Трехфазный мостовой тиристорный управляемый выпрямитель

  • Вид работы:
    Контрольная работа
  • Предмет:
    Информатика, ВТ, телекоммуникации
  • Язык:
    Русский
    ,
    Формат файла:
    MS Word
    240,12 Кб
  • Опубликовано:
    2016-01-04
Вы можете узнать стоимость помощи в написании студенческой работы.
Помощь в написании работы, которую точно примут!

Трехфазный мостовой тиристорный управляемый выпрямитель















Контрольная работа

Трехфазный мостовой тиристорный управляемый выпрямитель

Задание на контрольную работу

 
Тема контрольной работы: трехфазный мостовой тиристорный управляемый выпрямитель.

Разработать тиристорный управляемый выпрямитель для питания якорных цепей двигателей постоянного тока, который можно использовать также для регулирования напряжения в цепях с активной, индуктивной и активно-индуктивной нагрузками.

Число фаз питающей сети - 3, частота -50 Гц.

Исходные данные для расчета управляемого выпрямителя представлены в таблице 1.

Таблица 1.

№ п/п

Напряжение питающей сети, В

Номинальный выпрямленный ток, А

Длительно допустимый выпрямленный ток, А

Максимальный ток, А

Номинальное выпрямленное напряжение, В

8

380

200

250

400

460



Аннотация


Контрольная работа включает в себя пояснительную записку, состоящую из 16 страниц машинописного текста, 2 таблиц.

Целью контрольной работы по предмету является закрепление и углубление знаний, полученных магистром по данной дисциплине и применение этих знаний, а. также знаний, приобретенных в процессе научно-исследовательской работы студентов, при решении конкретных технических задач.

Содержание

Введение

. Расчетная часть тиристорного управляемого выпрямителя

.1 Определение требований к вентилям

.2 Определение требований к трансформатору

.3 Расчет элементов защиты

.3.1 Расчет элементов защиты от аварийных токов

.3.2 Расчет элементов защиты от перенапряжений

. Расчет регулировочной характеристики

. Расчет нагрузочной характеристики

. Расчет энергетических показателей

Заключение

Литература

Введение

Полупроводниковые преобразователи (ПП) на основе контакта металл - полупроводник (КМП) широко используются в современных электронных устройствах для преобразования различных видов энергии в электрическую. Такие ПП КМП, как солнечные элементы, фотоэлементы, тензоэлементы, датчики механических напряжений, датчики радиационных излучений и др. с одной стороны нашли интенсивное применение, с другой - их электрофизические свойства все еще систематически исследуются. Установлено, что электрофизические процессы, происходящие в таких реальных ПП часто трудно интерпретируются с помощью основных положений фундаментальных теорий и энергетических моделей идеализированных КМП.

Результаты современных экспериментальных и теоретических исследований твердо установили существенные различия в электрофизических процессах, происходящих в реальных и идеальных КМП. Одной из основных причин этого различия является образование дополнительных электрических полей в полупроводниковых приконтактных активных областях КМП из-за как эмиссионной неоднородности границы раздела контактирующих материалов, так и ограниченности контактной поверхности со свободными поверхностями металла и полупроводника. Необходимо отметить, что энергетические модели и механизмы токопрохождения в реальных КМП с учетом объективно существующих дополнительных электрических полей достаточно хорошо объясняют почти все особенности экспериментально наблюдаемых электрофизических параметров и характеристик ПП КМП, изготовленных на различных контактных структурах при различных экспериментальных условиях [1]. К сожалению, свойства КМП с дополнительным электрическим полем все еще мало изучено.

Полупроводниковые преобразователи обычно изготавливаются на основе известных теоретических принципов, реализуемых на нескольких физических элементах, например, на p-n переходе, гетеропереходе, КМП, металл - диэлектрик - полупроводник структуре и металл - диэлектрик - металл структуре. В отличие от других физических элементов, такая особенность, как образование дополнительных электрических полей в полупроводниковой приконтактной активной области реальных КМП открывает перспективы изготовления ПП КМП на основе новых физических принципов. Так как, дополнительное электрическое поле играет активную роль как в образовании потенциального барьера в реальных КМП, так и в особенности токопрохождения. При этом потенциальный барьер образуется даже в том случае, когда известные условия Шоттки о выпрямлении КМП не выполняются. Это ярко выражается при использовании металлических и полупроводниковых наночастиц в качестве контактирующих материалов для изготовления ПП КМП.

Целью контрольной работы по предмету является закрепление и углубление знаний, полученных магистром по данной дисциплине и применение этих знаний, а. также знаний, приобретенных в процессе научно-исследовательской работы студентов, при решении конкретных технических задач.

Задача контрольной работы состоит в разработке структурной и принципиальной схемы управляемого тиристорного выпрямителя и расчете элементов схемы трехфазного мостового тиристорного управляемого выпрямителя, его энергетических параметров и характеристик.

. Расчетная часть тиристорного управляемого выпрямителя

.1 Определение требований к вентилям

Определяем максимальное обратное напряжение на тиристоре.

 (1.1)

где  - коэффициент напряжения, равный π/3 = 1,047

 - номинальное выпрямленное напряжение

Определяем максимальное прямое напряжение на тиристоре.

 (1.2)

Определяем средний ток тиристора.

 (1.3)

где  - коэффициент среднего тока тиристора, равный 1/3 = 0,333

 - номинальный выпрямленный ток

Определяем максимальный ток тиристора.

 (1.4)

где  - максимальный ток

Определяем действующее значение тока тиристора.

 (1.5)

где  - коэффициент действующего значения тока тиристора, равный

Выбираем тиристор на периодически повторяющееся напряжение 500 В и на средний ток более 66,6 А по справочнику. [6].

Тиристорам, удовлетворяющим данным требованиям является тиристор типа Т10-80-5

Параметры тиристора типа Т10-80-5 сводим в таблицу 1.

Таблица 1. Параметры тиристора Т10-80-5

Параметр

Значение

Предельный ток тиристора Inк, А

80

500

Критическая скорость нарастания прямого тока ()кр, А/мкс

70

Максимально допустимая температура структуры [Θрп], ºС

125

Действующее значение тока, А

58

Прямое падение напряжение ΔU, В, при токе Inк

0,85

Отпирающий ток управления Iу, мА, при температуре 25°С и Unp = 12 В, не более

300

Отпирающее напряжение управления Uy, В, при температуре 25°С и Unp = 12 В, не более

6

Время выключения t, мкс

100

Критическая скорость нарастания прямого напряжения ()кр, В/мкс

50

Ток удержания Iудерж, мА, при температуре 25ºС, не более

220



1.2 Определение требований к трансформатору

Определяем напряжение на вторичной обмотке трансформатора.

тиристорный выпрямитель вентиль трансформатор

 (2.1)

где  - коэффициент выпрямленного напряжения, равный 1,35

Определяем полную мощность трансформатора.

 (2.2)

где  - коэффициент типовой мощности трансформатора, равный 1,045

Определяем ток первичной обмотки трансформатора.

 (2.3)

где  - коэффициент тока первичной обмотки, равный 0,82

 - фазное напряжение первичной обмотки

340,7 /380/))*200 = 254,67 А

В соответствии с расчетными данными по справочнику [4] выбираем трансформатор типа Т-100

1.3 Расчет элементов защиты

1.3.1 Расчет элементов защиты от аварийных токов

Так как тиристорный выпрямитель работает на активно-индуктивную нагрузку и имеет малую мощность, то можно не разрабатывать устройство защиты от аварийных токов.

1.3.2 Расчет элементов защиты от перенапряжений

Роль элементов защиты тиристоров от перенапряжений выполняют элементы R и С включенные параллельно тиристорам.

Рассчитаем постоянную времени RC - цепочки по формуле из [3].

 (3.1)

где  - критическая скорость нарастания прямого напряжения на тиристоре

 - прямое напряжение на тиристоре

 - постоянная времени RC - цепочки.



 (3.2)



 (3.3)

Выбираем емкость в соответствии с рекомендациями в [3] 1 мкФ на напряжение 500 В типа МБП - 1.0-500±10%

Рассчитаем величину резистора.

 (3.4)

По справочнику [1] выбираем резистор типа ПТ-8Т2

Определим мощность, рассеиваемую на резисторе.

 (3.5)

где Т - период повторения напряжения сети

В соответствии с выполненными расчетами производим спецификацию на выбранные элементы схемы.

Таблица 2.

№ п/п

Позиция

Тип по ГОСТ

Количество

1

Тиристоры

Т10-80-5

6

2

Резисторы

6

3

Конденсаторы

МБП-1.0-500±10%

6

4

Трансформаторы

ТМ -100

1



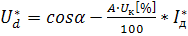
2. Расчет регулировочной характеристики

Так как управляемый выпрямитель работает на электропривод постоянного тока (т.е. , то для расчета регулировочной характеристики воспользуемся зависимостью из справочника [2].

 (2.1)

где  - выпрямленное напряжение на нагрузке для неуправляемого выпрямителя

Расчет сводим в таблицу 3.

Таблица 3.

0

30

45

60

90

1

0,866

0,707

0,5

0


В соответствии с таблицей строим график.

Регулировочная характеристика управляемого выпрямителя при



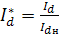
3. Расчет нагрузочной характеристики

Нагрузочная характеристика управляемого выпрямителя - это зависимость выпрямленного напряжения на нагрузке от тока, протекающего через нагрузку, при постоянном угле регулирования .

Построение производим в соответствии с [1].

 (3.1)

где  - относительное падение напряжения на нагрузке

 - относительный ток в нагрузке

 - напряжение короткого замыкания трансформатора (составляет 1-2% от )

А -коэффициент, характеризующий кратность падения напряжения на стороне выпрямленного тока по отношению к . А = 0,5.

Нагрузочная характеристика управляемого выпрямителя.



4. Расчет энергетических показателей

К энергетическим показателям управляемого выпрямителя относят λ - коэффициент мощности и η - КПД. Коэф. мощности в соответствии с [1].

 (4.1)

где к - коэффициент формы тока, равный 3/π = 0,955;

 - угол коммутации ( чуть больше времени включения тиристора, поэтому им пренебрегаем);

 - угол регулирования;

 (4.2)

где  - КПД трансформатора, равный 0,96;

 - КПД выпрямительной схемы

 (4.3)


;

;

 Вт;



Заключение

В данной контрольной работе был выполнен электрический расчет трехфазного мостового тиристорного управляемого выпрямителя, а именно:

·        Расчет требований к вентилям (тиристорам) и выбор их.

·   Расчет требований к согласующему силовому трансформатору и выбор его типа.

·        Расчет регулировочной характеристики для случая активно-индуктивной (при L →∞) нагрузоки.

Построена зависимость Ud = f(α).

·        Расчет внешней (нагрузочной) характеристики УВ.


1. Забродин Ю.С. Промышленная электроника - М.: Высш. Школа, 2014

. Справочник по проектированию автоматизированного электропривода и систем управления технологическими процессами. (Под ред. Круковича В.И., Барыбина Ю.Г., Самовера М.Л.). Изд - ие 3-е - М.: Энергия 2012

. Справочник по преобразовательной технике. Под ред. Чиженко И.М. - Киев: Техника, 2008

. Электротехнический справочник. В 3-х томах, т. 1 и т. 2. Под общей ред. проф. МЭИ Герасимова В.Г. и др. - М.: Энергия, 1980, т. 2 Энергоиздат, 1981

. Электротехнический справочник. В 3-х томах, т. 3 в 2-ух книгах. Книга 2 Использование электрической энергии / Под общей ред. профессоров МЭИ: Орлова И.Н. (гл. ред.) и др. - 7-е издание испр. и доп. - М.: Энергоатомиздат, 2008

. Чебовский О.Т., Моисеев Л.Г., Сахаров Ю.В. Силовые полупроводниковые приборы. Справочник - М.: Энергия, 2009

Похожие работы на - Трехфазный мостовой тиристорный управляемый выпрямитель

 

Не нашли материал для своей работы?
Поможем написать уникальную работу
Без плагиата!
Без нейросетей!