Пределы функций
Федеральное
агентство связи
Сибирский
Государственный Университет Телекоммуникаций и Информатики
Межрегиональный
центр переподготовки специалистов
Контрольная
работа
По
дисциплине: Математический анализ
Выполнил: Борисова Екатерина
Проверил: Агульник Ольга Николаевна
Новосибирск,
2015 г
Задача 1. Найти пределы функций
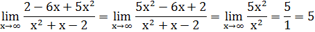
1.
Решение:
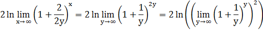
2.
Решение:
.
Решение:

Задача 2. Найти значение производных данных функций в точке x=0
предел функция экстремум производный
Решение:
Ответ:
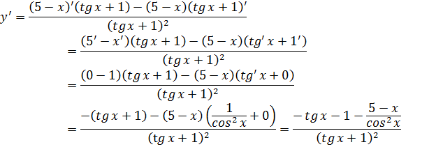
Задача 3. Провести исследование функций
с указанием
а) области определения и точек разрыва;
б) экстремумов;
с) асимптот.
По полученным данным построить графики функций.
Решение:
а) области определения и точек разрыва:

б) экстремумов:
Мы пришли к противоречию, что говорит о том, что решения у уравнения нет.
Точек экстремума нет.
в) асимптот