Применение метода узловых потенциалов к расчету токов трехфазного короткого замыкания
Содержание
Реферат
Введение
.Общие
положения по расчету токов короткого замыкания
.1
Назначение расчетов коротких замыканий и предъявляемые к ним требования
.2
Основные допущения при расчетах коротких замыканий
.3
Понятие о расчетных условиях
.4
Расчетная схема электроустановки
.5
Расчетный вид короткого замыкания
.6
Расчетная точка короткого замыкания
.7
Расчетная продолжительность короткого замыкания
.Составление
схемы замещения для расчета токов короткого замыкания
.1
Расчетная схема и схема замещения
.2
Система относительных единиц, используемая при составлении схем замещения
.3
Виды схем замещения
.4
Составление схем замещения с исключением трансформаторных связей путем
приведения параметров всех элементов расчетной схемы к одной ступени напряжения
.5
Составление схем замещения с сохранением трансформаторных связей
.6
Преобразование схем замещения
.7
Расчет начального действующего значения периодической составляющей тока
короткого замыкания от синхронных машин
.8
Схема замещения и параметры синхронного генератора без учета влияния демпферных
контуров
.9
Схема замещения и параметры синхронного генератора с учетом влияния демпферных
контуров
.
Расчет токов трехфазного короткого замыкания в электроустановках переменного
тока
.1
Общие положения
.2
Расчет действующего значения периодической составляющей тока короткого
замыкания при удаленных коротких замыканиях (от электроэнергетической системы)
.3
Определение начального сверхпереходного и ударного токов короткого замыкания
.4
Влияние электродвигателей и нагрузок в начальный момент короткого замыкания
.5
Расчет апериодической составляющей тока короткого замыкания в произвольной
схеме
.6
Способы определения ударного коэффициента и соответственно ударного тока
короткого замыкания
.
Методика расчета тока короткого замыкания
.1
Пример расчета
.2
Методика расчета тока короткого замыкания на ЭВМ
Заключение
Список
используемой литературы
ток короткое замыкание
Реферат
Из всего многообразия электромагнитных
переходных процессов в электрических системах к наиболее распространенным
относятся процессы, возникающие при различных коротких замыканиях, включениях и
отключениях электрооборудования, при появлении продольной несимметрии или не
полнофазных режимов, а также при сложных видах повреждений. Короткое замыкание
- это всякое случайное или преднамеренное, не предусмотренное нормальными
условиями работы электрическое соединение (замыкание) между различными точками
или фазами электроустановок, а также между фазой и землей в сетях с заземленной
нейтралью.
Возникновение коротких замыканий в электрических
системах обусловливается рядом причин. (повреждения изоляции
электрооборудования, обусловленные старением изоляционных материалов,
внутренними и атмосферными перенапряжениями или случайными механическими
воздействиями, неправильными действиями эксплуатационного персонала,
приводящими в процессе оперативных переключений к перекрытию фаз).
Расчеты токов короткого замыкания и других
повреждений выполняются применительно к схемам замещения, которые обычно
представляются совокупностью сопротивлений и проводимости или обобщенных
параметров в виде собственных и взаимных сопротивлений и проводимостей. Наряду
с ними в практике расчетов сложных систем находят применение уравнения узлового
и контурного методов в матричной форме, исключительно удобной для анализа на
ЭВМ. Расчеты начальных и установившихся токов короткого замыкания ничем не
отличаются от расчета установившегося режима электрической цепи при заданных
ЭДС или токах, приложенных к узлам.
Введение
Короткие замыкания являются основными причинами
повреждения электроустановок и электрооборудования. Анализ статистических
данных энергосистем показывает, что 50-65 % отказов электроустановок, 60-80 %
отказов электрооборудования и 65-75 % пожаров в электроустановках происходят
из-за коротких замыканий, ущерб от которых составляет сотни миллионов рублей в
год и более.
Как правило, уровни токов короткого замыкания в
электрической сети возрастают с увеличением мощности энергосистемы, плотности
генерирующих мощностей и плотности соответствующей сети. Наибольшее число
отказов от воздействия токов короткого замыкания приходится на
электрооборудование. А отказ электрооборудования из-за цепочечного развития
аварий может привести даже к системным авариям. Поэтому роль коротких замыканий
в возникновении аварийных ситуаций весьма значительна. Важным фактором является
и частота возникновения коротких замыканий разного вида. По усредненным данным
для трехфазных, двухфазных и двухфазных коротких замыканий на землю она
составляет примерно по 2 %, а для однофазных коротких замыканий - 94 %. Вместе
с тем относительная частота коротких замыканий разных видов на электростанциях,
подстанциях и линиях электропередачи неодинакова. Так на электростанциях доля
трехфазных и двухфазных коротких замыканий на землю более значительна, чем на
подстанциях и линиях электропередачи.
Последствия коротких замыканий разнообразны -
это механическое и термическое повреждения электрооборудования, снижение уровня
напряжения в электрической сети, ведущее к уменьшению вращающего момента
электродвигателей и к выпадению из синхронизма отдельных генераторов
электростанций, возгорание электроустановок и т.п.
Расчеты коротких замыканий необходимы для выбора
главных схем электростанций и подстанций, проектирования и настройки устройств
релейной защиты и автоматики, выбора и проверки проводников и
электрооборудования и т.д.
Приоритетной основой надежной работы
электрооборудования является строгое соблюдение расчетных условий при его
выборе, под которыми понимаются наиболее тяжелые, но достаточно вероятные
условия, в которых может оказаться выбираемое электрооборудование при его
эксплуатации. Расчетные условия, как комплекс требований к электрооборудованию,
подлежат тщательному научному обоснованию, а также анализу и корректировке по
итогам эксплуатации электрооборудования с учетом вероятностных характеристик
параметров режима. В расчетных условиях должны учитываться изменения структуры
электрической сети и параметров основных элементов электроустановок, а также
характеристики срабатывания ресурса электрооборудования.
При выборе электрооборудования необходимо
учитывать наличие многофункциональных связей между его техническими,
экономическими, экологическими и другими характеристиками, между
детерминированными параметрами электрооборудования и непрерывными, но
случайными (вероятностными) параметрами энергосистем. Выбор электрооборудования
в этих условиях должен вестись с учетом системного принципа и системного
подхода. Для электроустановок характерны четыре режима работы: нормальный,
аварийный, послеаварийный и ремонтный, причем аварийный режим является
кратковременным режимом, а остальные - продолжительными режимами. Учитывая
специфику работы электрооборудования, его выбор целесообразно производить в два
этапа:
предварительный выбор электрооборудования по
параметрам продолжительных режимов (уровень изоляции, нагрев продолжительным
током, экономичность), включая режимы допустимых перегрузок;
проверка предварительно выбранного
электрооборудования по условиям кратковременных режимов (сюда относятся
короткие замыкания, неполнофазные режимы, сложные виды повреждений),
определяющим из которых является режим расчетного короткого замыкания. По
режиму короткого замыкания электрооборудование проверяется на
электродинамическую и термическую стойкость, невозгораемость (кабели), а
коммутационные аппараты также на коммутационную способность и износостойкость.
При этом предварительно нужно правильно определить расчетные условия короткого
замыкания и параметры электрооборудования, выбрать модель расчета токов короткого
замыкания и оценить, при необходимости, методы и средства ограничения токов
короткого замыкания.
.Общие положения по расчету токов короткого
замыкания
.1. Назначение расчетов коротких замыканий и
предъявляемые к ним требования
Расчеты коротких замыканий являются необходимым
условием успешного решения многочисленных задач, возникающих при проектировании
и эксплуатации отдельных электроустановок и электроэнергетической системы в
целом, поскольку приходится учитывать возможность нарушений их нормального
режима работы. Эти расчеты необходимы для: выбора электрооборудования
электроустановок по условиям его термической и электродинамической стойкости
при коротком замыкании, а выключателей также по отключающей способности;
определения электродинамического и термического воздействия токов короткого
замыкания на токоведущие части; выбора средств ограничения токов короткого
замыкания; выбора уставок средств релейной защиты и автоматики, а также их
настройки и оценки возможного действия; выбора оптимальных схем электрических
соединений электроустановок и т.п.
Указанные расчеты могут выполняться с различной
степенью точности, в зависимости от их целевого назначения. Если для выбора и
проверки электрооборудования по условиям короткого замыкания допустимы упрощенные
методы расчета токов короткого замыкания, то для настройки средств релейной
защиты и автоматики точность расчетов должна быть значительно выше, причем
определению подлежат не только максимальные, но и минимальные значения токов
короткого замыкания и напряжений в разные моменты времени. Требуемая точность
расчетов во многом определяет возможность принятия тех или иных допущений,
упрощающих задачу, и выбор методов ее решения. Очевидно, с увеличением
необходимой точности расчетов усложняются соответствующие математические
модели, устанавливающие взаимосвязи между многочисленными параметрами элементов
электроэнергетической системы и параметрами ее режима.
.2 Основные допущения при расчетах коротких
замыканий
Учитывая дискретный характер изменения параметров
электрооборудования, расчет токов короткого замыкания для его проверки
допускается производить приближенно, с принятием ряда допущений, при этом
погрешность расчетов токов короткого замыкания не должна превышать 5-10 %.
В частности, допускается:
не учитывать насыщение магнитных систем
электрических машин, за исключением случаев, когда исследуется переходный
процесс в трансформаторе при его включении с разомкнутой вторичной обмоткой;
при расчете токов короткого замыкания не
учитывать ток намагничивания трансформаторов и автотрансформаторов;
все трехфазные элементы электроэнергетической
системы, входящие в исходную расчетную схему, принимать симметричными;
при расчете токов короткого замыкания не
учитывать сдвиг по фазе электродвижущей силы (ЭДС) различных синхронных машин,
если продолжительность короткого замыкания не превышает 0,5 с, а асинхронных
электродвигателей - если продолжительность короткого замыкания не превышает 0,2
с;
при определении ударного тока короткого
замыкания от синхронных машин принимать действующее значение периодической
составляющей тока короткого замыкания в течение первого полупериода переходного
процесса неизменным и равным его начальному значению;
не учитывать поперечную емкость воздушных линий
электропередачи напряжением до 35 кВ, а также напряжением 110-220 кВ, если их
длина не превышает 200 км, и напряжением 330-500 кВ, если их длина не превышает
150 км;
при расчете токов короткого замыкания наиболее
удаленную от точки короткого замыкания часть электроэнергетической системы представлять
в виде одного источника энергии с неизменной по амплитуде ЭДС;
при расчете токов короткого замыкания не вводить
в расчетную схему источники энергии, если они связаны с частью
электроэнергетической системы, где находится расчетная точка короткого замыкания,
с помощью электропередачи или вставки постоянного тока;
при любом числе независимых контуров в исходной
расчетной схеме, содержащей только элементы с индуктивным и активным
сопротивлением, апериодическую составляющую тока короткого замыкания считать
изменяющейся по экспоненциальному закону;
при расчете тока короткого замыкания
электроприемники, сосредоточенные в отдельных узлах электроэнергетической
системы, учитывать приближенно, с помощью их эквивалентных параметров;
при расчете периодической составляющей тока
короткого замыкания не учитывать активные сопротивления различных элементов
исходной расчетной схемы, если активная составляющая эквивалентного
сопротивления расчетной схемы относительно точки короткого замыкания не
превышает 30 % индуктивной составляющей указанного сопротивления;
принимать сопротивление постоянному току любого
элемента электроэнергетической системы равным его активному сопротивлению.
.3 Понятие о расчетных условиях
Для проверки электрооборудования по режиму
короткого замыкания требуется сопоставить вероятностные параметры режима
короткого замыкания с детерминированными параметрами электрооборудования. Для
возможности такого сопоставления вероятностные параметры режима короткого
замыкания преобразуются в условно детерминированные параметры режима расчетных
условий короткого замыкания.
Расчетные условия короткого замыкания - это
наиболее тяжелые, но достаточно вероятные условия короткого замыкания. Они
формируются на основе опыта эксплуатации электроустановок, анализа отказов
электрооборудования и последствий коротких замыканий, использования соотношений
параметров режима короткого замыкания, вытекающих из теории переходных
процессов в электроустановках. Расчетные условия короткого замыкания
определяются индивидуально для каждого элемента электроустановки. Для
однотипных по параметрам и схеме включения элементов электроустановки
допускается использовать аналогичные расчетные условия.
Расчетные условия короткого замыкания включают в
себя:
расчетную схему электроустановки;
расчетный вид короткого замыкания;
расчетную точку короткого замыкания;
расчетную продолжительность короткого замыкания.
.4 Расчетная схема электроустановки
Расчетная схема, как правило, включает в себя
все элементы электроустановки и примыкающей части энергосистемы, исходя из
условий, предусмотренных продолжительной работой электроустановки с
перспективой не менее чем в 5 лет после ввода ее в эксплуатацию.
В отдельных, частных случаях, расчетная схема
может содержать не все элементы электроустановки, если при этом расчетом
доказана возможность существования более тяжелых расчетных условий, что может
иметь место, например, при вводе в работу после ремонта одной из параллельных
цепей электроустановки.
1.5Расчетный вид короткого замыкания
При проверке электрических аппаратов и жестких
проводников вместе с относящимися к ним поддерживающими и опорными
конструкциями на электродинамическую стойкость расчетным видом является
трехфазное короткое замыкание. При этом в общем случае допускается не учитывать
механические колебания шинных конструкций.
При проверке гибких проводников на
электродинамическую стойкость (тяжение, опасное сближение и схлестывание
проводников) расчетным видом является двухфазное короткое замыкание.
При проверке проводников и электрических аппаратов
на термическую стойкость расчетным видом в общем случае является трехфазное
короткое замыкание. При проверке на термическую стойкость проводников и
аппаратов в цепях генераторного напряжения электростанций расчетным может быть
также двухфазное короткое замыкание, если оно обусловливает больший нагрев
проводников и аппаратов, чем при трехфазном коротком замыкании.
При проверке электрических аппаратов на
коммутационную способность расчетным видом может быть трехфазное или однофазное
короткое замыкание в зависимости от того, в каком случае ток короткого
замыкания имеет наибольшее значение. Если для выключателей задается разная
коммутационная способность при трехфазном и однофазном коротком замыкании, то
проверку следует проводить отдельно по каждому виду короткого замыкания.
.6 Расчетная точка короткого замыкания
Расчетная точка короткого замыкания находится
непосредственно с одной или с другой стороны от рассматриваемого элемента
электроустановки в зависимости от того, когда для него создаются наиболее тяжелые
условия в режиме короткого замыкания. Случаи двойных коротких замыканий на
землю допускается в общем случае не учитывать.
В закрытых распределительных устройствах
проводники и электрические аппараты, расположенные до реактора на
реактированных линиях и отделенные от сборных шин разделяющими полками, а
реактор находится в том же здании и все соединения от реактора до сборных шин
выполнены шинами, проверяют, исходя из того, что расчетная точка короткого
замыкания находится за реактором.
При проверке кабелей на термическую стойкость
расчетную точку короткого замыкания выбирают:
для одиночных кабелей одной строительной длины -
в начале кабеля;
для одиночных кабелей со ступенчатым сечением по
длине - в начале каждого участка нового сечения;
для двух и более параллельно включенных кабелей
одной кабельной линии - в начале каждого кабеля.
Отступления от этих требований должны быть
обоснованы.
.7 Расчетная продолжительность короткого
замыкания
При проверке проводников и электрических
аппаратов на термическую стойкость в качестве расчетной продолжительности
короткого замыкания следует принимать сумму двух времен: времени действия
основной токовой защиты [с учетом действия автоматического повторного включения
(АПВ)], воздействующей на ближайший к месту короткого замыкания выключатель, и
полного времени отключения этого выключателя. При наличии зоны
нечувствительности у основной защиты расчетная продолжительность определяется
суммированием времени действия защиты, реагирующей на короткое замыкание в
указанной зоне, и полного времени отключения выключателя присоединения.
Токопроводы и трансформаторы тока в цепях
генераторов мощностью 60 МВт и более следует проверять на термическую
стойкость, определяя расчетную продолжительность короткого замыкания путем
сложения времени действия основной защиты (при установке двух основных защит)
или резервной защиты (при установке одной основной защиты) и полного времени
отключения генераторного выключателя. Коммутационные электрические аппараты в
цепях генераторов мощностью 60 МВт и более должны проверяться на термическую
стойкость как по времени воздействия тока короткого замыкания, определяемому
действием основной быстродействующей защиты, так и по времени, определяемому
действием резервной защиты, если это время превышает нормируемое
заводом-изготовителем время термической стойкости.
При проверке электрических аппаратов на
коммутационную способность в качестве расчетной продолжительности короткого
замыкания (время т) следует принимать сумму минимально возможного времени
действия релейной защиты данного присоединения (0,01 с) и собственного времени
отключения коммутационного аппарата.
Важным моментом при проектировании является
проверка кабелей на невозгораемость при коротком замыкании. При проверке
кабелей на невозгораемость при коротком замыкании расчетную продолжительность
следует определять путем сложения времени действия резервной защиты и полного
времени отключения выключателя присоединения.
.Составление схемы замещения для расчета токов
короткого замыкания
.1 Расчетная схема и схема замещения
Расчету токов короткого замыкания предшествует
выбор расчетных условий, в частности, расчетной схемы, т.е. схемы, при которой
возникают наиболее тяжелые, но достаточно вероятные условия, в которых может
оказаться рассматриваемый элемент электроустановки при коротком замыкании.
Расчетная схема зависит от цели расчетов токов короткого замыкания. Если эти
цели состоят в выборе и проверке электрических аппаратов и проводников по
условиям короткого замыкания, то в расчетную схему должны быть включены все
источники энергии, влияющие на ток короткого замыкания - синхронные генераторы
и компенсаторы, синхронные и асинхронные электродвигатели. Влияние асинхронных
электродвигателей допустимо не учитывать при мощности электродвигателя до 100
кВт в единице, если они отделены от расчетной точки короткого замыкания
токоограничиваю-щим реактором или силовым трансформатором. А если асинхронные
электродвигатели отделены от расчетной точки короткого замыкания двумя плечами
сдвоенного реактора или двумя и более ступенями трансформации, то их можно не
учитывать и при больших мощностях.
При составлении расчетной схемы обычно исходят
из следующих условий:
все источники, включенные в расчетную схему,
работают одновременно, причем к моменту возникновения короткого замыкания
синхронные машины работают с номинальной нагрузкой и номинальным напряжением, а
асинхронные электродвигатели - с 50 %-ной нагрузкой;
все синхронные машины имеют автоматическое
регулирование напряжения и устройства для форсировки возбуждения;
ЭДС всех источников совпадают по фазе, если
продолжительность короткого замыкания не превышает 0,5 с;
короткое замыкание происходит в такой момент
времени, когда напряжение в расчетной фазе проходит через нулевое значение;
наиболее удаленную от точки короткого замыкания
часть электроэнергетической системы допустимо представлять в виде одного
источника энергии, имеющего неизменную по амплитуде ЭДС и сопротивление, равное
эквивалентному сопротивлению заменяемой части системы.
Выбор расчетных схем любых электроустановок
производят путем анализа возможных схем этих электроустановок при различных
режимах их работы, включая ремонтные и послеаварийные режимы, за исключением
схем при переключениях.
При расчетах режимов электроэнергетических
систем предварительно по исходной расчетной схеме электрической цепи составляют
схему замещения этой цепи, т.е. схему, которая при определенных условиях
отображает свойства реальной цепи.
.2 Система относительных единиц, используемая
при составлении схем замещения
Параметры различных элементов
электроэнергетических систем, а также параметры режима (напряжение, ток,
мощность и т.д.) как и другие физические величины могут быть выражены как в
системе именованных, так и в системе относительных единиц, т.е. в долях от
некоторых значений этих же величин, принятых за единицу измерения. При этом
точность получаемых результатов расчетов не зависит от используемой системы
единиц измерения.
Применение системы относительных единиц часто
существенно упрощает расчетные выражения, описывающие процессы в различных
элементах электроэнергетической системы, облегчает контроль расчетных данных и
сопоставление результатов расчетов для установок различной мощности, поскольку
для таких установок относительные значения расчетных величин часто имеют одинаковый
порядок.
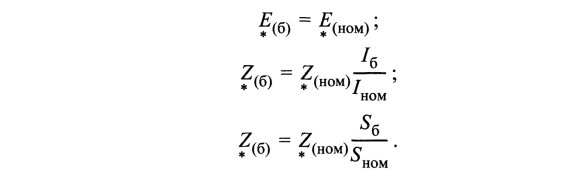
Чтобы получить относительные значения различных
физических величин, необходимо предварительно выбрать значения соответствующих
величин, принимаемые за базисные, т.е. в качестве единиц измерения. В
частности, чтобы выразить параметры различных элементов схемы замещения
электрической цепи и параметры режима в системе относительных единиц,
необходимо иметь четыре базисные единицы - базисное напряжение (линейное
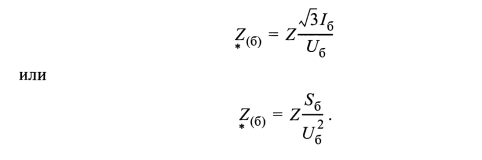
напряжение трехфазной системы) С/б, базисный ток /б, базисную мощность
(трехфазной системы) S6 и базисное сопротивление Z6. Две из них выбирают
произвольно, а две другие определяют из соотношения для мощности трехфазной
системы
=√3 Uб Iб
и формулы, выражающей закон Ома,
= Uб / √3 Iб
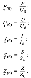
При выбранных базисных единицах (базисных
условиях) относительные значения ЭДС, напряжения, тока, мощности и
сопротивления определяют путем деления значения соответствующей величины в
именованных единицах на базисную единицу той же размерности:
причем выбранные базисные единицы служат
единицами измерения как полных величин, так и их составляющих. Иногда
относительные значения величин выражают в процентах от соответствующих базисных
единиц, для чего эти значения умножают на 100.
Очевидно, относительные значения фазного и
линейного напряжений одинаковы. Также одинаковы относительные значения фазной
мощности и мощности трех фаз.
Часто для определения относительного
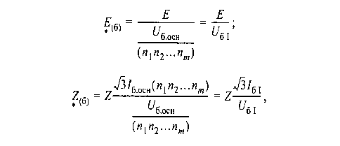
сопротивления вместо формулы используют другие соотношения:
Из следует, что сопротивление в относительных
единицах численно равно относительному падению напряжения в соответствующем
элементе, вызванному базисным током.
Часто параметры элементов электроэнергетических
систем, вводимых в расчетную схему, заданы не в именованных единицах, а в
процентах или относительных единицах при номинальных условиях. Это означает,
что при выражении их в процентах или в относительных единицах в качестве
базисных единиц приняты номинальное напряжение Uном и номинальный ток Iном или
номинальная мощность Sном. Например, обычно активное и индуктивное
сопротивления воздушных и кабельных линий задают в омах на единицу длины
(километр), индуктивное сопротивление реакторов - в омах (до недавнего времени
- в процентах), полное сопротивление трансформаторов (оно численно равно
напряжению короткого замыкания) - в процентах, а индуктивное сопротивление
генераторов и синхронных компенсаторов - в относительных единицах при
номинальных условиях.
Для расчетов различных режимов
электроэнергетических систем необходимо прежде всего привести ЭДС и
сопротивления всех элементов исходной расчетной схемы к одним базисным
единицам. Если значения ЭДС и сопротивлений заданы в именованных единицах, то с
этой целью используют формулы и или, если же заданы относительные значения указанных
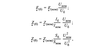
величин при номинальных условиях, то для приведения используют формулы:
где Е(ном) и Z(ном) - ЭДС и сопротивление в
относительных единицах при номинальных условиях; Uном, Iном, Sном - номинальное
напряжение, номинальный ток и номинальная мощность элемента (генератора,
трансформатора и т.д.).
Чтобы упростить расчетные выражения,
определяющие режимы электроэнергетических систем, целесообразно в качестве
базисной
угловой частоты принимать синхронную. Тогда
ω͓ синх(б) = 1,
поэтому при синхронной частоте в системе
где - относительное значение потокосцепления при
выбранных базисных условиях; L(б) - относительное значение индуктивности при
выбранных базисных условиях; М(б)- относительное
значение взаимной индуктивности при выбранных
базисных условиях.
Таким образом, если ω
= ωб
= ωсинх,
то относительные значения индуктивного сопротивления и соответствующей
индуктивности или взаимной индуктивности численно равны. Также равны
относительные значения потокосцепления и падения напряжения или ЭДС. Это
позволяет в различных выражениях одни величины заменять численно равными
другими.
При ωб
= ωсинх
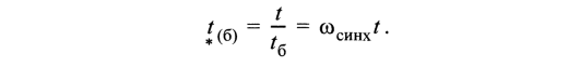
базисная единица времени tб = 1/ ωб
=1/ ωсинх,
поэтому время в относительных единицах при выбранных базисных условиях
2.3 Виды схем замещения
Обычно исходная расчетная схема содержит сети
разных номинальных напряжений, соединенные трансформаторами. При этом возможны
два различных приема составления схем замещения:
с исключением трансформаторных связей путем
приведения параметров всех элементов различных ступеней напряжения к одной
ступени, принятой за основную или базисную ступень;
с сохранением трансформаторных связей между различными
ступенями напряжения.
В случае использования схемы замещения с
приведением параметров всех элементов исходной расчетной схемы к одной, так
называемой базисной ступени напряжения, истинными, не приведенными к другому
напряжению, оказываются только параметры элементов электрической сети и
параметры режима (токи и напряжения) базисной ступени напряжения, а параметры
элементов и параметры режима сетей других номинальных напряжений оказываются
измененными, пересчитанными через коэффициенты трансформации промежуточных
трансформаторов. Поэтому для получения действительных значений токов и
напряжений на различных ступенях напряжения приходится проводить обратный
пересчет, что усложняет расчет в целом.
Трудности возникают и при изменении
коэффициентов трансформации силовых трансформаторов и автотрансформаторов с
помощью устройств для регулирования напряжения, так как в этих случаях
приходится выполнять пересчет параметров всех элементов соответствующей части
схемы замещения. Затруднения возникают и в тех случаях, когда сети двух разных
номинальных напряжений связаны в нескольких местах с помощью трансформаторов, у
которых коэффициенты трансформации неодинаковы.
При использовании схем замещения с
трансформаторными связями устраняется операция по приведению параметров
различных элементов исходной расчетной схемы к базисной ступени напряжения, а в
результате расчетов получаются истинные токи и напряжения на различных ступенях
напряжения. Кроме того, при изменении коэффициентов трансформации силовых
трансформаторов и автотрансформаторов подлежат пересчету только параметры этих
трансформаторов и автотрансформаторов, а параметры других элементов схемы
замещения остаются неизменными. Однако наличие трансформаторных связей делает
такие схемы замещения более сложными. Поэтому они применяются при расчетах с
использованием современных вычислительных программ для вычислительных машин
последнего поколения. А схемы замещения с приведением параметров всех элементов
различных ступеней напряжения к одной ступени, несмотря на их указанные выше
недостатки, широко используются при аналитических расчетах установившихся
режимов и переходных процессов.
.4 Составление схем замещения с исключением
трансформаторных связей путем приведения параметров всех элементов расчетной
схемы к одной ступени напряжения
Расчетные выражения, используемые для приведения
параметров различных элементов исходной расчетной схемы и параметров режима к
основной ступени напряжения, зависят от того, известны или неизвестны
фактические коэффициенты трансформации всех трансформаторов и
автотрансформаторов расчетной схемы, а также от того, в каких единицах
требуется выразить параметры схемы замещения - именованных или относительных.
Обычно приведение параметров различных элементов к основной ступени напряжения
с учетом фактических коэффициентов трансформации трансформаторов и
автотрансформаторов называют точным приведением, а приведение по средним
коэффициентам трансформации - приближенным. Во всех случаях трансформаторы с
соединением обмоток по схеме Y/∆ учитываются по схеме Y/Y.
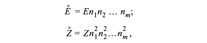
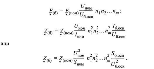
При составлении схемы замещения с точным
приведением ЭДС источников энергии и сопротивлений различных элементов исходной
расчетной схемы к одной ступени напряжения и выражении ЭДС и параметров
различных элементов схемы замещения в именованных единицах приведенные значения
ЭДС источников энергии и сопротивлений элементов1, отделенных от основной
ступени напряжения каскадно включенными трансформаторами с коэффициентами
трансформации n1,, п2, --.,пт (рис. 2), определяют по формулам:
где Е и Z - фактические значения ЭДС источника
энергии и сопротивления какого-либо элемента исходной расчетной схемы; Е и Z -
их приведенные значения.
Здесь и далее коэффициенты трансформации
трансформаторов и автотрансформаторов определяются в направлении от основной
ступени напряжения. Это означает, что под коэффициентом трансформации
трансформатора и автотрансформатора понимается отношение
напряжения холостого хода его обмотки,
обращенной в сторону выбранной основной ступени напряжения сети, к напряжению
холостого хода обмотки, обращенной в противоположную сторону.
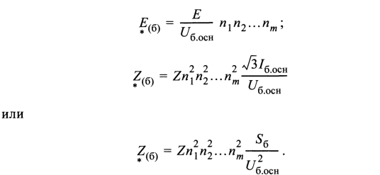
При точном приведении ЭДС и параметров различных
элементов исходной расчетной схемы к одной ступени напряжения и выражении приведенных
ЭДС и параметров в относительных единицах сначала устанавливают базисную
мощность и базисные напряжение и ток для ступени напряжения, выбранной в
качестве основной, т.е. Sб, u6 осн и Iб.осн (две единицы выбирают произвольно,
а третья определяется из соотношения для мощности трехфазной системы). Затем
можно, используя соответствующие формулы, ЭДС каждого источника и сопротивление
каждого элемента привести к основной ступени напряжения и выразить их в
относительных единицах при выбранных базисных условиях. Так, если между
ступенью напряжения I, на которой находятся элементы с подлежащими приведению
ЭДС и сопротивлениями, и основной ступенью напряжения имеется т
трансформаторов, причем значения ЭДС и сопротивлений заданы в именованных
единицах, то искомые значения ЭДС и сопротивлений в относительных единицах и
могут быть найдены по формулам:
Если же значения ЭДС и сопротивлений заданы в
относительных единицах при номинальных условиях, то приведенные значения ЭДС и
сопротивлений в относительных единицах можно определить по формулам:
Очевидно, пересчет всех ЭДС и сопротивлений
исходной расчетной схемы через коэффициенты трансформации трансформаторов при
сложной схеме оказывается довольно громоздким. Поэтому чаще используют другой
способ определения искомых значений ЭДС и сопротивлений схемы замещения в
относительных единицах, при котором вычисления менее громоздки, а результаты те
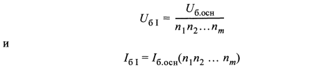
же. Он заключается в следующем. После выбора базисных условий основной ступени
напряжения находят базисные напряжения и токи других ступеней. Очевидно, для
ступени напряжения I, связанной с основной ступенью через т каскадно включенных
трансформаторов, базисным напряжением и базисным током являются приведенные к
этой ступени напряжения базисное напряжение и базисный ток основной ступени,
т.е.
или проще, поскольку базисная мощность для всех
ступеней напряжения одинакова,
На этом учет коэффициентов трансформации
трансформаторов заканчивается. Остается подсчитать искомые значения ЭДС и
сопротивлений элементов схемы замещения в относительных единицах, используя
формулы, но подставляя в них U6 = U61 и Iб = Iб1 , т.е. базисное напряжение и базисный
ток той ступени напряжения, на которой находится подлежащий приведению элемент.
Такой способ вычисления значений ЭДС и сопротивлений схемы замещения в
относительных единицах исключает необходимость пересчета каждой ЭДС и
сопротивления каждого элемента исходной расчетной схемы через коэффициенты
трансформации. В справедливости этого способа легко убедиться, если
преобразовать любую из формул и можно представить в виде
что соответствует сказанному выше.
В тех случаях, когда отсутствуют данные о
фактических коэффициентах трансформации трансформаторов и автотрансформаторов,
приведение ЭДС и параметров различных элементов исходной расчетной схемы к
одной ступени напряжения выполняют по средним коэффициентам трансформации, т.е.
принимая коэффициент трансформации каждого трансформатора и автотрансформатора
равным отношению так называемых средних номинальных напряжений сетей, связанных
этим трансформатором или автотрансформатором. С этой целью предварительно для
каждой ступени напряжения устанавливают одно среднее номинальное напряжение,
выбирая его из принятого в нашей стране ряда средних номинальных напряжений:
3,15; 6,3; 10,5; 13,8; 15,75; 18; 20; 24; 37; 115; 154; 230; 340; 515; 770;
1175 кВ.
Выбранное для любой ступени напряжения среднее
номинальное напряжение должно соответствовать номинальным напряжениям различных
элементов, относящихся к этой ступени напряжения (т.е. среднее номинальное
напряжение и номинальные напряжения элементов должны быть или равны, или отличаться
лишь на несколько процентов).
При замене фактических коэффициентов
трансформации средними входящее в выражения для приведения различных величин к
основной ступени напряжения произведение средних коэффициентов трансформации
каскадно включенных трансформаторов оказывается равным отношению средних
номинальных напряжений основной ступени напряжения и ступени напряжения, с
которой проводится пересчет, т.е.
где U ср.осн и Uср1 - средние номинальные
напряжения основной ступени напряжения и ступени напряжения, на которой
находится подлежащий приведению элемент исходной расчетной схемы.
Таким образом, при составлении схемы замещения с
приближенным приведением ЭДС и сопротивлений различных элементов исходной
расчетной схемы к одной ступени напряжения и выражении этих ЭДС и сопротивлений
в именованных единицах расчетные формулы существенно упрощаются. В частности,
если ЭДС и сопротивления элементов расчетной схемы заданы в именованных
единицах, то формулы имеют вид:
Если же ЭДС и сопротивления элементов расчетной
схемы заданы в относительных единицах при номинальных условиях, то
Часто номинальные напряжения всех элементов
исходной расчетной схемы, находящихся на одной ступени напряжения, принимают
одинаковыми и равными среднему номинальному напряжению этой ступени напряжения,
т.е. Uном = Uср1 При этом соотношения и упрощаются:
При приближенном приведении ЭДС и параметров
различных элементов исходной расчетной схемы к одной ступени напряжения и
выражении ЭДС и параметров схемы замещения в относительных единицах
целесообразно за базисное напряжение основной ступени напряжения принять
среднее номинальное напряжение этой ступени, т-е Uб.осн = Uср осн Тогда в
соответствии
т.е. при указанном условии базисное напряжение
любой ступени напряжения оказывается численно равным среднему номинальному
напряжению этой ступени. Если и в этом случае номинальные напряжения жения всех
элементов исходной расчетной схемы, находящихся на одной ступени напряжения,
принять одинаковыми и равными среднему номинальному напряжению этой ступени
напряжения, то формулы существенно упрощаются
.5 Составление схем замещения с сохранением
трансформаторных связей
При использовании схем замещения с
трансформаторными связями все расчеты проводят в именованных единицах.
Двухобмоточ-ные трансформаторы обычно учитывают приближенно в виде
последовательно включенных идеального трансформатора (т.е. трансформатора, у
которого отсутствуют потери мощности, а ток намагничивания равен нулю),
имеющего коэффициент трансформации пт, и сопротивление ZT, представляющего
собой сумму сопротивлений рассеяния обеих обмоток, приведенных к ступени
напряжения II (рис. 2.2, а).
Если расчеты выполняются с помощью современных
программ для ЭВМ, то двухобмоточные трансформаторы могут быть представлены
П-образной схемой замещения с электрическими связями (рис. 2.2, б), которая,
как и схема на рис. 2.2, а, при соединении обмоток трансформаторов по схеме Y/Y
обеспечивает истинные значения токов и напряжений на обеих ступенях напряжения.
При этом сле дует иметь в виду, что предварительно сопротивление трансформатора
ZT должно быть приведено к ступени напряжения II.
.6 Преобразование схем замещения
При аналитических расчетах коротких замыканий и
других режимов электроэнергетических систем исходные схемы замещения прямой
последовательности, в которых представлены различные элементы исходных
расчетных схем, обычно посредством последовательных преобразований приводят к эквивалентным
схемам замещения, содержащим эквивалентную ЭДС и эквивалентное сопротивление.
Если исходная схема замещения не содержит сложных замкнутых контуров, а все
источники энергии присоединены в одном узле, то ее легко можно преобразовать в
эквивалентную схему, используя правила сложения последовательно и параллельно
соединенных сопротивлений и замены нескольких источников энергии, имеющих в
общем случае разные ЭДС и разные сопротивления, одним эквивалентным источником,
обладающим эквивалентной ЭДС Еэк и эквивалентным сопротивлением Zэк. В
частности, если источники энергии в схеме замещения учтены только индуктивными
сопротивлениями и ЭДС, то эквивалентная ЭДС и эквивалентное сопротивление
определяются по формулам:
где El.,Е2,…. Еп - ЭДС отдельных источников,
присоединенных в одном узле; Х1, Х2, --,Хп - индуктивные сопротивления этих
источников.
При более сложных исходных схемах замещения для
определения эквивалентного сопротивления используют известные способы преобразования,
такие как преобразование треугольника сопротивлений в эквивалентную звезду
сопротивлений, звезду сопротивлений в эквивалентный треугольник сопротивлений,
многолучевую звезду сопротивлений в полный многоугольник сопротивлений и т.д.
(табл. 2.1).
В тех случаях, когда исходная схема замещения
симметрична относительно расчетной точки короткого замыкания или какая-либо
часть этой схемы симметрична относительно некоторой промежуточной точки, задачу
нахождения эквивалентного сопротивления можно существенно облегчить. Для этого
необходимо соединить на исходной схеме замещения точки, имеющие одинаковые
потенциалы, и исключить из схемы те элементы, которые при коротком замыкании
оказываются обесточенными.
.7 Расчет начального действующего значения
периодической составляющей тока короткого замыкания от синхронных машин
Каждая синхронная машина имеет демпферные
контуры, причем у гидрогенераторов они обычно устанавливаются специально, а у
турбогенераторов роль демпферных контуров выполняет стальной массив ротора. При
анализе характеристик синхронной машины могут быть использованы различные ЭДС,
в зависимости от того, каким магнитным потоком они наводятся в обмотке якоря
машины: синхронная ЭДС Еq обусловленная магнитным потоком от тока возбуждения;
ЭДС зазора Еδq индуктируемая
магнитным потоком зазора машины; переходная ЭДС Еq' (при не учете демпферных
контуров синхронной машины), пропорциональная суммарному потокосцеплению
обмотки возбуждения машины, обусловленному собственным током и периодической
составляющей тока якоря; сверхпереходная ЭДС Е"q (при учете демпферных
контуров синхронной машины), определяемая потокосцеплениями обмоток возбуждения
и продольного демпферного контура, и т.д.
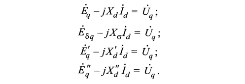
Каждой ЭДС соответствует определенное
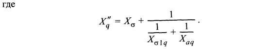
сопротивление синхронной машины, являющееся ее параметром: синхронной ЭДС Еq
соответствует синхронное сопротивление по продольной оси Xd, ЭДС зазора Еδd
- сопротивление
рассеяния якоря Xσ, переходной
ЭДС E'q - переходное сопротивление по продольной оси X'd, сверхпереходной ЭДС
Еq" - сверхпереходное сопротивление по продольной оси X"d. Поэтому
при учете синхронной машины любой из указанных ЭДС в расчетную схему эта машина
должна быть введена соответствующим сопротивлением. Но независимо от
используемых в расчетах ЭДС и сопротивлений при заданных значениях продольной
составляющей тока машины Id и поперечной составляющей напряжения на ее выводах
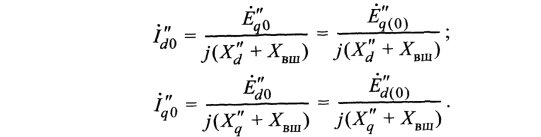
Uq должны выполняться соотношения:
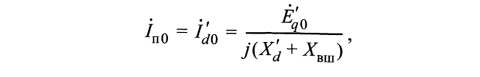
Можно легко показать, что при расчете начального
значения периодической составляющей тока короткого замыкания ЭДС Eq и Eδq
не
могут быть использованы, так как в начальный момент короткого замыкания ЭДС Eq
мгновенно увеличивается, а ЭДС Eδq мгновенно
уменьшается, причем степень их изменения зависит от искомого тока якоря. И лишь
переходная ЭДС E’q (при неучете демпферных контуров) и сверхпереходная ЭДС E”q
(при учете демпферных контуров) остаются неизменными при любой коммутации. Но
если синхронную ЭДС Eq легко определить до короткого замыкания, так как при
отсутствии насыщения магнитной системы машины она пропорциональна току
возбуждения, то переходную и сверхпереходную ЭДС с достаточной точностью можно
определить только из векторной диаграммы машины до короткого замыкания.
.8 Схема замещения и параметры синхронного
генератора без учета влияния демпферных контуров
Для построения векторной диаграммы синхронной
машины без демпферных контуров используют известное соотношение:
Если пренебречь активным сопротивлением якоря,
то
Исходными при построении векторной диаграммы
являются векторы U и I и угол φ
между ними.
Добавив к вектору U вектор jXq I, найдем некоторый
вектор EQ , который, как видно из, совпадает с поперечной осью q машины. Таким
образом, положение оси q на комплексной плоскости определено. Проведя
перпендикулярно этой оси ось d, легко найти ток Id как проекцию вектора тока I
на ось d и напряжение Uq как проекцию вектора напряжения U на ось q.
Откладывая, далее, от конца вектора EQ
вектор j(Xd - Xq )Id, найдем вектор ЭДС Eq
Из выражения следует:
Последнее выражение позволяет определить
начальное значение
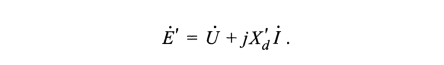
переходной ЭДС E'q0 из векторной диаграммы
синхронной машины
до момента короткого замыкания. С этой целью
достаточно изложенным выше способом построить векторную диаграмму
(без учета R) и к поперечной составляющей
напряжения якоря U
прибавить вектор jX’dId.
Рис. 2.1. Векторные диаграммы синхронного
генератора без демпферных контуров
а) до короткого замыкания; б) в начальный момент
короткого замыкания.
В поперечной оси синхронной машины отсутствует
обмотка возбуждения, вследствие чего E'd = 0. Поэтому при коротком замыкании во
внешней цепи, индуктивное сопротивление которой до места повреждения составляет
Хвш, периодическая составляющая тока в начальный момент короткого замыкания
является продольной и равна
а напряжение на выводах генератора U0 = jXBШIП0
Соответствующая векторная диаграмма синхронной
машины в начальный момент короткого замыкания приведена на рис. 2.1, б. Из нее
видно, что в указанный момент неизменной по модулю и фазе остается только ЭДС
E’q.
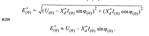
С небольшой погрешностью модуль переходной ЭДС
машины к моменту короткого замыкания можно найти, полагая, что параметры
синхронной машины по продольной и поперечной осям одинаковы и равны X’d. В этом
случае существенно упрощается векторная диаграмма машины, так как нет
необходимости определять продольную составляющую тока и поперечную составляющую
напряжения, а достаточно знать истинные напряжение и ток машины до короткого
замыкания. Искомая ЭДС связана с этими величинами соотношением:
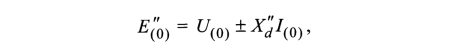
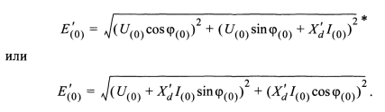
Векторная диаграмма синхронного генератора,
построенная по, приведена на рис. 2.2. Из этой диаграммы следует
Поскольку угол δ между
векторами напряжения и переходной ЭДС незначителен, то для определения Е’(0)
можно использовать также следующее приближенное выражение
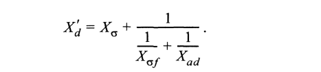
Переходное сопротивление можно представить так:
Этому выражению соответствует схема замещения
синхронной машины без учета демпферных контуров, приведенная на рис. 2.3.
.9 Схема замещения и параметры синхронного
генератора с учетом влияния демпферных контуров
В синхронной машине с демпферными контурами
всякое изменение магнитного потока реакции якоря по продольной оси,
обусловленное изменением периодической составляющей тока якоря, вызывает
ответную реакцию не только со стороны обмотки возбуждения, но и продольного
демпферного контура, в результате чего их потокосцепления остаются неизменными.
Поэтому остается неизменной и ЭДС якоря, определяемая этими потокосцеплениями.
Из формулы следует:
Сверхпереходное сопротивление по продольной оси
можно представить в таком виде:
При учете демпферных контуров продольная
сверхпереходная ЭДС E”d не равна нулю и определяется по формуле:
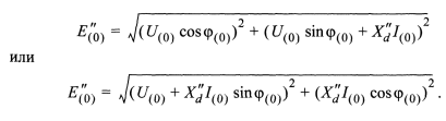
Выражения показывают, что сверхпереходные
ЭДС"q и E"d могут быть определены по данным установившегося
режима работы машины, предшествующего короткому
замыканию. С этой целью из векторной диаграммы машины, построенной для этого
режима, находят продольные и поперечные составляющие тока и напряжения и,
используя, находят искомые ЭДС (рис.2.4, а).
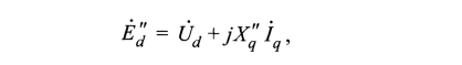
При коротком замыкании во внешней цепи,
индуктивное сопротивление которой до места повреждения составляет Хвш,
продольная и поперечная слагающие периодической составляющей тока в начальный
момент короткого замыкания равны соответственно:
поэтому искомое начальное значение периодической
составляющей тока короткого замыкания
Векторная диаграмма машины в начальный момент
короткого замыкания приведена на рис. 2.4, б. Поскольку X"q > X”d , то,
как видно из, угол между векторами результирующей ЭДС Е" и результирующего
тока Iп0 меньше
/2, несмотря на то,
что активное сопротивление обмотки якоря не учитывается.
Расчет начального значения периодической
составляющей тока короткого замыкания существенно упрощается, если принять
допущение, что сверхпереходные сопротивления синхронной машины по продольной и
поперечной осям одинаковы и равны Xd . При этом сверхпереходная ЭДС синхронной
машины определяется из простого соотношения:
Рис. 2.1. Векторные диаграммы синхронного
генератора с демпферными контурами:
а) до короткого замыкания; б) в начальный момент
короткого замыкания.
а ее модуль к моменту короткого замыкания
Рис. 2.5. Схемы замещения синхронной машины с
демпферными контурами: а) по продольной оси; б) по поперечной оси.
В приближенных расчетах можно использовать
следующую формулу:
Сверхпереходная ЭДС синхронного компенсатора
определяется как
где знак «плюс» принимается в том случае, если
до короткого замыкания компенсатор работал с перевозбуждением, а «минус» - с
недовозбуждением.
Выражения позволяют составить схемы замещения
синхронной машины с демпферными контурами соответственно по продольной и
поперечной осям ротора. Такие схемы приведены на рис. 2.5, а и б.
. Расчет токов трехфазного короткого замыкания в
электроустановках переменного тока
.1 Общие положения
В начальный момент короткого замыкания значение
тока в любой цепи, обладающей индуктивностью, остается неизменным и равным его
значению в конце предшествующего режима. Однако при исследовании переходных
процессов ток в произвольный момент времени обычно представляют как сумму
периодической и апериодической составляющих и определение каждой из них
представляет собой важную задачу.
При расчете начального значения периодической
составляющей тока трехфазного короткого замыкания в электроустановках
напряжением свыше 1 кВ должны быть учтены все синхронные генераторы и
компенсаторы, а также синхронные и асинхронные электродвигатели мощностью 100
кВт и более, если эти электродвигатели не отделены от точки короткого замыкания
токоограничивающими реакторами или силовыми трансформаторами.
Начальное значение периодической составляющей
тока короткого замыкания от синхронного генератора или компенсатора можно
получить, решив дифференциальные уравнения переходного процесса в синхронной
машине (уравнения Парка-Горева) и подставив в полученные выражения / = 0. Но проще
процесс в начальный момент короткого замыкания можно исследовать, исходя из
принципа сохранения потокосцеплений контуров ротора синхронной машины в момент
любого нарушения ее режима. Кроме того, такой подход позволяет более наглядно
выявить, какими ЭДС и сопротивлениями следует характеризовать синхронную машину
в начальный момент короткого замыкания.
3.2 Расчет действующего значения периодической
составляющей тока короткого замыкания при удаленных коротких замыканиях (от
электроэнергетической системы)
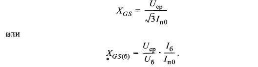
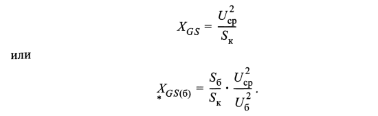
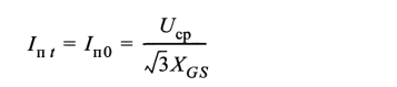
При расчетах токов короткого замыкания самую
удаленную часть электроэнергетической системы часто представляют в виде одного
эквивалентного источника энергии (обычно его называют системой) с индуктивным
сопротивлением XGS (в индексе G - генератор, S - система), равным суммарному
индуктивному сопротивлению соответствующей части электроэнергетической системы
относительно ближайшего к месту короткого замыкания узла сети, и с неизменной
по амплитуде ЭДС, равной среднему номинальному напряжению U той ступени напряжения
сети, к которой приведено сопротивление XGS. При коротком замыкании за
сопротивлением XGS действующее значение периодической составляющей тока
короткого замыкания от системы не изменяется во времени и определяется по
формуле:
или, если сопротивление системы выражено в
относительных единицах при выбранных базисных условиях,
где Uб и Iб - базисное напряжение и базисный ток
той ступени напряжения сети, на которой находится точка короткого замыкания.
В тех случаях, когда эквивалентное сопротивление
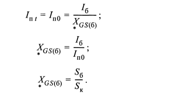
системы относительно заданной точки неизвестно, его можно определить, исходя из
известного значения периодической составляющей тока короткого замыкания в этой
точке:
Иногда вместо периодической составляющей тока
короткого замыкания от системы задается так называемая мощность короткого
замыкания в какой-либо точке системы, под которой понимают условную величину,
равную увеличенному в √3 раз произведению тока трехфазного короткого
замыкания от системы на среднее номинальное напряжение соответствующей ступени
напряжения электрической сети, т.е.
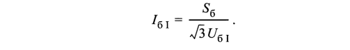
При этом
Если за базисное напряжение той части сети, где
находится точка короткого замыкания, принято ее среднее номинальное напряжение,
то выражения существенно упрощаются:
При отсутствии данных о токе или мощности
короткого замыкания в существующей сети индуктивное сопротивление системы можно
оценить (но не при проектировании) приближенно, исходя из условия полного
использования отключающей способности выключателей, установленных на узловой
подстанции электроэнергетической системы, т.е. полагая, что периодическая
составляющая тока короткого замыкания в месте установки выключателей равна их
номинальному току отключения Iоткл ном. В этом случае в формулах под током Iп.о
следует понимать ток Iоткл. ном.
Обычно кроме системы расчетная схема содержит
источники энергии (генераторы, синхронные компенсаторы), для которых короткое
замыкание является удаленным, т.е. отношения действующих значений периодической
составляющей токов этих источников в начальный момент короткого замыкания в
расчетной точке к их номинальным токам менее 2 (такие условия имеют место при
коротком замыкании за двумя трансформаторами, за линейными реакторами и т.д.).
В этих случаях все эти источники энергии посредством соответствующих
преобразований схемы замещения, составленной для расчета начального значения
периодической составляющей тока короткого замыкания (т.е. схемы, в которой
синхронные генераторы и компенсаторы учтены сверхпереходными сопротивлениями и
сверхпереходными ЭДС), можно объединить с системой и амплитуду эквивалентной
ЭДС считать неизменной во времени. При этом действующее значение периодической
составляющей тока короткого замыкания также остается неизменной во времени и
определяется по формуле
где Eэк и Е(эк)б - эквивалентная ЭДС
соответственно в именованных и относительных единицах; Хэк и Хэк(б) -
эквивалентное сопротивление части расчетной схемы, содержащей удаленные
источники энергии и систему, соответственно в именованных и относительных
единицах.
.3 Определение начального сверхпереходного и
ударного токов короткого замыкания
При проектировании и эксплуатации электрических
установок для решения целого ряда технических вопросов часто требуется
предварительный расчет электромагнитных переходных процессов, вызванных
внезапным коротким замыканием (КЗ). В зависимости от назначения расчетов
выбирается расчетный вид КЗ. Как правило, расчетным для окончательного решения
вопроса о возможности работы установки в условиях КЗ оказывается трехфазное КЗ,
которое является симметричным, так как при нем не нарушается симметрия токов и
напряжений электрической системы в случае допущения равенства параметров всех
трех фаз.
Изучение процесса трехфазного КЗ важно как само
по себе, так и в связи с тем, что применение правила эквивалентности прямой
последовательности позволяет свести рассмотрение любого несимметричного КЗ к
некоторому условному трехфазному. Кроме того, процесс включения электрических
двигателей или невозбужденных синхронных генераторов и других трехфазных
приемников можно рассматривать как трехфазное КЗ за некоторым сопротивлением.
Расчет тока трехфазного КЗ в простейшей
трехфазной цепи, питающейся от источника неограниченной мощности,- сводится к
исследованию электромагнитного переходного процесса в индуктивной цепи.
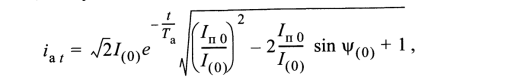
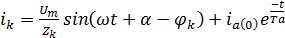
Ток КЗ в каждой из фаз состоит из периодической
и апериодической составляющих и определяется для одной из них выражением
(1)
где Um - амплитуда напряжения источника; zk-
полное сопротивление одной фазы цепи КЗ;
-
фаза включения;
-угол сдвига тока в
цепи КЗ; ia(0)- начальное значение апериодической составляющей тока КЗ; Ta-
постоянная времени, зависящая от параметров цепи.
Наибольшая апериодическая составляющая зависит
как от фазы включения, так и от предшествующего режима. В инженерной практике
принято в качестве расчетного случая рассматривать предварительно разомкнутую
цепь. При этом для цепей с преобладающей индуктивностью, когда
=90
приблизительно совпадают условия возникновения наибольшей апериодической
составляющей и максимума мгновенного значения полного тока, который называется
ударным током короткого замыкания;
(2)
где Inm=
- амплитуда периодической составляющей; куд - ударный коэффициент, изменяющийся
в пределах 1 < kуд < 2.
Нетрудно видеть, что апериодические составляющие
токов в фазах различны и, следовательно, рассмотрение трехфазного короткого
замыкания как симметричного может быть отнесено только к периодическим
составляющим фазных токов. Периодическая составляющая тока трехфазного КЗ
определяется напряжением источника и сопротивлением цепи, которые
предполагаются неизменными. Следовательно, .неизменным остается и действующее
значение периодической составляющей.
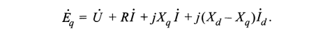
В случае внезапного КЗ синхронного генератора
при нагрузке периодическую составляющую тока можно приближенно выразить через
расчетные ЭДС: сверхпереходную Eq” и переходную Eq’ , вычисляемые из
предшествующего режима с помощью векторных диаграмм или по формулам:
;(3)
(4)
ЭДС
и
-
это расчетные ЭДС, которые в начальный момент изменения режима сохраняют свое
предшествующее значение. Периодическая составляющая тока трехфазного КЗ на
шинах генератора определяется в этом случае без особых затруднений:
или
(5)
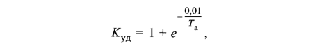
При расчете ударного тока учитывают затухание
лишь апериодической составляющей тока, считая, что амплитуда сверхпереходного
тока остается практически неизменной в течение полупериода. Ударный ток для
наиболее тяжелых условий определяется по формуле:
(6)
где kyд - ударный коэффициент, зависящий от
постоянной времени Та.э:
(7)
Постоянная времени Tаэ вычисляется одним из
приведенных методом.
Для систем со многими генераторами и нагрузками
точный расчет токов КЗ представляет собой очень сложную задачу. В инженерной
практике определение начального сверхпереходного тока рекомендуется выполнять
по следующей методике.
. Составляют схему замещения, в которой:
а) генераторы, синхронные компенсаторы,
синхронные двигатели, асинхронные двигатели представляются своими
сверхпереходными значениями Е" и X" (рис.1). ЭДС Е" рассчитывают
из предшествующего режима. Для синхронных двигателей, работающих с опережающим
током (перевозбуждением), и синхронных генераторов Е" определяется по
выражению (3); для синхронных двигателей, работающих с отстающим током
(недовозбуждением), и асинхронных двигателей ЭДС Е" определяется по
выражению
;(8)
Значения ЭДС Е" по выражениям (3, 8, 9)
удобно определить сначала в относительных единицах (о.е) при номинальных
условиях, а затем сделать перерасчет к базисным условиям. Следует отметить,
если для двигателей вместо х" дается значение ͓I пуск(н), то ͓x
(10)
б) обобщенная нагрузка представляется также
сверхпереходными значениями Е" и х";
Е"нагр =0.85 и х"нагр=0,35. (11)
Эти значения даны в относительных единицах при
номинальной мощности нагрузки и среднем номинальном напряжении ступени, где она
присоединена.
.Если расчет выполняют в относительных единицах,
то все параметры схемы замещения определяют в о.е. при выбранных базисных
условиях. При расчете в именованных единицах все параметры схемы замещения
приводятся к одной ступени напряжения, как правило, к основной, на которой
произошло короткое замыкание.
.Далее определяют токи в ветвях схемы любым
известным методом. При ручном счете преобразуют схему к виду (рис.2), определяя
Е" и х" относительно точки КЗ.
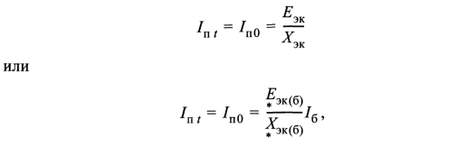
.Рассчитывают периодическую составляющую
сверхпереходного тока КЗ

(12)
. Рассчитывают ударный коэффициент
и
определяют ударный ток КЗ
.
Примечания. 1. Пуск двигателя можно
рассматривать как трехфазное КЗ за его переходным (сверхпереходным)
сопротивлением.
Ударный ток от асинхронного двигателя, на шинах
которого произошло трехфазное КЗ, рассчитывается отдельно, независимо от других
источников, поскольку для АД характерно значительное затухание не только
апериодической, но и периодической составляющей тока подпитки места
повреждения. В этом случае
(14)
где, kудАД - коэффициент, зависящий от мощности
двигателей. Он выбирается в соответствии с рекомендациями [1]. Для мелких
двигателей и обобщенной нагрузки его практически можно брать kудАД = 1.
Величина ударного коэффициента зависит от места
КЗ в системе. Она определяется величиной Tаэ., которая зависит от отношения
х/r. Определение Tа.э. для сложной схемы выполняется различными методами. Как
показывают специальные исследования проведенные для схем с варьируемым числом
параллельных ветвей от двух до пяти и соотношением r/х от 0,01 до 3, наиболее
точным (погрешность в пределах 5%) оказывается метод эквивалентной частоты [3],
суть которого в следующем. Если наибольшее и наименьшее значения отношений r/х
параллельных ветвей схемы дают точку ниже кривой (рис.3), то в этом случае
вместо отношения составляющих результирующего сопротивления контура КЗ при
частоте 50Гц (
/
)
необходимо взять r/х = 0,4 (
/
)20Гц,
т.е.- определить полное сопротивление контура при частоте 20 Гц.
Рис.3
На рис. 3 по оси ординат откладывается
наименьшее отношение r/х, а по оси абсцисс - наибольшее.
Применяемый в практике расчетов более простой
метод определения Тм. при экстремальных частотах.
;
дает погрешность в пределах от -15 до +45%.
Метод результирующего сопротивления
/
при частоте 50 Гц всегда дает заниженное значение kyд, и максимальная
погрешность достигает 30%.
.4 Влияние электродвигателей и нагрузок в
начальный момент короткого замыкания
Влияние синхронных электродвигателей и
синхронных компенсаторов на ток в месте короткого замыкания в начальный момент
времени зависит от их режима работы до короткого замыкания и удаленности точки
короткого замыкания. При работе синхронных электродвигателей (компенсаторов) с
перевозбуждением их сверхпереходная ЭДС больше напряжения на выводах, поэтому
они подобно синхронным генераторам увеличивают ток в месте короткого замыкания.
В случае работы синхронных электродвигателей (компенсаторов) с недовозбуждением
их влияние в начальный момент короткого замыкания зависит от удаленности точки
короткого замыкания:
если в этот момент остаточное напряжение
оказывается меньше сверхпереходной ЭДС, то они увеличивают ток в месте
короткого замыкания;
если же остаточное напряжение остается больше
сверхпереходной ЭДС, то они продолжают потреблять реактивную мощность из сети.
Сверхпереходная ЭДС синхронного электродвигателя
до короткого замыкания при его работе с недовозбуждением в соответствии с
упрощенной векторной диаграммой (X”q = X”d), приведенной на рис. 3.6, может
быть определена по формуле
Асинхронные электродвигатели в начальный момент
короткого замыкания можно рассматривать как синхронные электродвигатели,
работающие с недовозбуждением, поэтому их влияние на начальный ток в месте
короткого замыкания также зависит от удаленности точки короткого замыкания.
В расчетной схеме асинхронные электродвигатели,
как и синхронные, должны быть учтены сверхпереходным сопротивлением и
сверхпереходной ЭДС. Сравнивая известную схему замещения асинхронного
электродвигателя с двумя обмотками на роторе со схемой замещения синхронной
машины с демпферными контурами по продольной оси, можно увидеть, что
сверхпереходное сопротивление асинхронного электродвигателя практически равно
его входному сопротивлению при неподвижном роторе
͙
Хк(ном) (так как только в оэтом случае можно
пренебречь активными сопротивлениями
,
входящими в схему замещения асинхронного двигателя), т.е.
где ͙Iп - кратность пускового тока
электродвигателя по отношению
к
его номинальному току.
Для определения сверхпереходной ЭДС асинхронных
электродвигателей применимы формулы. При этом в них вместо X”d следует
подставлять сверхпереходное сопротивление асинхронного электродвигателя,
определяемое по формуле.
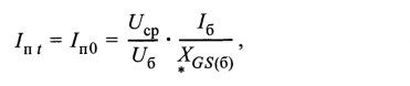
Обычно при расчете начального значения
периодической составляющей тока короткого замыкания индивидуально учитывают
только электродвигатели, подключенные вблизи точки короткого замыкания.
Остальные электродвигатели вместе с другими потребителями электрической
энергии, а также понижающими трансформаторами и кабелями учитывают в виде
обобщенных нагрузок различных узлов электроэнергетической системы. При
отсутствии достоверных данных об относительном составе нагрузок их в расчетной
схеме учитывают средними параметрами, полученными на основе анализа результатов
соответствующих экспериментов. В частности, если относительный состав нагрузки
близок к тому, который характерен для промышленных потребителей, а ее
электроснабжение осуществляется по радиальной схеме, то такую обобщенную
нагрузку эквивалентируют следующими параметрами:
͙Е"ном =0.85 и ͙х"ном=0,35.
Указанное значение ЭДС отнесено к среднему
номинальному напряжению той ступени напряжения, где подключена нагрузка, а
значение сверхпереходного сопротивления - к тому же напряжению и к суммарной
мощности этой нагрузки.
.5 Расчет апериодической составляющей тока
короткого замыкания в произвольной схеме
Модуль начального значения апериодической
составляющей тока короткого замыкания следует определять как разность
мгновенных значений периодической составляющей тока в начальный момент
короткого замыкания и тока в момент, предшествующий короткому замыканию.
Наибольшее начальное значение апериодической составляющей тока короткого
замыкания в общем случае следует принимать равным амплитуде периодической
составляющей тока в начальный момент короткого замыкания, т.е.

активная составляющая эквивалентного
сопротивления расчетной схемы относительно расчетной точки короткого замыкания
значительно меньше индуктивной составляющей;
к моменту короткого замыкания ветвь расчетной
схемы, в которой находится расчетная точка короткого замыкания, не нагружена;
напряжение одной из фаз сети к моменту
возникновения короткого замыкания проходит через нуль.
Если указанные условия не выполняются, то
начальное значение апериодической составляющей тока короткого замыкания меньше
амплитуды периодической составляющей тока короткого замыкания.
Для определения апериодической составляющей тока
короткого замыкания в произвольный момент времени предварительно должна быть
составлена такая схема замещения, чтобы в ней все элементы исходной расчетной
схемы учитывались как индуктивными, так и активными сопротивлениями. При этом
синхронные генераторы и компенсаторы, синхронные и асинхронные электродвигатели
должны быть учтены индуктивным сопротивлением обратной последовательности и
сопротивлением обмотки статора постоянному току при нормированной рабочей
температуре этой обмотки.
Если исходная расчетная схема имеет только
последовательно соединенные элементы, то апериодическую составляющую тока
короткого замыкания в произвольный момент времени t следует определять по
формуле
где Tа - постоянная времени затухания
апериодической составляющей тока короткого замыкания.
Эта постоянная определяется по формуле
где Хэк и Rэк - соответственно индуктивная и
активная составляющие эквивалентного сопротивления расчетной схемы относительно
точки короткого замыкания; ωсинх
- синхронная угловая частота напряжения сети.
В тех случаях, когда при расчете апериодической
составляющей тока короткого замыкания в произвольный момент времени необходимо
учесть ток генератора в момент, предшествующий короткому замыканию, следует
использовать формулу
где I(0) - ток генератора (действующее значение)
к моменту короткого замыкания; ψ
- угол сдвига фаз сверхпереходной ЭДС и тока генератора к моменту короткого
замыкания; Та - постоянная времени затухания апериодической составляющей тока
короткого замыкания в цепи с синхронным генератором.
Если исходная расчетная схема (и соответственно
схема замещения) является многоконтурной, то апериодическая составляющая тока
короткого замыкания изменяется во времени не по
экспоненциальному закону, а представляет собой сумму токов, являющихся
экспоненциальными функциями времени и затухающих с различными постоянными
времени. Число экспоненциальных слагающих апериодической составляющей в цепи с
активно-индуктивными ветвями равно числу независимых контуров. Поэтому точное
значение апериодической составляющей может быть определено только путем решения
соответствующей системы дифференциальных уравнений, составленных с учетом как
индуктивных, так и активных сопротивлений всех элементов исходной расчетной
схемы. Однако обычно используют приближенную методику расчета апериодической
составляющей, причем такая методика зависит от конфигурации исходной расчетной
схемы и положения расчетной точки короткого замыкания.
Если исходная расчетная схема является
многоконтурной, но все источники энергии связаны с расчетной точкой короткого
замыкания общим сопротивлением (или схема содержит только один источник
энергии), то при приближенных расчетах апериодической составляющей тока
короткого замыкания в произвольный момент времени допускается считать, что эта
составляющая затухает во времени по экспоненциальному закону с некоторой
эквивалентной постоянной времени Tа.эк. Существует несколько методов ее
определения:
с использованием составляющих комплексного эквивалентного
сопротивления схемы замещения относительно точки короткого замыкания,
измеренного при промышленной частоте:
Zэк - комплексное эквивалентное сопротивление
схемы замещения, измеренное при частоте 50 Гц; Jm Zэк - мнимая составляющая
комплексного эквивалентного сопротивления; Re Zэк - действительная составляющая
комплексного эквивалентного сопротивления; ωсинх
- синхронная угловая частота;
с использованием эквивалентных индуктивных и
активных сопротивлений схемы замещения относительно расчетной точки короткого
замыкания, полученных при поочередном исключении из схемы всех активных, а
затем всех индуктивных сопротивлений:
где Xэк (r = 0) - эквивалентное сопротивление
схемы замещения при учете в ней различных элементов расчетной схемы только
индуктивными сопротивлениями, т.е. при исключении всех активных сопротивлений;
Rэк(Х= 0) - эквивалентное сопротивление схемы замещения при исключении из нее
всех индуктивных сопротивлений;
с использованием составляющих комплексного
эквивалентного сопротивления схемы замещения относительно точки короткого
замыкания, измеренного при частоте 20 Гц:
где Zэк(20) - комплексное эквивалентное
сопротивление схемы замещения относительно расчетной точки короткого замыкания,
измеренное при частоте 20 Гц; Jm Zэк(20) - мнимая составляющая указанного
комплексного сопротивления; Re Zэк(20) - действительная составляющая этого
сопротивления.
По отношению к точному решению применение
первого метода обычно дает отрицательную погрешность (занижает значения
постоянной времени), применение второго метода дает положительную погрешность
(завышает значения постоянной времени). Погрешность, связанная с применением
третьего метода, по абсолютной величине обычно меньше, чем при использовании
первого и второго методов. При аналитических расчетах наиболее простым является
второй метод. При расчетах с применением ЭВМ предпочтение следует отдавать
первому и третьему методам.
Если расчетная точка короткого замыкания делит
исходную расчетную схему на несколько независимых друг от друга частей, то при
приближенных расчетах апериодической составляющей тока короткого замыкания в
произвольный момент времени ее следует определять как сумму апериодических
составляющих токов от отдельных частей схемы, полагая, что каждая из этих
составляющих изменяется во времени с соответствующей эквивалентной постоянной
времени, т.е.
где m - число независимых частей схемы; iа 0 . -
начальное значение апериодической составляющей тока короткого замыкания от i-й
части схемы; Та эк i . - эквивалентная постоянная времени затухания
апериодической составляющей тока КЗ от i-й части схемы, определяемая по
формулам.
3.6 Способы определения ударного коэффициента и
соответственно ударного тока короткого замыкания
Способ расчета ударного коэффициента и ударного
тока короткого замыкания зависит от требуемой точности расчета и конфигурации
исходной расчетной схемы.
Если исходная расчетная схема является
многоконтурной, то для получения высокой точности расчета ударного тока
короткого замыкания следует решить систему дифференциальных уравнений,
составленных для мгновенных значений токов в узлах и падений напряжения в
контурах расчетной схемы, и определить максимальное мгновенное значение тока в
ветви, в которой находится расчетная точка короткого замыкания.
При расчете ударного тока короткого замыкания с
целью проверки проводников и электрических аппаратов по условиям короткого
замыкания допустимо считать, что амплитуда периодической составляющей тока
короткого замыкания в момент наступления ударного тока равна амплитуде этой
составляющей в начальный момент короткого замыкания. Исключение составляют
случаи, когда вблизи расчетной точки короткого замыкания включены асинхронные
электродвигатели.
Если исходная расчетная схема содержит только
последовательно включенные элементы, то ударный ток следует определять по
формуле:
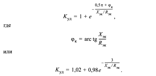
где Куд - ударный коэффициент. Последний
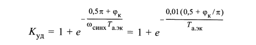
рекомендуется определять по одной из следующих формул:
В тех случаях, когда Хэк/ Rэк ≥ 5, ударный
коэффициент допустимо определять по более простой формуле
где Tа - постоянная времени, определяемая по
формуле.
Если исходная расчетная схема является
многоконтурной, причем все источники энергии связаны с расчетной точкой
короткого замыкания общим сопротивлением, то при приближенных расчетах ударного
тока короткого замыкания, исходя из ранее принятого допущения об
экспоненциальном характере изменения апериодической составляющей тока короткого
замыкания, при использовании формулы ударный коэффициент следует определять по
формулам, аналогичным:

где Tа. эк - эквивалентная постоянная времени
затухания апериодической составляющей тока короткого замыкания, определяемая по
формулам.
При Хэк/ Rэк ≥ 5 допустимо также
использовать формулу, аналогичную:
В тех случаях, когда исходная расчетная схема
является многоконтурной, но расчетная точка короткого замыкания делит ее на
несколько независимых частей, то ударный ток допустимо принимать равным сумме
ударных токов от соответствующих частей схемы, т.е.
где Ino i - начальное действующее значение
периодической составляющей тока короткого замыкания от i-й части схемы; Kуд . -
ударный коэффициент тока короткого замыкания от i-й части схемы, определяемый
по формулам.
. Методика расчета тока короткого замыкания
.1 Пример расчета
При трехфазном коротком замыкании за реактором
заданной схемы (точка К) определить ударный ток в месте повреждения и остаточное
напряжение на шинах низшего напряжения подстанции. 'Система характеризуется как
источник неограниченной мощности с напряжением 230 кВ. Напряжение короткого
замыкания для трехобмоточного трансформатора принять: Uквс = 12,5%, Uквн =
20,5%, Uксн =8%. Двигатель работает с номинальной нагрузкой при опережающем
коэффициенте мощности, равном 0,92 и с номинальным напряжением. Номинальное
напряжение двигателя совпадает с номинальным напряжением реактора.
Дано:
Система : Sc = →∞.= 230 кВ;
Трансформатор :ном = 80 МВА, Uвн = 209 кВ, Uсн =
37 кВ, Uнн = 6.6 кВ, Uквс = 12,5%, Uквн = 20,5%, Uксн =8%.
Линия : L = 65 м ; А - 70,
Нагрузка : Sном = 45 МВА;
: Рном = 1.8 МВт, хd” = 0.18 о.е. Uном = 6 кВ,
cos φ
= 0,92.
Реактор : Iном = 0,5 кА ; Uном = 6кВ; хр = 5%; ∆Рк
= 3,3кВт.
Определить: I”п.о -
Составляем схему замещения :
Определяем параметры схемы замещения точным
методом в относительных единицах:
Базисные условия:б = Sт.н = 80 МВА; б3 = Uннт =
6,6 кВ;б2 = Uб3 ·
= 6,6 ·
=
37 кВ;б1 = Uб3 ·
= 37 ·
=
209 кВ;б3 =
=
= 6,99 кА
Параметры:
а) система :
͓
Ес(б) =
=
=
1,1
͓
хс(б) = 0, т.к Sc = ∞ ;
б) трехобмоточный трансформатор:
к.в = 0,5· (Uвс + Uвн - Uсн) = 0,5· (12,5 + 20,5
- 8) = 12,5%; к.с = 0,5·(Uвс + Uсн - Uвн) = 0,5·(12,5 + 8 - 20,5) = 0%; к.н =
0,5·(Uвн + Uсн - Uвс) = 0,5·(20,5 + 8 - 12,5) = 8%;
͙хвт(б) =
=
·
·
= 0,125;
͙хст(б) = 0→ Uк.с = 0%;
͙хнт(б) =
·
·
=
·
·
= 0,08;
в) нагрузка: (Uср2 = 37 кВ - по шкале средних
номинальных напряжений).
͙
Е”нг(б) = 0,85 · Uср2 /Uб2 = 0,85 · 37 / 37 =
0,85;
͙х”нг(б) = 0,35 · (Uср2)2 / Sн · Sб /
(Uб2)2 = 0,35· 37/45 · 80/37 = 0,62;
г) кабель: (по (2) таблице 7,28 с. 421
определяем удельные сопротивления для кабеля марки А - 70 , Uн = 6 кВ);
х0 = 0,08= 0,443= 65 м.
͙
х”кб(б) = х0 · l · Sб / (Uб3)2 = 0,08 · 0,065 ·
80/6,62 = 0,0095;
͙r”кб(б) = r0 · l · Sб / (Uб3)2 = 0,443 ·
0,065 · 80/6,62 = 0,053;
д) синхронный двигатель:
По условию задачи двигатель работает с
номинальной нагрузкой при опережающем коэффициенте мощности, равным 0,92 и с
номинальным напряжением.
Тогда:
͙
I(н) = I
/ Iн =1;͙U(н)
= U / Uн
=1
(sin φ
= sin(arcos 0.92) = sin 23.07̊ =0.39)
͙E”сд(б)
= √ [͙U(н)
· cos φ]2
+ [ ͙U(н) · sin φ
+ ͙I(н) · ͙x”d(н)
]2 ·
=
= √[͙1 · 0.92]2 + [1 ·
0.39 +1 · 0.19]2 ·
= 0.98870≈0.99
͙x”сд(б)
= ͙x”d(н) ·
=
0.18 .
=
6.08
е) реактор:
͙р(б) =
·
=
.
=
0,635
Преобразуем схему замещения к виду:
1). (Ес , хтв ) // (Енг” ,хтс + хнг” ) с учетом,
что : хтс =0; rтс = 0.
Eэ
=
=
1,058
1,0;
xэ =
=
0,104;
). Eэ1 = Eэ = 1,05;э1 = xэ + хтн = 0,104 + 0,08
= 0,184;
). (Еэ1 , xэ1) // (Енг” , хсд” + хкб );
Eэ2
= EΣ”=
=
1,058
1,06;
xэ2 =
=
0,1786
0,18;
4). EΣ” = 1,06;
xΣ” = xэ2 + xр = 0,18 +
0,635 = 0,815;
Определяем I”п.о. :
͓”п.о(б).
=
=
1,3006
1,3;”п.о.
= ͙I”п.о(б)
·
Iб3
= 1,3·6,99
= 9,087
9,09
кА;
Находим Ку :
Ку =
;
= 0.063;
Ку =
= 1 + 0,88 = 1,88;
Ку = 1,88
2
- выполняется.
Определяем iу;
у. =
·Ку
· I”п.о =
·1,88 ·
9,09 = 24,1677
24,17 кА;
Определяем Uост,нн - Uост,А ;
В относительных единицах:
ост,А = I”п.о · xр = 1,3 · 0,635 =
0,8255.
В именованных единицах:
ост,А = ͙Uост,А(б) · Uб3 = 0,8255 ·
6,6 = 5,45 кВ
.2 Методика расчета тока короткого замыкания на
ЭВМ
В основу рассматриваемой методики положен метод
узловых напряжений. В качестве опорного узла принимается общая нейтраль схемы.
Возможны два варианта расчета: упрощенный, когда ЭДС всех источников питания
равны по величине и фазе, и точный, когда в расчетные схемы вводятся
действительные ЭДС. Поскольку упрощенный вариант схемы может привести к
существенным погрешностям, то целесообразно при расчетах на ЭВМ пользоваться
вторым вариантом. Сверхпереходные ЭДС генераторов и нагрузок определяются из
расчета предшествующего короткому замыканию режима за сверхпереходными
сопротивлениями. Рассчитанные действительные (комплексные значения) ЭДС
преобразуются в условные узловые источники тока, определяемые по формуле
,
где
- результирующее сопротивление
генераторной ветви, подключенной к i узлу (рисунок 4.9 а)
Рисунок 4.9 - Преобразование схемы:
а) преобразование ветви с ЭДС; б) трехфазное короткое замыкание в точке k
Исходные матричные уравнения узловых
напряжений для схемы без короткого замыкания на шинах записываются в виде YUΔ=J или в
развернутой форме
|
Y11
|
Y12
|
…
|
Y1n
|
|
U1
|
|
I1
|
|
|
Y21
|
Y22
|
…
|
Y2n
|
.
|
U2
|
=
|
I2
|
,
|
|
…
|
…
|
…
|
…
|
|
…
|
|
…
|
|
|
Yn1
|
Yn2
|
|
Y1n
|
|
Un
|
|
In
|
|
где Y11, Y22, … , Ynn - собственные и Y12, …
,Y1n - взаимные проводимости узлов схемы.
Напряжения в узлах при любых
задающих токах могут быть рассчитаны путем вычисления каким-либо способом обратной
матрицы
, называемой
матрицей узловых сопротивлений. В развернутой форме решение системы ( формула
4.24) имеет вид
|
Z11
|
Z12
|
…
|
Z1k
|
…
|
Z1n
|
|
I1
|
|
U1
|
,
(1.25)
|
|
…
|
…
|
…
|
…
|
…
|
…
|
|
…
|
|
…
|
|
|
Zk1
|
Zk2
|
…
|
Zkk
|
|
Zkn
|
.
|
Ik
|
=
|
Uk
|
|
|
…
|
…
|
…
|
…
|
…
|
…
|
|
…
|
|
…
|
|
|
Zn1
|
Zn2
|
…
|
Znk
|
…
|
Znn
|
|
In
|
|
Un
|
|
где Uk - напряжение k-го узла относительно общей
нейтрали схемы, рассчитанное в нормальном установившемся режиме:

.(4.26)
Таким образом, на данном этапе
расчета оказываются известными напряжения всех узлов.
Короткое замыкание в узле k (рисунок
4.9 б) можно рассматривать как соединение этого узла с общей нейтралью схемы
ветвью нулевого сопротивления. Ток короткого замыкания Iкз=
будет
проходить от данного узла к заземленной точке. Если короткое замыкание
трехфазное, то напряжение в месте повреждения (узел k) равно нулю и уравнение
(4.26) можно модифицировать, представив в виде:
.(4.27)
Из уравнения (1.27) получается
.(4.28)
Аналогично определяются токи
короткого замыкания в любом другом узле. Следовательно, для определения тока
короткого замыкания в некотором узле схемы необходимо знать предшествующее
напряжение, вычисленное для схемы со сверхпереходными ЭДС и сопротивлениями
источников, и собственное (входное) узловое сопротивление. По существу здесь
используется теорема об эквивалентном генераторе
,
где Zкз - сопротивление ветви
короткого замыкания, которое в общем случае не равно нулю.
Напряжение в j-м неповрежденном узле
при трехфазном коротком замыкании в узле k определяется, исходя из метода
наложения, по формуле
,(4.29)
где Zjk - взаимное узловое
сопротивление между узлами j и k . Ток короткого замыкания в некоторой ветви
между узлами l и m рассчитывается по выражению
.
Представленный алгоритм реализован
на ЭВМ и использован для расчетов токов короткого замыкания.
Составляем расчетную схему
замещения:
где:=xтв = 0,125;=xтc +xнг = 0 +
0,62 = 0,62;=xтн = 0,08;=xтв + xd” = 0.0095 + 0.18 = 0.1895;
x5 =xр
= 0,63;
и= Ic + Iнг;=
Icd ;= 0;
Откуда:
=
= 8,8;
Iнг
=
= 1,37;
Icd =
= 5,22;= Ic
+ Iнг
= 10,17;= Icd = 5,22;
I3 = 0
|
y1+y3
|
-
y3
|
0
|
|
-
y3
|
y3+
y4+y5
|
-
y5
|
|
0
|
-
y5
|
y5
|
|
22.11539
|
-12.50000
|
0.00000
|
|
-12.50000
|
19.36435
|
-1.58730
|
|
0.00000
|
-1.58730
|
1.58730
|
Исходные данные
MN MK Z
1 4 0.10400 0.00000
1 2 0.08000 0.00000
2 4 0.18950 0.00000
2 3 0.63000 0.00000
Задающие токи в узлах
1 10.17000 0.00000
2 5.22000 0.00000
3 0.00000 0.00000
МАТРИЦА УЗЛОВЫХ ПРОВОДИМОСТЕЙ
.11539 0.00000 -12.50000 0.00000 0.00000 0.00000
.50000 0.00000 19.36435 0.00000 -1.58730 0.00000
.00000 0.00000 -1.58730 0.00000 1.58730 0.00000
МАТРИЦА УЗЛОВЫХ СОПРОТИВЛЕНИЙ
.07504 0.00000 0.05277 0.00000 0.05277 0.00000
.05277 0.00000 0.09335 0.00000 0.09335 0.00000
.05277 0.00000 0.09335 0.00000 0.72335 0.00000
МАТРИЦА Y*Y-1
.00000 0.00000 0.00000 0.00000 0.00000 0.00000
.00000 0.00000 1.00000 0.00000 0.00000 0.00000
.00000 0.00000 0.00000 0.00000 1.00000 0.00000
Напряжения в узлах до КЗ
1 1.03861 0.00000 1.03861
2 1.02394 0.00000 1.02394
3 1.02394 0.00000 1.02394
Токи К.З. в узлах
1 13.84046 0.00000 13.84046
2 10.96826 0.00000 10.96826
3 1.41554 0.00000 1.41554
Заключение
В данной выпускной квалификационной работе мы
закрепили знания применения метода узловых потенциалов к расчету токов
трехфазного короткого замыкания. Воспользовались алгоритмом расчета начального
тока трехфазного короткого замыкания в сложной схеме, показав на примере расчет
токов короткого замыкания на ЭВМ.
Таким образом, разработка методов анализа и
расчета электромагнитных переходных процессов при трехфазных коротких
замыканиях в современных энергосистемах, отличающихся наличием мощных
генераторов, трансформаторов, двигателей и нагрузок, представляет собой важную
и актуальную задачу особенно в области разработки алгоритмов и программ
вычисления токов короткого замыкания на ЭВМ для произвольного момента времени.
Список используемой литературы
1.Ульянов
С.А. Электромагнитные переходные процессы в электрических системах.-М.:
Энергия, 1970. - 520 с.
Правила
устройства электроустановок, 7-е издание: М, 2000.
Методические
указания к выполнению курсовой работы. М.А. Новожилов. Иркутский
Государственный технический университет; Иркутск, 2001.
.Лихачев
В.Л. Электротехника. Справочник. Том 1./В.Л. Лихачев. - М.: СОЛОН-Пресс, 2003.
.Неклепаев
Б. Н., Крючков И. П. Электрическая часть электростанций и подстанций:
Справочные материалы для курсового и дипломного проектирования: Учеб. пособие
для вузов. - 4-е изд., перераб. и доп. - М.: Энергоатомиздат, 1989.
.Щедрин
В.А. Методы расчета трехфазных коротких замыканий: учеб. пособие / В.А. Щедрин,
Н.М. Ермолаева. - Чебоксары: Изд-во Чуваш. ун-та, 1989. - 120 с.
.Короткие
замыкания и выбор электрооборудования: учебное пособие для вузов / И.П.
Крючков, В.А. Старшинов, Ю.П. Гусев и др.; под ред. И.П. Крючкова, В.А.
Старшинова. - М.: Издательский дом МЭИ, 2012. - 568 с.