Строительно-монтажные работы по устройству фундаментов промышленного здания
Содержание
Введение
Задание
на выполнение курсовой работы
.
Исходные данные для разработки курсовой работы: характеристики грунтов
.
Подсчет объемов земляных работ
.1
Определение типа и параметров земляного сооружения
.2
Подсчет объемов земляных работ
.
Выбор комплекта машин для экскавации грунта
.1
Выбор одноковшового экскаватора
.2
Выбор автосамосвала
.3
Выбор средств механизации для обратной засыпки и уплотнения грунта
.
Технико-экономические расчеты
.1
Расчет затрат труда и машинного времени
.2
Определение производительности и стоимости одного машино-часа работы ведущей
землеройной машины
.
Техника безопасности
Список
литературы
Введение
В данном курсовом проекте
рассматриваются строительно-монтажные работы по устройству фундаментов
промышленного здания:
· Срезка
растительного слоя;
· Отрывка грунта в
траншеях и котлованах для установки сборных фундаментов;
· Доработка и
зачистка дна котлованов, установка фундаментов на песчаную подготовку;
· Транспортирование
грунта в отвал автосамосвалами;
· Засыпка бульдозером
пазух фундаментов с уплотнением грунта вручную на 540 см от тела фундамента и
трамбованием механическими трамбовочными машинами остального грунта.
Курсовой проект относится к
разделу технологического проектирования и включает в себя: разработку
оптимальных технологических, технических, экономических и организационных
условий для выполнения строительно-монтажных работ, обеспечивающих выпуск
строительной продукции в намеченные сроки, при минимальном расходе всех видов
ресурсов, с обеспечением требуемого качества продукции, при соблюдении
требований по безопасности труда.
Место строительства - Санкт-Петербург (принять
самостоятельно).
Количество шагов - 10 - (принять равным 10).
Количество пролетов - 4 - (принять равным 4).
Шаг - 9 м, пролет - 12 м.
Расстояние от места строительства до отвала - 8
км.
Материал дорожного покрытия - асфальт.
Начало строительства - 04.05.2015 (принять
самостоятельно).
Вид грунта супесь.
Размеры фундамента, мм: А = 3500; a = 1650; B =
2500; b = 1050.
Относительная отметка Н2 = -2.600
1. Исходные данные для
разработки курсовой работы: характеристики грунтов
Таблица 1 Исходные данные
|
№
п/п
|
Наименование
показателя
|
Ед.изм.
|
Значение
|
|
1
|
Группа
грунта по трудности разработки согласно ЕНиР, сб.2: Для экскаватора Для
бульдозера Для разработки вручную
|
-
- -
|
II-III II II
|
|
2
|
Средняя
плотность в естественном залегании α
|
кг/м3
|
1650
|
|
3
|
Коэффициент
первоначального увеличения объема грунта после разработки Кп.р.
|
%
|
15
|
|
4
|
Коэффициент
остаточного разрыхления грунта после уплотнения, Ко.р.
|
%
|
3
|
|
5
|
Значение
крутизны откоса 1:m
|
1:м
|
1:0,67
|
2. Подсчет объемов земляных
работ
.1 Определение типа и параметров
земляного сооружения
Размер котлованов и траншей принимается с учетом
наибольшей крутизны откоса (1:0,67) и уширения дна для обеспечения работы
рабочих вокруг фундамента, а также для устройства подготовки под фундамент.
Глубина котлована Н, м.
Н=(Н2-Н0)
Где Н2 = -2.600
Н0 =0.000
Н=2,6 м
b=90,0+(1,75+0,2)*2=93,9
м
d=93,9+2*2,6*0,67=97,4
м
а=0,2*2+1,25*2=2,9
м
с=2,9+2*2,6*0,67=6,4
м
2.2 Подсчет объемов земляных работ
грунт земляной экскавация сооружение
Расчет объема котлована Vк,
м3, выполняется по следующей формуле
Vк
=
,
где nВ
-
число выемок.
Vк
=
м3
Под фундаментами делается основание,
представляющее собой песчаную подушку толщиной D не менее
0,1 м. На песчаных грунтах дорабатывается недобор, оставляемый экскаватором, и
производится зачистка площадки по рейке или планировка площадки.
Объем работ Vд выполняемых вручную, определяется
по формуле:
FД=abnф,
м2
VД=
FД*δ,
м3
FД=3,5*2,5*55*0,15=72,19
м3
где пф - число фундаментов.
Площадь срезаемого растительного слоя
определяется из условий, что грунт срезается на расстояние не менее 10 м от
крайних осей здания.
Sр. сл.
= (90+10+10)*(48+10+10)=7480 м2
Объем работ при срезке растительного слоя
Vр.сл.=
Sр. сл.*hр.сл.=7480*0,3=2244
м3
Общий объем механизированных земляных работ:
Vобщ.=Vк.+Vр.сл.
Vобщ.=5782+2244=8026
м3
При разработке грунт разрыхляется, что приводит
к увеличению объема вследствие первоначального разрыхления, а при устройстве
обратных засыпок и механизированного уплотнения грунт все равно не занимает
того естественного объема, который занимал до разработки, сохраняя остаточное
разрыхление.
Эти положения учитываются при расчете объема
обратной засыпки пазух котлована:
Vо.з.=(Vобщ
- Vф)/Ко.р.,
где
VК
- объём котлована, м3,
VФ
= (3,5*2,5*0,5+1,65*1,05*1,95)*55=426,4 м3- объём фундамента,
заглублённого в грунт,
Ко.р. - коэффициент остаточного
разрыхления грунта.
Vо.з.=(8026-
426,4)/1,02=7450,6 м3
Если для обратной засыпки используется вынутый
при экскавации грунт, определяется объем транспортировки грунта Vт
±Vт=(Vк
- Vо.з)*(1+Кп.р.)
Vт=(5782-7450,6)*(1+0,15)=-1918,9
м3
Недостаток восполняется завозом грунта из
карьера.
Объем кавальера (отвала), м:
Vкав.=
Vо.з*(1+
Кп.р.), где
Кп.р. - коэффициент первоначального
разрыхления грунта.
Vкав.=
7450,6*(1+0,15)=8568,19 м3
Объем работ по засыпке пазух котлована с
трамбованием вручную ориентировочно будет равен произведению геометрической
площади боковой поверхности фундамента на значение минимального расстояния от
уплотняющих машин до фундамента (0,5 м).
Vтрамб.руч.=k*Sбок.фунд.*0,5,
где
k - количество
фундаментов.
Vтрамб.руч.=55*0,5*(3,5+2,5)*0,5=82,5
м3
Объем трамбования механизированным способом, м:
Vтрамб.мех.=
Vо.з
- Vтрамб.руч.
Vтрамб.мех.=
7450,6- 82,5=7368,1 м3
3. Выбор комплекта машин для
экскавации грунта
.1 Выбор одноковшового экскаватора
Выбор экскаватора, его ходового и рабочего
оборудования зависит от размеров выемки, объемов работ, условий разгрузки ковша
при работе навымет и в транспорт, группы трудности разработки грунта и его
влажности.
Одноковшовые экскаваторы с рабочим оборудованием
«обратная лопата» применяются для разработки траншей и неглубоких котлованов
ниже уровня стоянки, причем для грунтов III-IV группы рекомендуются машины с
гидравлическим приводом.
Для разработки грунта ниже уровня стоянки
применяется также рабочее оборудование «драглайн», имеющее большие радиус и
глубину копания. Экскаваторы с таким оборудованием эффективны при разработке
грунтов I-II группы или, с уменьшенным по емкости ковшом, III-IV группы
трудности разработки, особенно обводненных и со слабой несущей способностью.
Для рытья глубоких и широких траншей и котлованов в слабовлажных грунтах любой
группы можно применять экскаваторы «прямая лопата», работающие на дне
разрабатываемой выемки, с погрузкой грунта в транспортные средства, которые
перемещаются по дну отрываемого земляного сооружения.
Объем ковша экскаватора q рекомендуется выбирать
в зависимости от объема работ Vк
По объему работ рекомендуемый объем ковша
экскаватора 0,63-1 м3. Принимаем экскаватор ЭО-4124 с гидравлическим
приводом на гусеничном ходу.
Таблица 2 Технические характеристики экскаватора
ЭО-4121Б
|
Наименование
показателя
|
Ед.изм.
|
Значение
|
|
Вместимость
ковша q
|
м3
|
0,65
|
|
Группы
разрабатываемого грунта
|
|
II-III
|
|
Глубина
копания Hк
|
м
|
6,0
|
|
Наибольший
радиус копания Rк
|
м
|
9,4
|
|
Радиус
задней части поворотной платформы rк
|
3,15
|
|
Расстояние
от оси пяты стрелы до оси вращения rш
|
м
|
0,52
|
|
Высота
оси пяты стрелы hш
|
м
|
2,05
|
|
Ходовое
оборудование
|
|
гусеничное
|
|
База,
Б
|
м
|
2,9
|
|
Колея,
К
|
м
|
2,35
|
|
Усилие
на зубьях ковша S0
|
кН
|
140
|
|
Продолжительность
рабочего цикла ц
|
с
|
19
|
Расчет забоя одноковшового
экскаватора «обратная лопата»
Расстояние от передней опоры экскаватора до
бровки откоса lmin (ширина бермы безопасности) должно исключать
обрушение откоса, сползание или опрокидывание экскаватора в разрабатываемую
выемку. Ширина бермы безопасности определяется размерами призмы обрушения и
является минимальным расстоянием для установки или движения транспортных,
землеройных, грузоподъемных и других машин, укладки кавальера от бровки откоса.
На увлажненных грунтах (рис):
lmin=H(mB-m)+0,5=2,6*(1,35-0,67)+0,5=2,3
м > 1,5 м,
где mB=1,35
- заложение откоса на увлажненном грунте.
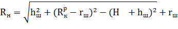
Определение расстояния от передней опоры до
бровки откоса на увлажненных грунтах
Расстояние от оси вращения поворотной платформы
до бровки откоса Rст должно быть не меньше, чем:
,
где l0 - расстояние от оси вращения
до передней опоры экскаватора.
У гусеничных машин
,
где Б - продольная база машины.
.
.
Тогда наименьший радиус копания по дну проходки
Rminн:
.
м
м
Так как технические характеристики экскаваторов
в реальных условиях полностью не реализуются, рабочий радиус копания
принимается:
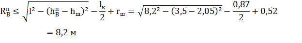
Rр=(0,85-0,95)Rк
Rрк=0,9*9,4=8,46
м
Наибольший радиус копания на глубине H
определяется
,
.
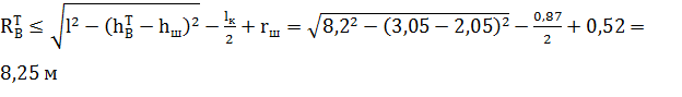
Для производительной работы экскаватора шаг его
перемещения в забое Lп должен быть не менее рекомендованного
.
.
.
Схема для расчета забоя
Радиус выгрузки в транспортное средство RВТ
(рис. 4,а)
,
,
где
-
необходимая высота выгрузки;
- высота
транспортного средства;
- длина ковша;-
вместимость ковша;
- запас высоты
режущей кромки (зубьев) ковша над призмой грунта в транспорте:
,
где Δh - превышение
призмы грунта в транспортном средстве над его бортом, Δh
= 0,3 м;
- запас высоты
режущей кромки ковша над призмой грунта; для гидравлических экскаваторов
=0,1-0,3м;
для механических
=0,3-0,5м.
Расстояние между кузовом экскаватора и
транспортным средством должно быть не менее 1 м.
При работе экскаватора навымет необходимые
радиус RВН
и высота выгрузки зависят от расположения и размеров кавальера и его формы.
Поперечный разрез экскаватора «обратная лопата»
А) Работа в транспорт
Б) Работа навымет
Для кавальера треугольного сечения:

где
-
запас высоты выгрузки над кавальером:
для механического экскаватора - 0,1-0,3 м
для экскаватора с гидроприводом более
м
3.2 Выбор автосамосвала
При расстоянии транспортировки грунта свыше 500
м используются автосамосвалы. В первом приближении вид автотранспорта выбираем
по вместимости кузова самосвала (5-7 ковшей экскаватора).
Предварительно подходят два автосамосвала с
вместимостью кузова 5 м3 МАЗ 503Б и КамАЗ 5511.
Для исходных данных произведем расчеты для
выбора между двумя марками:
· грунт супесь;
· Средняя плотность в естественном
залегании α - 1650 кг/м3;
· Кн=1,1 - коэффициент наполнения
ковша;
Для выбранного экскаватора ЭО-4121Б
· q=0,65
м3 - вместимость ковша;
Таблица 3. Выбор автосамосвала по грузоподъемности
|
МАЗ
503Б
|
КамАЗ
5511
|
|
Грузоподъемность,
т
|
7
|
10
|
|
кол-во
ковшей, которые можно загрузить в самосвал
|
|
|
|
|
|
|
Фактический
объем загрузки самосвала, м3
|
|
|
|
Недогруз
(+) или перегруз (-)
|
|
|
Масса грунта в кузове автосамосвала не должна
превышать его грузоподъемность более чем на 5 %.
Принимаем автосамосвал МАЗ 503Б
-
продолжительность загрузки автомашины, мин:
мин
n - количество
ковшей с грунтом, шт., необходимое для погрузки в транспортное средство:
ц - общее количество рабочих циклов экскаватора
в минуту:
ц=60/продолжительность рабочего цикла
экскаватора в секунду;
Кв=0,7 - коэффициент использования рабочего
времени экскаватора при погрузке в автосамосвалы
Количество единиц техники N, маш., для
транспортировки грунта определяется из условия обеспечения бесперебойной работы
экскаватора.
, где
L - расстояние до
отвала, км;
, мин -
продолжительность пробега автомобиля со средней скоростью в оба конца с учетом
возможных перерывов во время рейса;
- время разгрузки
и маневрирования самосвала, мин.
.
График вывоза грунта
3.3 Выбор средств механизации для
обратной засыпки и уплотнения грунта
Засыпка пазух производится послойно бульдозерами
марки Д-259 на базе трактора - Т-100, тип отвала - поворотный, высота отвала -
1,1 м, длина отвала - 4,15 м, управление - канатное, мощность - 79 кВт, масса
бульдозерного оборудования - 2,27 т.
При этом толщина засыпаемого слоя для супеси -
60 см.
Уплотнение засыпаемого грунта в пазухах и между
фундаментами осуществляется гидромолотами типа СП-62, СП-71, «РАММЕР»,
виброплитами типа ДУ-90, ДУ-91, ДУ-12Б, навесными трамбовками и т.п.
План-схема уплотнения грунта
- фундамент;
- зона уплотнения грунта ручными трамбовками;
- зона уплотнения грунта механическими
трамбовками.
Грунт уплотняют, начиная с зон возле конструкций
здания, а затем двигаются в направлении к краю откоса, при этом каждый последующий
проход трамбующей машины должен перекрывать след предыдущей на 10-20 см.
При работе по уплотнению грунта вблизи
конструкций должны применяться ручные трамбовки с различными приводами типа
ИЭ-4505, ИЭ-4502А и т.п. Толщина отсыпаемого слоя должна быть не более 40 см,
количество проходов - не менее 4.
Схема обратной засыпки грунта в пазухи котлована
- фундамент;
- зона уплотнения грунта ручными трамбовками;
- зона уплотнения грунта механическими трамбовками.
4. Технико-экономические
расчеты
.1 Расчет затрат труда и машинного
времени (калькуляция трудозатрат, календарный план)
Расчет затрат труда и машинного времени на
устройство фундаментов выполняется в табличной форме на основании ЕНиР
(табл.3).
Трудоемкость работ Q,
чел-дн. (маш.-см.) определяется по следующим формулам:
Q=Hвр*V/8,
где
Hвр -
нормы времени пог ЕНиР для людей и машин;
V - объемы работ -
количество единиц, на которое рассчитаны Hвр;
- продолжительность смены, ч.
На основании ведомости затрат труда и машинного
времени разрабатывается календарный план производства земляных работ. В основу
построения календарного плана положен поточный метод организации труда с
непрерывным использованием ресурсов.
Таблица 3 Ведомость затрат труда и машинного
времени
|
№
п/п
|
ЕНиР
|
Объем
(по ЕНиР)
|
Нвр.
|
Трудоемкость
Q, чел./ч.
|
Общая
трудоемкость
|
Состав
звена по ЕНиР
|
|
|
|
ед.изм.
|
кол-во
|
чел.-час.
|
маш.-час.
|
рабоч.
|
маш.
|
|
|
|
1
|
Срезка
растительного слоя бульдозерами
|
Е2-1-5,
б, 1
|
1000
м2
|
7,48
|
|
1,80
|
0,00
|
13,46
|
13,46
|
Машинист
6 разр.
|
|
2
|
Разработка
грунта II категории одноковшовым экскаватором "обратная лопата",
при емкости ковша 0,4 м3: с погрузкой на транспорт
|
Е2-1-11,
Б, табл. 4, в, 1
|
100
м3
|
|
|
6,70
|
0,00
|
0,00
|
0,00
|
машинист
5 разр.
|
|
Разработка
грунта II категории одноковшовым экскаватором "обратная лопата",
при емкости ковша 0,4 м3: навымет
|
Е2-1-11,
Б, табл. 4, е, 2
|
100
м3
|
85,68
|
|
5,40
|
0,00
|
462,67
|
462,67
|
машинист
5 разр.
|
|
3
|
Доработка
грунта II категории вручную на глубине до 3 м при отсутствии креплений и при
выкидке грунта на одну сторону
|
Е2-1-47,
Б, табл. 2, е,4, табл. 3, б, 2
|
м3
|
72,19
|
2,03
|
|
146,55
|
0,00
|
146,55
|
землекоп
2 разр.
|
|
4
|
Зачистка
дна котлована в грунте II категории естественного залегания
|
Е2-1-60,
б, 9
|
100
м2
|
13,62
|
8,40
|
|
114,4
|
0,00
|
114,4
|
землекоп
2 разр.
|
|
5
|
Установка
фундаментов массой до 3,5 т
|
Е4-1-1,
табл. 2, а, б, 7
|
1
шт.
|
55,00
|
1,60
|
0,53
|
88,00
|
29,15
|
117,15
|
|
6
|
Засыпка
пазух траншей и котлованов грунтом II категории слоями 0,2 м с трамбованием
пневмотрамбовками
|
Е2-1-58,
табл.2, б, 2
|
1
м3
|
82,50
|
0,86
|
|
70,95
|
0,00
|
70,95
|
землекоп
2 разр., 1 разр.
|
|
7
|
Засыпка
траншей бульдозерами грунтом II категории на расстояние 8 км
|
Е2-1-34,
б, д, 2
|
100
м3
|
19,20
|
|
114,43
|
0,00
|
2197,06
|
2197,06
|
машинист
6 разр.
|
|
8
|
Уплотнение
грунта уплотняющей машиной слоями до 0,6 м
|
Е2-1-33,
а, 2
|
100
м3
|
73,68
|
|
1,50
|
0,00
|
110,52
|
110,52
|
машинист
5 разр.
|
4.2 Определение производительности и
стоимости одного машино-часа работы ведущей землеройной машины
Эксплуатационная сменная производительность
экскаватора Пэ, м/см, зависит от конструкции и условий работы
машины.
Пэ=Т*60*q*ц*Ке*Кв,
где
Т=8 ч - продолжительность смены;
q - геометрическая
емкость ковша, м;
ц - общее количество циклов экскаватора в
минуту;
Ке - коэффициент использования
емкости ковша, зависящий от коэффициента наполнения ковша, равного 1,05, и Кпр;
Ке=1,05/(1+ Кпр)
Кв - коэффициент использования
экскаватора по времени: при погрузке на транспорт равен 0,62, на работе в
кавальер(навымет) - 0,75.
Пэ=8*60*0,65*60/19*1,05/1,15*0,75=674,7
м/см
Себестоимость 1 маш.-ч экскаватора С, р., в
ценах 1984 г.
С=Е/Т+Сг/Тn+Сэ,
где
Е - единовременные расходы, р., на доставку,
монтаж и демонтаж экскаватора (Е=17,75 р.)
Т=8 ч - продолжительность работы машины на
объекте в смену;
Сг - годовые затраты, р., включающие
в себя начисленные на год амортизационные суммы на полное восстановление и
капитальный ремонт экскаватора (Сг=4342 р.)
Тn
=300 см*8 ч=2400 маш.-ч., - средняя продолжительность работы экскаватора в
году;
Сэ - текущие эксплуатационные расходы,
р., начисленные на 1 ч смены и включающие в себя заработную плату персонала,
обслуживающего экскаватор, стоимость энергоматериалов, затраты на техническое
обслуживание и текущий ремонт экскаватора (Сэ =3,22 р.)
С=17,75/8+4342/2400+3,22=7,25 р.
Коэффициент, учитывающий почасовую себестоимость
и производительность при работе экскаватора на транспорт и навымет
З=С/П, где
П - нормативная производительность экскаватора
при отрывке грунта.
П=1/Нвр, где
Нвр - нормы времени (затраты машинного времени),
ч, экскаватора на отрывку 100 м грунта заданной категории и глубины копания (по
ЕНиР) при работе на транспорт и навымет.
З=7,25*5,4/1=39,15
5. Техника безопасности
1. До начала производства земляных работ в
местах расположения действующих подземных коммуникаций должны быть разработаны
и согласованы с организациям, эксплуатирующими эти коммуникации, мероприятия по
безопасным условиям труда, а расположение подземных коммуникаций на местности
обозначено соответствующими знаками или надписями.
2. Производство земляных работ в
зоне действующих подземных коммуникаций следует осуществлять под
непосредственным руководством прораба <http://job.ru/> или мастера, а в
охранной зоне кабелей, находящихся под напряжением, или действующего
газопровода, кроме того, под наблюдением работников электро- или газового
хозяйства.
. При обнаружении взрывоопасных
материалов земляные работы в этих местах следует немедленно прекратить до
получения разрешения от соответствующих органов.
. Перед началом производства
земляных работ на участках с возможным патогенным заражением почвы (свалка,
скотомогильники, кладбища и т.п.) необходимо разрешение органов
Государственного санитарного надзора.
. Котлованы и траншеи,
разрабатываемые на улицах, проездах, во дворах нас ленных пунктов, а также
местах, где происходит движение людей или транспорта, должны быть ограждены
защитным ограждением с учетом требований ГОСТ 23407
<http://files.stroyinf.ru/Data1/3/3783/index.htm>. На ограждении
необходимо устанавливать предупредительные надписи и знаки, а в ночное время -
сигнальное освещение.
Места прохода людей через траншеи
должны быть оборудованы переходными мостиками, освещаемыми в ночное время.
. Грунт, извлеченный из котлована
или траншеи, следует размещать на расстоянии не менее 0,5 м от бровки выемки.
. Разрабатывать грунт в котлованах и
траншеях "подкопом" не допускается.
. Валуны и камни, а также отслоения
грунта, обнаруженные на откосах, должны быть удалены.
. Рытье котлованов и траншей с
вертикальными стенками без креплений в нескальных и незамерзших грунтах выше
уровня грунтовых вод и при отсутствии вблизи подземных сооружений допускается
на глубину не более, м:
,0 - в насыпных, песчаных и
крупнообломочных грунтах;
,25 - в супесях;
,50 - в суглинках и глинах.
. Рытье котлованов и траншей с откосами
без креплений в нескальных фунтах выше уровня грунтовых вод (с учетом
капиллярного поднятия) или в грунтах, осушенных с помощью искусственного
водопонижения, допускается при глубине выемки и крутизне откосов согласно табл.
4.
Таблица 4
Крутизна
откоса (отношение его высоты к заложению) при глубине выемки, м, не более
|
|
1,5
|
3
|
5
|
|
Насыпные
неуплотненные
|
1:0,67
|
1:1
|
1:1,25
|
|
Песчаные
и гравийные
|
1:0,5
|
1:1
|
1:1
|
|
Супесь
|
1:0,25
|
1:0,67
|
1:0,85
|
|
Суглинок
|
1:0
|
1:0,5
|
1:0,75
|
|
Глина
|
1:0
|
1:0,25
|
1:0,5
|
|
Лессы
и лессовидные
|
1:0
|
1:0,5
|
1:0,5
|
. Крутизна откосов выемок глубиной более 5 м во
всех случаях и глубиной менее 5 м при гидрогеологических условиях и видах
грунтов, не предусмотренных п. 9.10 итабл. 4, должна устанавливаться проектом.
. При невозможности применения инвентарных
креплений стенок котлованов или траншей следует применять крепления,
изготовленные по индивидуальным проектам, утвержденным в установленном порядке.
. При установке креплений верхняя часть их
должна выступать над бровкой выемки не менее чем на 15 см.
. Устанавливать крепления необходимо в
направлении сверху вниз по мере разработки выемки на глубину не более 0,5 м.
Разборку креплений следует производить в
направлении снизу вверх по мере обратной засыпки выемки.
15. Разработка роторными и
траншейными экскаваторами в связных <http://svyaznoy.ru/> грунтах
(суглинках, глинах) траншей с вертикальными стенками без крепления допускается
на глубину не более 3 м. В местах, где требуется пребывание рабочих, должны
устраиваться крепления траншей или откосов.
. Производство работ в котлованах и
траншеях с откосами, подвергшимися увлажнению, разрешается только после
тщательного осмотра производителем работ (мастером) состояния грунта откосов и
обрушения неустойчивого грунта в местах, где обнаружены "козырьки"
или трещины (отслоения).
. Перед допуском рабочих в котлованы
или траншеи глубиной более 1,3 м должна быть проверена устойчивость откосов или
крепления стен.
. Котлованы и траншеи, разработанные
в зимнее время, при наступлении оттепели должны быть осмотрены, а по
результатам осмотра должны быть приняты меры к обеспечению устойчивости откосов
или креплений.
. В случаях необходимости выполнения
работ, связанных с электропрогревом грунта, должны соблюдаться требования пп.
6.4.1-6.4.12 СНиП 12-03 <http://files.stroyinf.ru/Data1/6/6017/index.htm>.
Прогреваемую площадь следует
ограждать, устанавливать на ней предупредительные сигналы, а в ночное время
освещать. Расстояние между ограждением и контуром прогреваемого участка должно
быть не менее 3 м.
На участках прогреваемой площади,
находящихся под напряжением, пребывание людей не допускается.
. Линии временного электроснабжения
к прогреваемым участкам грунта надлежит выполнять изолированным проводом, а
после каждого перемещения электрооборудования и перекладки электропроводок
следует визуально проверять их исправность.
. При извлечении грунта из выемок с
помощью бадей <http://notrit.ru/> необходимо устраивать защитные
навесы-козырьки для укрытия работающих в выемке.
. Погрузка грунта на автосамосвалы
должна производиться со стороны заднего или бокового борта.
. При разработке выемок в грунте
экскаватором с прямой лопатой высоту забоя следует определять с таким расчетом,
чтобы в процессе работы не образовывались "козырьки" из грунта.
. При разработке, транспортировании,
разгрузке, планировке и уплотнении грунта двумя или более самоходными или
прицепными машинами (скреперами, грейдерами, катками, бульдозерами и др.),
идущими одна за другой, расстояние между ними должно быть не менее 10 м.
. Односторонняя засыпка пазух у
свежевыложенных подпорных стен и фундаментов допускается после осуществления
мероприятий, обеспечивающих устойчивость конструкции, при принятых условиях,
способах и порядке засыпки.
. При разработке грунта взрывным
способом необходимо соблюдать Единые правила безопасности при взрывных работах,
утвержденные Госгортехнадзором СССР.
. При механическом ударном рыхлении
грунта не допускается нахождение людей на расстоянии ближе 5 м от мест
рыхления.
Список литературы
1. Производство
работ нулевого цикла: Методические указания по разработке курсовой работы для
студентов факультета безотрывных форм обучения / СПбГАСУ; Сост.: А. Н. Гайдо,
Л. Д. Копанская, О. Н. Дьячкова, Е. В. Хорошенькая. - СПб., 2007. - 51 с.
. СНиП
III-4-80* Техника безопасности в строительстве.
. ЕНиР
Сборник Е2. Земляные работы. Выпуск 1. Механизированные и ручные земляные
работы/Госстрой СССР. - М.: Стройиздат, 1988. - 224 с.
. ЕНиР
Сборник Е4. Монтаж сборных и устройство монолитных железобетонных конструкций.
Выпуск 1/Госстрой СССР. - М.: Стройиздат, 1988. - 98 с.
. ГОСТ
21.101-97. Основные требования к проектной и рабочей документации/Госстрой
СССР. - М.: Стройиздат, 1998. - 69 с.