Пределы
ДЕПАРТАМЕНТ
ОБРАЗОВАНИЯ И НАУКИ КЕМЕРОВСКОЙ ОБЛАСТИ
Государственное
бюджетное образовательное учреждение
среднего
профессионального образования
«Топкинский
технический техникум»
(ГБОУ СПО
«ТТТ»)
Дисциплина
«Математика»
Контрольная
работа №1
Тема:
«Пределы»
Выполнила: студентка 2-го курса,
группы Тз-1411
Багина Ю.Г.
Проверил: преподаватель математики
Калайтан Т.Г.
Вариант №1
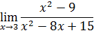
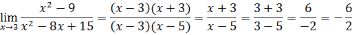
) Вычислить предел функции:
Решение:
Так как числитель и знаменатель обратились в
нуль при x=3, то 3 - корень обоих многочленов, а значит, каждый из них
разлагается на множители, одним из которых будет (x
- 3).
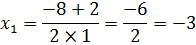
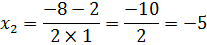
Найдем корни первого многочлена:
Найдем корни второго многочлена:
Получаем:
) Вычислить предел функции:
Решение:
Применим правило Лопиталя, которое гласит, что
предел отношения функций равен пределу отношения их производных.
предел
функция многочлен
Для нашего примера:
Находим производные:
3) Вычислить предел функции:
Решение: В этом примере будем
использовать первый замечательный предел 
В итоге заданный предел будет иметь
вид:
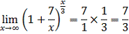
4) Вычислить предел функции:
Решение: В этом примере будем использовать
второй замечательный предел, который можно применить в виде равенства:
В примере получим: