Трехфазные короткие замыкания
Трехфазные короткие замыкания
Задание на типовой
расчет
выключатель замыкание ток трехфазный
При внезапном трехфазном коротком
замыкании в заданной точке К исходной схемы определить:
) периодическую составляющую
тока в начальный момент КЗ;
) ударный ток КЗ;
) апериодическую составляющую
тока короткого замыкания в момент начала расхождения контактов выключателя.
Исходные данные
Данные элементов
|
№ варианта
|
Трансформаторы Т 1,2
|
Синхронные компенсаторы GC 1, 2
|
Реакторы LR 1, 2, 3
|
|
Sном, МВ·А
|
nТ
|
uк в-с%
|
uк в-н%
|
uк с-н %
|
Sном, МВ·А
|
Uном, кВ
|
 r, Ом
|
Iном, АUном, кВХР, Ом∆Pном.ф, кВт
|
|
|
|
|
|
|
|
1
|
40
|
115/38,5/6,6
|
10,5
|
17,5
|
6,5
|
10
|
6,3
|
0,22
|
0,24
|
0,018
|
0,9
|
400
|
6
|
0,35
|
1,6
|
|
№ варианта
|
Асинхронные двигатели М
|
Трансформаторы Т 3, 4
|
Линия W 1/ W 2
|
Нагрузки
|
Кабель W
|
|
Pном, МВт
|
Uном, кВ
|
cosφ
|
КПД
|
  Sном, МВ·АnТuк,%l, кмx1,
Ом/кмr, Ом/кмSном, МВ·Аl, кмx1,
Ом/кмr, Ом/км
|
|
|
|
|
|
|
|
|
|
|
|
|
|
|
|
|
|
|
|
|
|
|
|
|
|
|
НГ 1, 2
|
НГ 3
|
|
|
|
|
1
|
2
|
6
|
0,91
|
96,7
|
4,8
|
0,8
|
2
|
6,3
|
6,3
|
7,5
|
8
|
0,42
|
0,27
|
10
|
1
|
1
|
0,08
|
Дополнительные данные
|
№ варианта
|
Задание №1
|
|
Точка КЗ
|
Включены выключатели
|
|
1
|
К 1
|
Q 1,
2, 4, 5, 8, 9
|
1. Все выключатели, не указанные в
задании, считать разомкнутыми.
2. Во всех вариантах
принять сопротивление системы
= 1,1 и ее мощность Sc.ном =
8000 МВ·А.
Решение
Исходная схема
2. Строим схему
замещения
Схема замещения
В качестве базисных единиц
принимаем:
кВ
Сопротивление системы:
Сопротивление линии
(двухцепной) W
Сопротивление
трансформатора Т
Надо пересчитать Uk:
Ukв=05
(Ukвс+Ukвн-Ukcн)=0,5 (10,5+17,5-6,5)=10,75%
Ukс=05
(Ukвс+Ukсн-Ukвн)=0,5 (10,5+6,5-17,5)=-0,25%
Ukн=05
(Ukвн+Ukсн-Ukвс)=0,5 (17,5+6,5-10,5)=6,75%
Сопротивление
компенсатора GС
Сопротивление нагрузки
НГ
ЭДС системы:
Сверхпереходная ЭДС компенсатора:
Эквивалентные
сопротивления
XT=
XTВ+ХТН=2,687+1,687=4,37
Эквивалентные ЭДС
Е3=Ен// ЕGC1// ЕGC2=
=
=1.0007=
=X3+XТ=0,44+4,37=4,81
Результирующий ток в
точке К1
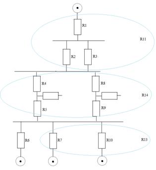
Составим схему замещения
активных сопротивлений
Схема замещения
Сопротивление системы
Сопротивление линии
Сопротивление трансформатора Т

Сопротивление
компенсатора
= R1+1\2R2=0,009+0,405=0,414
R12= R4+R5=0,037+0,023=0,06=R8+R9||R10=R13=R7\2=0.426\2=0.23||R8=R14=R12\2=0.06\2=0.03+R14=R15=0.037+0.03=0.067
R16=R15||R13=(R15*R13)\(R15+R13)=(0.067*0.23)\(0.067+0.23)=0.05
Результирующая схема замещения
Эквивалентные сопротивления
Постоянная времени затухания
апериодической составляющей тока
Ударный коэффициент
Результирующий ударный ток в точке К
I(по)
экв=0,285*88,8=25,3кА