Расчет силового управляемого выпрямителя

  • Вид работы:
    Контрольная работа
  • Предмет:
    Информатика, ВТ, телекоммуникации
  • Язык:
    Русский
    ,
    Формат файла:
    MS Word
    46,81 Кб
  • Опубликовано:
    2014-09-17
Вы можете узнать стоимость помощи в написании студенческой работы.
Помощь в написании работы, которую точно примут!

Расчет силового управляемого выпрямителя

Филиал Федерального государственного бюджетного образовательного

учреждения

высшего профессионального образования

«Южно-Уральский государственный университет»

(Национальный исследовательский университет)

в г. Озерске

Кафедра «Информатика»

Специальность «Электроэнергетика и электротехника



Расчет силового управляемого выпрямителя

КОНТРОЛЬНАЯ РАБОТА

по дисциплине «Силовая электроника»


Автор работы

студент группы 336-ОзЗ

В.В.Решетников

Преподаватель

В.И.Романов




Озерск 2013

ОГЛАВЛЕНИЕ

1. РАСЧЕТ СИЛОВОГО УПРАВЛЯЕМОГО ВЫПРЯМИТЕЛЯ

.1 Исходные данные для расчета

.2 Расчет ЭДС и средней мощности преобразователя

.3 Расчет силового трансформатора

.4 Выбор тиристоров силового преобразователя

.5 Расчет сглаживающего реактора

.6 Расчет внешних характеристик преобразователя

БИБЛИОГРАФИЧЕСКИЙ СПИСОК

выпрямитель трансформатор тиристор преобразователь

1. РАСЧЕТ СИЛОВОГО УПРАВЛЯЕМОГО ВЫПРЯМИТЕЛЯ

1.1 Исходные данные

Рассчитать параметры элементов схемы управляемого выпрямителя: трансформатора (при трансформаторном варианте), вентилей (тиристоров), сглаживающего реактора и выбрать их из справочника.

Рассчитать статические характеристики двигателя w = f (iя) при нескольких углов управления: α = 00; 300; 600; 900.

Рис. 1 Трехфазная мостовая схема.

Таблица 1 - Исходные данные:

N  п/п

Rном,  кВт

Uян,  В

IЯН,  А

н,  %

nн,  об/мин

Jдв,  кг*м2

тип двигателя

14

8

220

43

84

1500

0,1

П52-У4

 

1.2 Расчет ЭДС и средней мощности преобразователя

Номинальная ЭДС силового преобразователя Ud0 должна быть выбрана такой, чтобы обеспечивалась номинальная скорость вращения двигателя при возможном снижении напряжения сети на 10 % и ограничении минимального угла управления α min (обычно αmin = 100), а также содержать некоторый запас по напряжению (≈20%) для форсировки переходных режимов. Последнее требование является необходимым условием хорошей динамики при использовании комплекса «управляемый выпрямитель - двигатель» в составе замкнутой системы автоматического регулирования.

Номинальная ЭДС силового преобразователя Ud0:  

Ud0 = Uн *1,11* 11,2/ cos αmin = 220*1,11*11,2/10 = 296 В

Средняя мощность на выходе выпрямителя: 

Pd = Ud0Id = 296 ⋅ 43 = 12728 Вт,

 где Id - номинальный ток выпрямителя, Id = IЯН.

Полученные значения являются исходными для расчета силового трансформатора преобразователя.

1.3 Расчет силового трансформатора

 Целью расчета является определение следующих характеристик трансформатора:

номинального фазного напряжения U2Ф вторичной обмотки, обеспечивающего получение номинальной ЭДС силового преобразователя Ud0;

типовой мощности SТ;

активного RФ и индуктивного XФ сопротивлений фазы трансформатора;

эквивалентного сопротивления RЭ тиристорного преобразователя, обусловленного процессом коммутации тока в преобразователе и определяемого опротивлениями RФ и XФ.

 Расчет силового трансформатора для вентильного блока, выполненного по трехфазной мостовой схеме (рис. 1).

Номинальное фазное напряжение вторичной обмотки трансформатора

U2Ф = Ud0 ⋅ 0,428 = 296 ⋅ 0,428 = 127 В.

 Расчетная мощность трансформатора

ST = Pd ⋅1,045 = 12,728 ⋅1,045 = 13,3 кВа.


I2Ф = SТ/3U2Ф = 13300|3*127 = 34.9 А

 Активное сопротивление фазы трансформатора

RФ = PK/3*I2 2Ф = 332,5/3*34,92 = 0,09 Ом

 где РК - потери короткого замыкания (принято РК = 2,5%), т.е.

PK = 0,025ST = 0,025 ⋅ 13,3 = 332,5 Вт.

 Полное сопротивление фазы трансформатора

ZФ = UK/ I2Ф = 3.81/34,9 = 0,11 Ом;

 где UK - напряжение короткого замыкания (принято 3 % от U2Ф), т.е. K = 0,03U2Ф = 0,03 ⋅ 127 = 3.81 В.

 Индуктивное сопротивление фазы трансформатора

XФ =  = Ом.

 Эквивалентное сопротивление тиристорного преобразователя

RЭ = (m/2π)ХФ + 2RФ =( 6/2*3,14)*0,06 + 2*0,09 = 0,24 Ом

 На основании расчета выбираем из каталога трансформатор ТСЗП 16/0,7 из серии сухих трансформаторов с номинальной ST - 14.5 кВА и фазным током I2Ф - 40,8 А.

Трансформаторы предназначены для питания тиристорных преобразователей по трехфазной мостовой схеме. Имеют одну первичную и одну вторичную обмотки соединенные звезда - треугольник.

1.4Выбор тиристоров силового преобразователя

Определение предельно допустимых значений параметров.

Высокая надежность электронной аппаратуры на полупроводниковых приборах, в частности на тиристорах, обеспечивается при выполнении ряда требований. Основными из них является ограничение температуры кристалла за счет снижения температуры корпуса путем улучшения условий охлаждения, а также снижение рабочих напряжений и токов. Рабочие напряжения и токи реобразователя должны быть на уровне 0,7 - 0,8 от предельных (максимальных) значений, допустимых для выбранных тиристоров.

Максимальный ток якоря двигателя IЯ. MAX в переходных режимах по условиям коммутации обычно ограничен пределами (1,5…2,5) IЯН.

Примем IЯ MAX = 2IЯН, тогда максимальный ток нагрузки преобразователя:

Id = I Я.MAX = 2I ЯН = 2 ⋅ 43 = 86 А.

Среднее значение тока через тиристор:

IV.СР = 0,33Id = 0,33 ⋅86 = 28,4 А

 Максимальное значение тока через тиристор:

IV.MAX = 1,045Id = 1,045⋅86 = 90 А.

 Обратное повторяющееся напряжение на тиристоре:

UV.ОБР = 1,045Ud = 2,09 ⋅ 220 = 460 В

 С учетом приведенных выше рекомендаций предельные эксплуатационные значения тока и напряжения тиристоров для трехфазной мостовой схемы выпрямителя, имеющего нагрузку в виде якорной цепи двигателя П-52, должны удовлетворять условиям:

IОС, СР. MAX ≥ (1/0,8) IV.СР = (1/0.8)28,4 = 35,5 А.ОБР,П ≥ UЗС,П ≥ (1/0,8) UV.ОБР = (1/0.8)460 = 575 В.

 где IОС, СР MAX - предельно допустимый средний ток тиристора в открытом состоянии;

UЗС, П - повторяющееся импульсное напряжение в закрытом состоянии; ОБР, П - повторяющееся импульсное обратное напряжение.

Импульсное неповторяющееся напряжение UОБР, НП, которое должен выдерживать тиристор, можно принять равным 1,2 UОБР, П ,:

UОБР.НП ≥1,2UОБР.П = 1,2 ⋅ 575 = 690 В.

По данным расчета применим оптронный тиристор ТО2-40-7, который имеет допустимое среднее значение тока IОС, СР MAX = 40 А (при температуре корпуса ТК < 700С) и предельно допустимые значения напряжения UЗС, П = UОБР, П = 700 В (с учетом возможных неповторяющихся перенапряжений).

1.5 Расчет сглаживающего реактора

Режим прерывистых токов возникает в случае, когда количество энергии, запасенной в суммарной индуктивности якорной цепи, недостаточно для поддержания тока в выключаемом тиристоре до момента открытия соответствующего очередного тиристора. В режиме идеального холостого хода двигателя, когда ток якоря равен нулю, ЭДС двигателя равна не среднему значению выходного напряжения ТП, как в режиме непрерывного тока, а максимальному мгновенному значению этого напряжения (Um − ΔUT ), где - амплитудное значение напряжения, подводимого к ТП (для мостовой схемы тиристорного преобразователя Um =Uл ,

ΔUТ - падение напряжения на открытых тиристорах, ΔUТ = 1,5…3В.

Если пренебречь индуктивностью рассеяния вторичных обмоток силового трансформатора по сравнению с индуктивным сопротивлением цепи нагрузки преобразователя, то среднее значение тока граничного режима I гр, соответствующего переходу от режима непрерывного тока к режиму прерывистого тока, можно определить по выражению:

Iгр = (Udosin α/ωсLн)(1-(π/m)(ctg π/m),

где Lн - индуктивность в цепи нагрузки, состоящая из индуктивности

якорной цепи двигателя La и индуктивности сглаживающего реактора Lр;

ωс - частота питающей сети. ля трехфазной мостовой схемы фазность m = 6.

Если заданный граничный ток Iгр представить в долях от номинального тока якоря двигателя IЯН, т.е. Iгр = δIIЯН, то формулу для определения суммарной индуктивности якорной цепи Lн , обеспечивающей заданную зону непрерывного тока, можно получить из выражения:

Lн = (Udosin α/δIIян ωс)(1-(π/m)(ctg π/m)

Так, например, зададимся δI = 0,07 и определим необходимую индуктивность Lн, ограничивающую зону прерывистого тока значением 7% от номинального тока якоря двигателя, учитывая, что пульсации тока максимальны при угле управления тиристорами α = 900.

Для мостовой схемы эта индуктивность будет равна

Lн = (296*1/0,07*43*314)(1-(3,14/6)(ctg 3,14/6) = 0,028 Гн.

 Индуктивность сглаживающего реактора LР:

LР = Lн − LЯ ,   

 где LЯ - индуктивность якоря двигателя.

Индуктивность LЯ можно определить по формуле Уманского-Линдвилла с использованием каталожных данных двигателя:

LЯ = βU/рIЯНωН = 0,6*220/1*43*157 = 0,019 Гн.

где р - число пар полюсов; β - коэффициент, для некомпенсированных машин β = 0,6; ωН - номинальная частота вращения двигателя,

ωН = πnН/30 = 3,14*1500/30 = 157 рад/с.

Таким образом, для мостовой схемы индуктивность сглаживающего

реактора, обеспечивающего непрерывный ток якоря двигателя при условии Я > 0,07IЯН определится как

LР = Lн1 − LЯ = 0,0,028 − 0,0,019 = 0,009 Гн.

На основании расчета выбираем из каталога сглаживающий реактор ФРОС 40/0,5 номинальной силой тока 50 А и индуктивностью 0,01 Гн.

1.6 Расчет внешних характеристик преобразователя

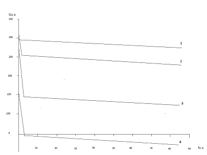
Расчет внешней характеристики для мостовой трехфазной схемы ТП при углах управления α1 = 00, α2 = 300, α3 = 600,α4 = 900:

Ордината точки пересечения продолжения характеристики по выражению (46) с вертикальной осью Ud при углах управления α1 = 00, α2 = 300, α3 = 600, α4 = 900:

Ud (α1) = Ud0 cos α1 − ΔUT = 296 ⋅ cos 00 −1,5 = 294,5 В, (α2) = Ud0 cos α1 − ΔUT = 296 ⋅ cos 300 −1,5 = 255 В, (α3) = Ud0 cos α1 − ΔUT = 296 ⋅ cos 600 −1,5 = 146,5 В, (α4) = Ud0 cos α1 − ΔUT = 296 ⋅ cos 900 −1,5 = -1,5 В,

Построение участка внешней характеристики для непрерывного тока по выражению выполняется в виде прямой линии, выходящей из точки Ud (α = 00) и имеющей отрицательный угловой коэффициент, численно равный RЭ.

Максимальное значение выходного напряжения ТП при углах управления α1 = 00, α2 = 300 α3 = 600 α4 = 900:

Еm(α1) = Um - ΔUT = 310 −1,5 = 308,5 В

Еm(α2) = Um - ΔUT = 310 −1,5 = 308,5 В.

Еm(α3) = Um cos (600 - π/m) - ΔUT = 310 ⋅ 0,87−1,5 = 268 В.

Еm(α4) = Um cos (900 - π/m) - ΔUT = 310 ⋅ 0,5 −1,5 = 153,5 В,

где Um - амплитудное значение напряжения, подводимого к преобразователю; m - фазность преобразователя, для трехфазной мостовой схемы m = 6.

U m = UЛ  = 220 ⋅ 1,41 = 310 В.

Среднее значение граничного тока Iгр при углах управления α1 = 00, α2 = 300, α3 = 600, α4 = 900 и суммарной индуктивности якорной цепи Lн = 0,028Гн:

= (296*0/0,028*314)(1-(3,14/6)(ctg 3,14/6) = 0 А.гр = (Udosin 300/ωсLн)(1-(π/m)(ctg π/m) =

= (296*0,5/0,028*314)(1-(3,14/6)(ctg 3,14/6) = 1,5 Агр = (Udosin 600/ωсLн)(1-(π/m)(ctg π/m) =

= (296*0,87/0,028*314)(1-(3,14/6)(ctg 3,14/6) = 2,62 Агр = (Udosin 900/ωсLн)(1-(π/m)(ctg π/m) =

= (296*1/0,028*314)(1-(3,14/6)(ctg 3,14/6) = 3 А.

На основании расчетов строим график внешних характеристик для мостовой трехфазной схемы ТП при углах управления α1 = 00, α2 = 300, α3 = 600, α4 = 900:

Рис. 2. Построение внешней характеристики тиристорного преобразователя.

1 - α1 = 00, 2 - α2 = 300 , 3 - α3 = 600, 4 - α4 = 900

БИБЛИОГРАФИЧЕСКИЙ СПИСОК

Герасимов, В.А. Системы подчиненного регулирования в электроприводах постоянного тока с тиристорными преобразователями: Учеб. пособие. Владивосток: Изд-во ДВГТУ, 2006. - 139 с.

Замятин, Б.В. Кондратьев, В.М. Петухов. Мощные полупроводниковые приборы. Тиристоры: Справочник / В.Я. Замятин, Б.В. Кондратьев, В.М. Петухов. - М.: Радио и связь, 1987. - 576 с.

Чебовский, О.Г. Л.Г. Моисеев, Р.П. Недошивин. Силовые полупроводниковые приборы: Справочник / О.Г. Чебовский, Л.Г. Моисеев, Р.П. Недошивин. - 2-е изд., перераб. и доп. - М.: Энергоатомиздат, 1985. - 400 с.

Похожие работы на - Расчет силового управляемого выпрямителя

 

Не нашли материал для своей работы?
Поможем написать уникальную работу
Без плагиата!
Без нейросетей!