1=2137,3 кгс/

(=661,667 кгс/ <=2137,3 кгс/)

Условие выполняется, т.е. опорные сечения БН удовлетворяют условиям прочности по касательным напряжениям.

Проверку общей устойчивости по. СНиП II-23-81* «Стальные конструкции» пункту 5.16. а можно не выполнять «при передаче нагрузки через сплошной жесткий настил, непрерывно опирающийся на сжатый пояс балки и надежно с ним связанный (плиты железобетонные из тяжелого, легкого и ячеистого бетона, плоский и профилированный металлический настил, волнистую сталь и т.п.)».

Проверка прогиба

Относительный прогиб однопролётной балки, нагруженной равномерно - распределённой нагрузкой, определяется по формуле:

 =

Где  - нормативное значение нагрузки. Воспринимаемой БН (кгс/см)

- пролёт БН (см); =2.1× кгс/ - модуль упругости стали; -момент инерции сечения БН ()

Для балок рабочих площадок производственных зданий при отсутствии крановых путей []=1/250

 = = 0,000512; = 0,000512 ≤0,004

Т.е. сечение БН удовлетворяет требованиям жёсткости.

5. Конструирование и расчёт главной балки

Сбор нагрузок и статический расчёт

Балки настила опираются на главные балки равномерно с шагом 1,36 м, пролёт ГБ составляет 13,6 м, таким образом. Сосредоточенные силы от балок настила можно представить как равномерно распределенную нагрузку. Величина полной нагрузки, действующей на главные балки, складывается из полезно нагрузки собственного веса настила, балок настила и собственного веса ГБ, который ориентировочно принимается равным 2 кН/.

ГБ рассчитывается аналогично БН, как однопролётная балка. Для сбора нагрузок на ГБ ширина грузовой площади равна шагу ГБ или шагу колонн в поперечном направлении - b=4,4 м.

Нормативное значение действующей на ГБ: будешь


Где:

 - фактический вес 1 п.м. БН; -количество БН, приходящихся на грузовую площадь ГБ;  - ориентировочный вес 1 м.п. ГБ

 +2= 96,1994+2,747=98,946 кН/

Расчётное значение нагрузки, действующей на ГБ:

=(21=114.87+2.884=117,75 кН/

==2722,38 кН

Максимальная поперечная сила (опорная реакция балки) равна:


Компоновка составного сечения

Внутренние усилия, возникающие в ГБ достаточно значительны, поэтому не следует использовать прокатные профили. ГБ проектируется составной.

Определение размеров стенки

Главная балка проектируется переменного по длине сечения и рассчитывается без учёта развития пластических деформаций. Определяющим в компоновке сечения ГБ является подбор размеров стенки балки - высоты и толщины.

Минимальная высота стенки ГБ определяется из условия жёсткости балки с использованием формулы, связующей момент сопротивления сечения W и момент инерции I:

W=I/y

Где y - расстояние от нейтральной оси сечения до крайнего волокна.

Поскольку определяется минимальное значение высоты, используется минимальное значение y.


Где  - минимальный требуемый момент инерции всего сечения ГБ;  - минимальный требуемый момент сопротивления всего сечения ГБ.

Минимальный требуемый момент сопротивления всего сечения ГБ определяется из условия прочности изгибаемых элементов:


Минимальный момент инерции сечения ГБ определяется из условия жёсткости ГБ в соответствии с требованием обеспечения допустимого относительного прогиба балки, который для главных балок рабочих площадок производственных зданий при отсутствии крановых путей составляет

[]=1/400

Из формулы прогибы (условии жёсткости)  =  выражаем  это будет


Итак, минимальное значение высоты стенки ГБ, определяемое по формуле , составляет:

Минимальная толщина стенки ГБ определяется из условия её прочности при работе на срез:


Здесь, в качестве параметра h используется некоторое предварительное значение высоты балки, которое принимается равным (1/10) L = 1360/10=136 см

Принимаем значение толщины стенки ГБ =1 см

Оптимальная высота стенки балки определяется исходя из соображений минимизации массы балки. Формула для определения высоты стенки ГБ при минимуме массы балки имеет следующий вид:


Где: - коэффициент, зависящий от конструктивного оформления балки, для сварных балок =1,15


Исходя из того, что высота стенки ГБ должна подбираться с учётом действующего сортамента листовой стали и быть менее  и близкой к  принимаем следующее значение высоты стенки ГБ:

Определение размеров полок

Ширина листа полки ГБ определяется из требуемого значения площади сечения полки. Формулу для определения площади сечения одной полки можно получить из известной формулы Штейнера, которая позволяет определять момент инерции сложных сечений относительно осей, не совпадающих с нейтральной осью всего сечения.


Где:  - требуемый момент инерции сечения двух полок относительно нейтральной оси балки;  - момент инерции сечения одной полки относительно её собственной оси;  - площадь сечения одной полки;  - расстояние от нейтральной оси балки до собственной оси полки.

Ввиду малости значения моментом инерции сечения полки относительно собственной оси  можно пренебречь, тогда формула для определения площади сечения одной полки примет следующий вид:


Требуемый момент инерции сечения одной полки относительно нейтральной оси балки определится как разность между требуемым моментом инерции всего сечения балки и фактическим моментом инерции стенки балки:


Требуемый момент инерции сечения ГБ с известным значением высоты балки (высота стенки + две толщины полок) можно определить по формуле

Момент инерции стенки балки определяется как момент инерции прямоугольного сечения:


Итак, для рассчитываемой балки:

Ширина полки ГБ принимается по действующему сортаменту листовой стали с учётом принятой толщины листа и назначается не менее требуемой по площади сечения полки

Толщину листа принимаем ,  = 21.39 см

Принимаем полки ГБ из стали универсальной по ГОСТ 82-70 шириной листа 22 см

Для неокаймленного свеса при расчёте в пределах упругих деформаций отношение ширины свеса сжатого пояса к толщине должны удовлетворять следующему условию:

 ≤ 0,5

Расчётная ширина свеса поясных листов принимается равной расстоянию от грани стенки до края поясного листа:

 = (11-0,5)/2=5,25

,5=0,5 =12,51

,25 < 12,51 т.е. принятые размеры полки ГБ удовлетворяют условиям местной устойчивости.

Имеем сечение главной балки со следующими геометрическими характеристиками:

 =44 А=128+244=216

Изменение сечения балки по длине

Изменение сечения ГБ по длине производят в экономических соображениях, связанных с тем, что значения моментов, по которым производится расчёт сечения, действуют лишь в середине полёта. Изменить сечение балки можно. Уменьшив высоту или толщину стенки, ширину или высоту полки. В сварных балках наиболее распространено уменьшение ширины полки. При равномерно распределённой нагрузке наиболее выгодное по расходу стали место изменения сечения поясов однопролётной сваркой балки находится на расстоянии 1/6 пролёта балки от опоры.

Определение Внутренних усилий

Усилия в сечении, расположенном на расстоянии 1/6 пролёта балки от опоры определяются по эпюрам.

 = =1814,38-302,308=1512,072 кН


Ширина уменьшенного пояса балки

Площадь уменьшенного сечения пояса принимается из условия прочности на расстояние сварного шва, стыкующего различные сечения пояса. В этом случае стык растянутого пояса ГБ выполняют прямым с ручной сваркой без физического контроля качества.

Расчёт стыкового сварного соединения в растянутом поясе изгибаемого элемента моно производить по следующей формуле:


Где: М=- Изгибающий момент в месте изменения сечения ГБ;  - требуемый момент сопротивления изменённого сечения;  - расчётное сопротивление сварного стыкового шва по пределу текучести.

 кгс/

Принимаем изменённую ширину полки ГБ равной 15 см

Геометрические характеристики изменённого сечения ГБ

 =30 А=128+230=188




6. Проверка прочности и общей устойчивости ГБ

Проверка прочности

Проверку прочности по нормальным напряжениям элементов, изгибаемых в одной из главных плоскостей, следует выполнять по формуле:




Где: М - максимальное по длине балки значение изгибающего момента;  - момент сопротивления сечения балки, в котором возникает максимальный изгибающий момент.


Т.е. прочность ГБ по нормальным напряжениям обеспечена.

В составных сечениях устанавливаемых устанавливаемых расчётом, недонапряжение не должны превышать 5%.


Т.е. прочность ГБ удовлетворяет требованиям норм.

Проверку прочности по касательным напряжениям элементов, изгибаемых в одной из главных плоскостей, следует выполнять по формуле:

 =

Где Q - максимальное по длине балки значение поперечной силы; S и I - соответственно статический момент полусечения балки и момент инерции сечения балки, в котором возникает максимальная поперечная сила.

 = ; =

 <

Т.е. прочность ГБ по касательным напряжения обеспечена.

По всей длине ГБ (за исключением сечений, в которых М или Q равны нулю), изгибающий момент и поперечная сила действуют совместно. Поэтому, помимо раздельных проверок  и , необходима проверка совместного действия нормальных и касательных напряжений, при которой определяются приведённые напражения:

1)      

2)       ;

Где  - нормальные напряжения в срединной плоскости стенки, соответственно параллельные и перпендикулярные оси балки;  - касательное напряжение воспринимаемое стенкой.

Второе условие в данном случае практически ничем не отличается от проверки прочности ГБ на касательные напряжения, следовательно, это условие уже обеспеченно.


;


Т.е. прочность сечения ГБ на совместное действие нормальных и касательных напряжений обеспечена.

Проверка общей устойчивости

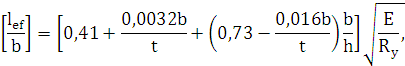
Наибольшее значение , при котором не требуется расчёт на устойчивость сварных балок независимо от уровня приложения нагрузки при расчёте участка балки между связями, определяется по формуле:


соответственно ширина и толщина сжатого пояса; h - расстояние между осями поясных листов.

За расчётную длину балки следует принимать расстояние между точками закреплений сжатого пояса от поперечных смещений. В данном случае за расчётную длину ГБ следует принять шаг второстепенных балок.

 ;

Т.е. общую устойчивость ГБ проверять не требуется.

Проверка и обеспечение местной устойчивости стенки

Проверка и обеспечение местной устойчивости ГБ выполняются в зависимости от значения условный гибкости стенки, которая определяется по следующей формуле:



Значение условной гибкости стенки превышает 3,2 (по пункту 7,3 СНиПа II 23-81* «3,2 - при отсутствии местного напряжения в балках с односторонними поясными швами», поэтому стенку следуют укреплять поперечными рёбрами жёсткости.

Расстояние между основными поперечными рёбрами жёсткости не должно превышать 2 при >3,2

а ≤ 2 = 2130=260 см

Однако расстояние между рёбрами допускается увеличивать до 3 при условии, что общая устойчивость балки обеспечена выполнением требований:

а ≤ 3 = 3130=390 см

Т.к. сопряжение балок в один уровень, то второстепенные балки будут опираться на рёбра жёсткости главной балки, шаг второстепенных балок 1,36 м, поэтому расстояние между рёбрами жёсткости принимаем 1,36 м.

Т.к. длина отсека больше его расчётной высоты а=136 >, местную устойчивость стенки проверяем в 1-ом отсеке на расстоянии а - 0,51,4=1,36-0,51,4=0,66 м от опоры.



Расчёт на устойчивость стенок балок симметричного сечения, укреплённых только поперечными основными рёбрами жесткости, при отсутствии местного напряжения (=0) и условной гибкости стенки  ≤ 6 (По СНиП II 23-81 пункт 7.5 «Расчет на устойчивость стенок балок симметричного сечения с учетом развития пластических деформаций при отсутствии местного напряжения (=0) и при τ ≤ 0,9Rs, Af / Aw ≥ 0,25, 2,2 ≤6». Следует выполнять по формуле:

Где:  и  - фактические значения соответственно нормального и касательного напряжения;  и  - критические значения напряжений.

Сжимающее напряжение  у расчётной границы стенки, принимаемое со знаком «+», и среднее касательное напряжение τ следует вычислять по формулам:


Значение  определяется по формуле:


Где:  - отношение большей стороны пластинки к меньшей;  - условная приведённая гибкость стенки.

Где: d - меньшая из сторон пластинки (расчётная высота стенки балки  или шаг ребра жёсткости а).

Значения  определяются по формуле:

 

Где  - коэффициент, для сварных балок зависящий от коэффициента δ и определяемый пои т 21 По СНиП II 23-81

β принимается по табл. 22 СНиП II 23-81 «При непрерывном опирании плит в прочих случаях 0,8»

δ = β15/130 примем 0,6 тогда

Итак, для проверки местной устойчивости стенки главной балки, укреплённой поперечными рёбрами жёсткости, имеются следующие данные:


 определяется по табл. 6 СНиП II 23-81 =0,95

Т.е местная устойчивость стенки ГБ при шаге рёбер жесткости а=136 см обеспечена.

7. Размеры рёбер жёсткости

Укрепляем стенку парными симметричными рёбрами. Ширина выступающей части ребра:


Принимаем

Толщина ребра должна быть не менее

7,988

Принимается

Расчёт опорного ребра

При высоте выступающей части опорного ребра а≤1,5t напряение в нижних торцах при действии опорной реакции не должны превышать расчётного сопротивления стали .

Из условия смятия определяется необходимая площадь поперечного сечения опорного ребра.

Принимается а=1,5 см. Требуемая площадь поперечного сечения опорного ребра определяется следующим образом:




 определяется по табл. 2 СНиП II 23-81


Удобно принять толщину и ширину опорного ребра равными толщине и ширине полки главной балки. В этом случае фактическая площадь поперечного сечения опорного ребра составит 152=30 , что значительно превышает требуемую площадь.

Участок стенки балки составного сечения над опорой при укреплении его ребрами жёсткости следует рассчитывать на продольный изгиб из плоскости как стойку, нагруженную опорной реакцией. В расчётное сечение этой стойки следует включать сечение опорного ребра и полосу стенки шириной 0,65t c каждой стороны ребра. Расчётную длину стойки следует принимать равной высоте стенки.

Расчёт на устойчивость следует выполнять по формуле:


- коэффициент продольного изгиба, определяемый по табл. 72 СНиП II 23-81 в зависимости от


 - расчётная длина стойки;  - радиус инерции сечения.

Геометрические характеристики сечения, рассчитываемого на продольный изгиб (опорная часть стенки совместно с опорным ребром), определяются для полосы стенки шириною:


Определим геометрические характеристики сечения:

А=215+16,271=46,27


За расчётную длину принимается высота стенки на опоре =130 см тогда гибкость равна

Для =37 и  = 3350  коэффициент продольного изгиба  по интерполяции =0,884.

Рассчитываем прикрепление ребра к стенке двусторонними швами с помощью полуавтоматической сварки проволокой Св-08А. (табл 4 СНиП II 23-81) =4200по табл 3 СНиП II 23-81   где  при  не более 5000 следует принимать =1,25. Тогда =  =1850 . Для проволоки марки Св-08А  - расчётное сопротивление металла граници сплавления сварного соединения с угловыми швами, принимаемое =0,45 (по табл 3 СНиП II 23-81) где  принимается равным временному сопротивлению по ТУ 14-1-3023-80, ГОСТ 380-71** (с 1990 г. ГОСТ 535-88) и ГОСТ 19281-73*.

=1710

 - коэффициенты глубины проплавления шва, принимаемые соответственно 0,9 и1,05 для полуавтоматической сварки;

 

Определяем катет сварных швов


Принимаем катет сварных швов =6 мм что соответствует

Проверка длины расчётной части шва не требуется.

Расчёт поясных швов

Соединение поясных листов ГБ со стенкой осуществляется поясными швами. Расчёт соединений ведётся на силу сдвига пояса относительно стенки. В сварных балках сдвигающая сила Т, приходящаяся на 1 см длины балки, определяется через касательные напряжения:


Где:  - статический момент пояса относительно нейтральной оси сечения балки.

В случае неподвижной нагрузки двусторонние угловые швы, соединяющие стенки и пояса составных двутавровых балок, рассчитываются по формулам:


Где: Т-сила, сдвигающая пояс балки относительно стенки;  - высота катета шва, необходимая для восприятия сдвигового усилия.

Высота катета шва из условия прочности металла шва:

=


Высота катета шва из условия прочности металла границы сплавления

=


Высота катета шва из конструктивных требований определяется по т 38 СНиП. Минимальная высота катета шва при толщине наиболее толстого из сварных элементов t=20 мм для таврового сечения с двусторонним угловыми швами при ручной автоматической и полуавтоматической сварке для стали с пределом текучести до 430 МПа равна =6 мм. Окончательно высота катета шва, соединяющего пояса и стенку главной балки, назначается =6 мм.

8. Конструирование и расчёт монтажного стыка

Монтажный стык ГБ устраивается в одном из средних отсеков на расстоянии 5,5 м от опоры.

Изгибающий момент, воспринимаемый стенкой




Где: - изгибающий момент, воспринимаемый всем поперечным сечением ГБ (принимается максимальное значение усилия, поскольку стык выполняется в середине пролёта балки);  - фактический момент инерции стенки ГБ;  - фактический момент инерции всего сечения ГБ.

Усилие воспринимаемое поясом ГБ:


Где:  - расстояние меду осями поясных листов, яалящеесяя плечом изгибающего момента.

Монтажный стык ГБ рассчитывается в двух вариантах: сварной стык и стык на высокопрочных болтах.

Поскольку при монтаже автоматическая сварка и повышенные способы контроля затруднены, пояса свариваются косым швом, угол наклона оси шва к оси пояса φ=45°




Условие прочности


Где -расчётное сопротивление по пределу текучести стыкового шва;  - расчётное сопротивление сварного соединения сдвигу,

Т.е. прочность сварного монтажного стыка пояса ГБ обеспечена.

Косой сварной шов не рекомендуется к применению но угол больший чем 45 не обеспечивает выполнение условия прочности.

9. Болтовой стык пояса

В последнее время монтажные стыки, чтобы избежать сварки на монтаже, выполняют на высокопрочных болтах. В таких стыках стенка балки и пояса перекрываются накладками, а площадь сечения нетто Ап элемента, ослабленного отверстиями, в расчете принимается равной площади сечения брутто А, если Ап > 0,85А. Если Ап < 0,85А, тогда А=1,18Ап.

Рассмотрим расчет стыка балки на высокопрочных болтах для того же сечения на расстоянии 6,3 м от опоры.

Стык поясов перекрываем тремя накладками - одной сверху сечением 221,2 см и двумя снизу сечением 131,2 см, в качестве болтов используются высокопрочные болты d= 20 мм из стали марки 30Х2НМФА по ГОСТ 22356-77*, перед постановкой накладок поверхности соединяемых элементов обрабатываются пескоструйным аппаратом.

Расчетное усилие, которое может быть воспринято каждой поверхностью трения соединяемых элементов, стянутых одним высокопрочным болтом, следует определять по формуле:


где:  - расчетное сопротивление растяжению высокопрочного болта, определяемое по формуле (3) СНиП в зависимости от наименьшего сопротивления болта разрыву (наименьшее временное сопротивление болта разрыву, принимаемое по т 61 СНиП);  - коэффициент условий работы соединения, зависящий от количества болтов, необходимых для восприятия расчетного усилия;  - площадь сечения болта нетто;  и  - соответственно коэффициент трения и коэффициент надежности.

 кгс/см2 - для марки стали болта 30Х2НМФА;  = 0,9 - для 5 < п < 10;

 = 2,45 см2 - для болта d = 20 мм;  = 0,58;  = 1,02 - при статической нагрузке и разности номинальных диаметров отверстий и болтов d= 1-4 мм.

Количество высокопрочных болтов в соединении при действии продольной силы следует определять по формуле:




где: к - количество поверхностей трения соединяемых элементов (в случае соединения одним болтом трех листов к = 2).

Принимается 8 болтов d= 20 мм. Устанавливаемых в отверстия d= 22 мм. Указанное количество болтов устанавливается по каждую сторону от центра стыка. В соответствии с табл. 39 СНиП.

Зная диаметры отверстий под болты, можно определить фактическую площадь отверстия:


Где  - количество болтов в одном сечении полки.

,15А=12

,6 > 12

Значит необходимо провести расчёт на прочность сечения нетто с учётом того, что половина усилия уже передана силами трения:

-17,6=62,4 см4






1141.487 < 3350

Т.е. прочность сечения ГБ ослабленного отверстиями под болт, будет обеспечена.

10. Болтовой стык стенки

Прочность ГБ не будет нарушена, если площадь отверстий под болты в стенке не превысит следующего значения:

Для расчёта принимается следующее соединение. Стык стенки перекрывается двумя накладками с дух сторон сечением 123 см, в качестве болтов используются высокопрочные болты d= 20 мм из стали марки 30X2HМФА по ГОСТ 22356-77*, устанавливаемые с шагом 15 см.

Изгибающий момент, приходящийся на стенку, уравновешивается суммой внутренних пар усилий, действующих на болты, расположенные на стыковой полунакладке симметрично относительно нейтральной оси балки:


Где m - число вертикальных рядов болтов в одной полунакладке; -плечо пар усилий в равноудалённых от нейтральной оси болтах.

Все усилия  можно выразить через  из подобия преугольников.


Поскольку = и = расчёт монтажного стыка стенки ГБ моно свести к следующей формуле:


Где:  - коэфициент уловной работы соединения при n≥10 =1 (т 35* СНиП), =2,45 d= 20 мм;  - коэффициент трения (т 36* СНиП) =0,58 дробемётный или дробеструйный двух поверхностей с консервацией,  - коэффициент надёжности (т 36* СНиП) при =1,02 при статической нагрузке и разности номинальных диаметров отерстий и болтов от 1 до 4 (у нас 2). - расчётное сопротивление растяжению высокопрочного болта

В случае соединения одним болтом трёх листов каждый болт имеет де поверхности трения, поэтому усилие, которое может быть воспринято одним болтом, равно


Т.е. несущая способность одного болта больше усилия, которое необходимо воспринять болтом крайнего ряда (максимальное усилие возникающее монтажном стыке стенки).

Зная диаметр отверстий под болты, можно определить фактическую площадь отверстий и сравнить её с допустимой:


Где  - количество болтов в одном сечении стенки;

Т.е. прочность сечения ГБ, ослабленного отверстиями под болты, будет обеспечена.

11. Уточнение собственного веса ГБ

Для того, что бы последствии правильно собрать нагрузки на колонну при её статическом расчёте, необходимо уточнить нагрузку от собственного веса ГБ, принятую ориентировочно при статическом расчёте ГБ.

Главная балка балочной клетки, двух полок различной ширины в пролёте и в участках, пяти основных поперечных рёбер жёсткости с каждой стороны балки и двух опорных рёбер.

Собственный вес стенки:


Собственный вес полок:




Собственный вес рёбер жесткости:


Собственный вес опорных рёбер:


Собственный вес ГБ:


12. Конструирование и расчёт колонны

Сбор нагрузок и статический расчёт

Для расчёта принимаем колонну К-4, как максимально нагруженная.

Нагрузка, действующая на колонну, складывается из нагрузки, передаваемой главной балкой, и собственного веса колонны.


Где  - фактическая линейная плотность ГБ.



Собственный вес 1 п.м. колонны ориентировочно принимается равным 0,4 - 0,8 кН/м

Высота колонны: м

Вес колонны:

Продольная сила, возникающая в сечениях максимально нагруженной колонны равна:

N=2

Крепление колонны в фундаменте следует принять шарнирное. При этом необходимо для соответствия расчётной схемы действительной установить вертикальные связи между колоннами.

Расчётную длину колонны постоянного сечения следует определять по формуле:


Где:  - коэффициент расчётной длины. С учётом того что мы пока не знаем сечение колонны примем наихудший вариант закрепления при котором ; l - фактическая длина стержня колонны.

Подбор сечения стержня

Колонна проектируется сквозного сечения из двух ветвей, выполненных из швеллеров, расположенных стенками наружу, ветви соединены планками.

Чтобы колонна была равноустойчивой, гибкость её в плоскости оси Х должна быть равна гибкости в плоскости оси Y. В случае сквозной колонны ось Х проходит через стенки швеллеров и называется материальной, а ось Y проходит через соединительные планки и называется свободной.

Подбор сечения сквозной колонны начинается с расчёта на устойчивость относительно материальной оси Х. Первоначально задаётся гибкость , которая соответствует .

Определим требуемую площадь сечения колонны из условия устойчивости:


Данному значению площади соответствует сечение из двух швеллеров №24 по ГОСТ 8240-72 с площадью и радиусом инерции

Гибкость стержня:


При котором  по интерполяции 0,1059

Проверим действующее напряжение


Т.е.необходимо увеличить сечение

Возьмём швеллер №40 с площадью и радиусом инерции


При котором  по интерполяции 0,258

Проверим действующее напряжение


Т.е. подобранное сечение удовлетворяет условию устойчивости центрально сжатого элемента.

Выпишем из сортамента геометрические характеристики сечения швеллера №40

А=61,5 ; ; ; ;  ; ; z = 2,75 см

После подбора сечения стержня колонны по устойчивости относительно материальной оси Х необходимо определить расстояние между ветвями колонны из условия равноустойчивости. Расстояние между ветвями определяется по приведённой гибкости , которая вследствие деформативности решетки всегда больше теоретической. Приведённая гибкость стержня колонны определяется по табл 7 СНиП в зависимости от следующего соотношения:


Где:  - момент инерции сечения одной планки; I - расстояние между осями планки; -момент инерции одной ветви колонны относительно собственной оси ;  - ширина стержня колонны.

Для того, что бы определить величины, связанные с сечением соединительных планок, необходимо задаться поперечными размерами планок. Высота планки назначается равной 0,5-0,75, ширины колонны, принимается . Толщина планки назначается равной 0,04-0,06 её высоты, принимается

Момент инерции планки относительно собственной оси:


Гибкость отдельных ветвей на участке между планками должна быть не более 40. Принимается гибкость , тогда расстояние между планками определяется следующим образом:


С учётом того что ширина колонны в осях примерно равна высоте сечения и минимально необходимое расстояние между ветвями колонны из требования их обслуживания составляет 100 мм, ориентировочно можно принять , тогда:

=(

Этом случае приведённая гибкость стержня колонны определяется по формуле



Таким образом, требуемое значение гибкости колонны относительно свободной оси можно определить следующим образом:


Данному значению гибкости соответствует следующее значение радиуса инерции сечения относительно свободной оси:


Ширину стержня колонны по данному радиусу инерции сечения можно определить по формуле:

; откуда

Кроме того ширина колонны должна быть не меньше двойной ширины полок швеллеров с учётом зазора, необходимого для окраски внутренних поверхностей стержня (10 см);


Т.е. вычисленную ширину стержня колонны  можно принять за окончательную.

Геометрические характеристики составного сечения колонны:



Этому значению соответствует найденное по интерполяции значение φ=0,249

Проверим напряжения относительно сквозной оси колонны


Т.е. устойчивость колонны обеспечена.

Расчёт соединительных планок

Расчёт соединительных элементов сжатых составных стержней (в данном случае, планок) должен выполняться на условную поперечную силупринимаемую постоянной по всей длине стержня и определяемую по формуле

Где: - предельное усилие в составном стержне; - коэффициент продольного изгиба, принимаемый для составного стержня в плоскости соединительных элементов.

Условная поперечная сила приходящаяся на планку


Расчёт соединительных планок и их прикрепления должен выполняться как расчёт безраскосных элементов на силу F, срезывающую планку. И на момент , изгибающий планку в её плоскости, по формулам:


Соединительные планки крепятся к ветвям колонны угловыми сварными шами с высотой катета шва  с заводкой швов за край планки. Площадь шва соответственно по металлу шва и по металлу границы сплавления:

0,8

0,8

Момент сопротивления шва соответственно по металлу шва и по металлу границы сплавления определяется аналогично:



Фактические напряжения в сварном шве соответственно в металле шва и на границе сплавления определяется следующим образом:


Фактические суммарные напряжения не должны превышать расчётных сопротивлений шва по металлу шва и по металлу границы сплавления соответственно:




Прочность швов, крепящих планку к ветвям колонны, обеспечена.

13. Конструирование и расчёт базы колонны

Ширина опорной плиты базы колонны назначается конструктивно


Где:  - высота ветви колонны; а - свес плиты, ориентировочно принимаемы равным 5-10 см.

Нагрузка действующая на плиту базы равна усилию в колонне. Материал фундамента - бетон класса В10, . Из условия обеспечения прочности бетона фундамента найдём необходимую площадь плиты:


Тогда необходимая длина плиты базы

L=A/B=/56=46,85

Назначим плиту сечением 56

Расчётной нагрузкой на плату является давление, равное напряжению в фундаменте:




Определим изгибающий момент на различных участках в плите условно принимая в расчёт полоску шириной 1 см

Расчёт участка плиты следует производить как консоли при b/a≤ 0,5 где b - длина консоли, а - закреплённая сторона пластины


Если b/a> 0,5, то правильнее рассматривать плиту как пластину при опирании на три канта, где b - закреплённая сторона пластины, а - свободная:


Где коэффициент  принимается по т 8,7 СНиП

При опирании на четыре каната:


Где  принимается по т 8,6 СНиП,  - размер меньшей стороы.

Участок 1 работает как консольная балка с пролётом b=8 см

Участок 2 работает как пластина, опертая на три стороны, однако приb/a=5,5/40=0,137<0,5 расчёт ведётся как для консольного участка:

Участок 3 работает как пластина, опертая на четыре канта. При b/a=36/40=0,9 и при а=0,045

Требуемую толщину плиты определим по максимальному моменту:


Принимаем плиту толщиной =30 мм

Высота траверсы определяется из условия размещения сварных швов, крепящих её к стержню колонны. Необходимая длина швов при высоте катета  (толщину траверсы назначаем, как и толщину планок, равной 10 мм)

По металлу шва:


По границе сплавления:


По наибольшему значению  назначаем высоту траверсы 26 см.

Проверка прочности на изгиб


Где  - погонная нагрузка на траверсу,

Расчётным сечением траверсы будет сечение в плоскости изгиба. Момент сопротивления этого сечения:


По условию прочности


Проверка прочности на изгиб выполняется.

14. Конструирование и расчёт оголовка колонны

Конструкция оголовка колонны должна обеспечить принятое ранее шарнирное крепление балки на опорах. Самым простым способом реализации шарнирного опирани является постановка балки на колонну сверху что обеспечивает простоту монтажа.

Расчётным элементом при таком опирании является ребро, поддерживающее плиту оголовка, толщину которой назначают конструктивно в пределах 20-25 мм.

Толщину ребра оголовка определяют из условия сопротивления на смятие под полным опорным давлением:


Где  - длина ребра =b-2; N - опорное давление ГБ: -расчётное сопротивление смятию =

Принимаем ребро толщиной

Швы крепящие ребро к плитке, должны быть рассчитаны на действие той же силы N. Определим необходимую высоту швов из условия их прочности.

По металлу шва


По границе сплавления:


В обеих формулах длина сварного шва принята

Требуемая высота катета шва

По металлу шва:


По границе сплавления:



15. Расчёт сопряжения второстепенной балки с главной

Расчёт сопряжения балок заключается определении числа болтов, работающих на срез и прикрепляющих полки друг к другу. Расчётной силой является опорная реакция второстепенной балки, увеличенная на 20% вследствие внецентренности передачи усилия на стенку главной балки:

Для расчета принимается следующее соединение. К торцу второстепенной балки приваривается коротыш из уголка 11070x8, который на монтаже сопрягают болтами с ребром жесткости главной балки.

Расчетное усилие, которое может быть воспринято одним болтом на срез, следует определять по формуле:


где  - расчетное сопротивление болтового соединения срезу;= 1900 (кгс/см2); A =( - расчетная площадь сечения стержня болта;  - число расчетных срезов одного болта; =l;  - коэффициент условий работы соединения;  = 0,9 - для многоболтового соединения в расчетах на срез при болтах классов точности В и С.

Расчетное усилие , которое может быть воспринято одним болтом по смятию элементов, следует определять по формуле:


где  - расчетное сопротивление болтового соединения смятию;  = 4350 (кгс/см2);  - коэффициент условий работы соединения;  =0,9 - для многоболтового соединения в расчетах на срез при болтах классов точности В и С; d = 2 см - наружный диаметр стержня болта;  - наименьшая суммарная толщина элементов, сминаемых в одном направлении; = 0,7 см;

Количество болтов п в соединении при действии продольной силы N следует определять по формуле:


Болты следует размещать в соответствии с табл. 39 СНиП

предъявляющей конструктивные требования к болтовому соединению - расстояния между центрами болтов в любом направлении и расстояния от центра болта до края элемента. В соответствии с этими требованиями принимается 2 болтов d=20 мм, устанавливаемых в отверстия d= 23 мм. На расстоянии от краев 3d=32.3=6,9 см, тогда с учётом того что высота БН 22 см расстояние между болтами будет 6,63, что соответствует требованиям по минимальному и максимальному расстоянию между болтами из табл 39 СНиП.

Расчетная высота катета сварного шва, крепящего соединительный уголок к второстепенной балке, определяется из условий прочности углового шва на срез:

По металлу шва


По границе сплавления:

В соответствии с конструктивными требованиями к сварным соединениям катеты угловых швов следует принимать по расчету, но не менее указанных в табл. 38СНиП

Конструктивная высота катета сварного соединения должна быть не менее 0,6 см, поэтому принимаем kf = 0,6 см. При этом следует иметь в виду, что шов по отношению к линии действия усилия N является фланговым, а его длина назначается не более . А нам требуется 19 см. Поэтому примем катет шва 0,6 см.


Список литературы

1. Н.С. Москалев, Я.А. Пронозин Металлические конструкции. Учебник / М.: Издательство Ассоциации строительных вузов, 2007. - 344 с.

. СНиП II-23-81*. Нормы проектирования. Стальные конструкции. Госстрой СССР. - М.: Стройиздат, 1990.

. Методические указания по выполнению курсового проекта по дисциплине «Металлические конструкции» «Балочное перекрытие рабочей площадки», Денисов М.Г. ТюмГАСУ 2005 г.

Похожие работы на - Расчет и конструирование элементов балочной клетки

 

Не нашли материал для своей работы?
Поможем написать уникальную работу
Без плагиата!
Без нейросетей!