Проектирование двухступенчатого привода

  • Вид работы:
    Курсовая работа (т)
  • Предмет:
    Другое
  • Язык:
    Русский
    ,
    Формат файла:
    MS Word
    343,12 Кб
  • Опубликовано:
    2014-11-20
Вы можете узнать стоимость помощи в написании студенческой работы.
Помощь в написании работы, которую точно примут!

Проектирование двухступенчатого привода

Введение

Механический привод есть во всех сложных машинах. Его предназначением является передача энергии от двигателя к узлам главного механизма и основным блокам. Именно механический привод определяет себестоимость устройства, его минимальную массу, коэффициент полезного действия, производительность, скорость, минимальную и максимальную мощность.

Механический привод машины состоит из:

двигателя;

передаточного механизма;

соединительных муфт.

 Поскольку угловая скорость входящего и выходящего вала отличается, существует необходимость применения передаточного механизма из набора передач. Редуктор червячный  <#"810253.files/image001.gif"> об/мин

зубчатая

червячная

зубчатая

ременная


2

20

80

300

280

2

2

80

20

31

125

18

20

60

где  - модуль;  и  - твердость поверхностей зубьев шестерни и колеса;

 - частота вращения тихоходного вала редуктора.

Рассчитаем передаточное число тихоходной ступени по формуле:

, [1]

где  и - число зубьев шестерни и колеса.

Подставляем исходные данные в формулу [1]:

.

Передаточное число червячной передачи определяется по формуле:

, [2]

где  - число заходов червяка;  - число зубьев червячного колеса.

, , тогда:

.

Частота вращения промежуточного вала находится как:

, об/мин [3]

1. Зубчатая передача

Угол наклона зуба определяется по формуле:

, [4]

где  - межосевое расстояние, которое берется из чертежа и при необходимости округляется до стандартного значения, ;

 - модуль нормальный, . Тогда:

.

Делительные диаметры,  и  шестерни и колеса найдем по формуле:

. [5]

Делительный диаметр  шестерни:

 мм.

Делительный диаметр  колеса:

 мм.

Диаметры выступов шестерни и колеса:

. [6]

Диаметр выступов шестерни:

 мм,

 мм.

Окружная скорость в зацеплении:


Степень точности передачи выбирается по ГОСТ 1643 - 81 в зависимости от окружной скорости, в данном случае выбрана 8 степень точности (средняя).

Коэффициент ширины колеса найдем по формуле:

, [7]

где  мм - ширина колеса, берется из чертежа. Подставляя в формулу [7] получаем:

.

Коэффициент ширины колеса округляется до ближайшего из ряда стандарта чисел: 0,1;0,16;0,2;0,25;0,315;0,4;0,5;0,63;0,8. В данном случае .

2. Червячная передача

Коэффициент смещения инструмента при нарезании червячного колеса находится по формуле:

, [8]

где  - коэффициент делительного диаметра червяка.

Коэффициент смещения должен лежать в интервале

.

Подставляем известные значения в формулу [8] и находим :

.

Диаметры червяка:

делительный  мм;

начальный  мм;

выступов  мм;

впадин  мм.

Диаметры колеса:

делительный  мм;

начальный  мм;

выступов  мм;

впадин  мм.

Угол подъема винтовой линии червяка на начальный диаметр находится по формуле:

. [9]

Скорость скольжения в зацеплении определяется как:

 м/с. [10]

Степень точности передачи выбирается в зависимости от скорости скольжения, т.е. для данного расчета степень точности не ниже 7.

Коэффициент полезного действия передачи

, [11]

где  - угол трения, зависит от Vск. Тогда:

.

3. Зубчатые колеса

Допускаемые контактные напряжения при длительном сроке эксплуатации для шестерни  и колеса  :

, [12]

, [13]

где  МПа, МПа - пределы контактной выносливости материала шестерни и колеса [2, таблица 8.9];

 - коэффициент безопасности [2, таблица 8.9].

Подставляем данные значения в формулы [12] и [13]:

 МПа;

 МПа.

Расчетные допускаемые контактные напряжения для прямозубых передач -  определяется минимальным значением, определяемым по формулам [12] и [13].

Допускаемые напряжения при расчете зубьев на изгиб с достаточной степенью точности для длительного срока эксплуатации при нереверсивной нагрузке для шестерни  и колеса :

 , [14]

, [15]

где  МПа и  МПа - пределы выносливости по напряжениям изгиба материала шестерни и колеса [2, таблица 8.9];

 - коэффициент безопасности [2, таблица 8.9]. Тогда:

 МПа,  МПа.

. Червячная передача

Материалы червячной пары должны обладать антифрикционными свойствами, износостойкостью и пониженной склонностью к заеданию. Червяки выполняются из сталей термически обработанных до твердости 45…65HRC. Широко применяются стали 40X; 40XH; 35XГСА; 18ХГТ; 12ХН3А и др. [1].

Венцы червячных колес при скоростях скольжения Vск ³ 4м/с выполняют из оловянисто - фосфористых бронз Бр010Н1Ф1, Бр О10Ф1. Для тихоходных передач применяют алюминево - железистые бронзы Бр А9ЖЗЛ, Бр А10Ж4Н4Л и латуни. Механические характеристики бронз sв - предел прочности и sт - предел текучести [1,2].

Для оловянистых бронз допускаемые контактные напряжения [s]н = (0,85…0,9) sв - при шлифованном и полированном червяке с твердостью HRC ³45; [s]н=Сv×0,75 sв - при несоблюдении указанных условий для червяка [2].

Сv - коэффициент, учитывающий скорость скольжения.

Для безоловянистых бронз [s]н = 300 - 25Vск.

Допускаемые напряжения изгиба для всех марок бронз [s]F=0,25sт + 0,08sв. Для материала Бр010Ф1 допускаемые напряжения изгиба [s]F=0,25·120+ 0,08·200=46 МПа.

Нагрузочная способность редуктора определяется величиной крутящего момента на выходном валу , Нм.

Для тихоходной пары - зубчатой передачи нагрузочная способность редуктора определяется по формуле:

, [16]

где  мм - межосевое расстояние тихоходной передачи;

 - для прямозубой передачи;

 - для косозубых передачи;

 - коэффициент ширины колеса;

 - коэффициент нагрузки при расчете на контактную прочность,

где  - коэффициент неравномерности распределения нагрузки по длине контактной линии. Определяется по графикам (2, рисунок 8.15) в зависимости от схемы редуктора, коэффициентам  и твердости рабочих поверхностей;

 - коэффициент динамической нагрузки учитывает внутреннюю динамику [1, таблица 10.5] и зависит от окружной скорости, степени точности, расположения зубьев (прямые или косые) и твердости рабочих поверхностей.

Тогда нагрузочная способность редуктора для тихоходной пары - зубчатой передачи равна:

 Нм.

Для тихоходной пары - червячной передачи нагрузочная способность редуктора определяется по формуле:

, [17]


;

 при  м/с;

 при  м/с. Тогда:

 Нм.

. Зубчатая передача

Для зубчатой передачи определяются действующие напряжения изгиба у ножки зуба шестерни  и колеса  и сравниваются с допускаемыми.

; [18]

; [19]

где  - окружная сила в зацеплении, Н;

 - коэффициент формы зуба для шестерни YF1 и колеса YF2.

 - эквивалентное число зубьев шестерни  и колеса ;

;

.

;

.

 - коэффициент нагрузки при расчете на изгиб, определяется аналогично KH. Тогда:

 МПа;  МПа.

. Червячная передача

Для червячной определяются действующие напряжения изгиба у ножки зуба червячного колеса и сравниваются с допускаемыми

, [20]

где  - окружная сила на червячном колесе;

 - коэффициент формы зуба червячного колеса [2, таблица 11.3], зависит от эквивалентного числа зубьев колеса ;

 - коэффициент нагрузки при расчете на изгиб, принимается

равным KH [2]. Тогда:

 МПа.

Мощность на выходном валу можно определить по формуле:

 кВт. [21]

Мощность на ведущем валу находится по формуле:

, [22]

где  - КПД быстроходной передачи;

 - КПД тихоходной передачи.

Можно принять [3]:

hрем=0,94…0,96;

hзуб=0,96…0,98.

 кВт.

Передаточное число быстроходной зубчатой передачи:

,

где  и  - числа зубьев шестерни и колеса, быстроходной передачи, соответственно.

.

Для ременной передачи без учета упругого скольжения:

,

где  и  - диаметры ведущего и ведомого шкивов, соответственно.

.

Желаемая частота вращения быстроходного вала (вала двигателя):

.

Двигатель выбирается по каталогу [3] в зависимости от необходимой мощности  и частоты вращения  по условию:

,

где  - мощность двигателя по каталогу.

Характеристики выбранного двигателя представлены в таблице 2.

Таблица 2 - Характеристики двигателя

Марка электродвигателя

Мощность, кВт

Частота вращения n, об/мин

Диаметр вала d, мм

Длина посадочной поверхности l, мм

160S6/975

11

1000

42

110

привод червячное колесо шестерня

Фактическая частота вращения вала определяется по формуле:

. [23]

Отклонение фактической частоты вращения от заданной найдем по формуле:

. [24]

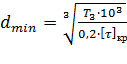
Минимальный диаметр тихоходного вала определяется по формуле:

, [25]

где  - допускаемое напряжение кручения.

Для расчета тихоходных валов из сталей Ст.5,Ст.6, 45, 40Х принимают  МПа.

 мм.

Для того, чтобы проверить правильность подбора шпонок выходного вала необходимо по чертежу определить диаметры вала, на которых устанавливаются шпонки, и из ГОСТ 23360-78 [3], взять размеры призматической шпонки: ширина , мм и высота , мм. Сравнить с размерами указанными на чертеже.

Проверочный расчет шпоночных соединений выполняется по условию:

, [26]

где  - диаметр вала в месте установки шпонки;

 - рабочая длина шпонки;

 - длина шпонки;

 - допустимое напряжение смятия.

Для неподвижных соединений  МПа.

Проверка первого шпоночного соединения:

 мм,  мм,  мм,  мм,  мм. Тогда:

 МПа.

Проверка второго шпоночного соединения:

 мм,  мм,  мм,  мм,  мм. Тогда:

Па  МПа.


Заключение

В ходе курсового проектирования будет изучена конструкция предлагаемого редуктора (механизма).

В результате курсового проектирования были рассчитаны: передаточные числа для тихоходной и быстроходной передач, окружная скорость в зацеплении, коэффициент смещения инструмента при нарезании червячного колеса, скорость скольжения в зацеплении, КПД передач, допускаемые контактные напряжения, допускаемые напряжения при расчете зубьев на изгиб, нагрузочная способность редуктора для зубчатой и червячной передач (тихоходная пара), действующие напряжения изгиба у ножки зуба шестерни и колеса, мощности на выходном и ведущем валу, фактическая частота вращения вала, проведен проверочный расчет шпоночных соединений.

Список использованной литературы

1 Решетов Д.Н. Детали машин.- М.: Машиностроение, 1990.

Иванов М.Н. Детали машин: Учеб. для студентов вузов. -М.: Высш. шк., 2000.-383 с.:ил.

Дунаев П.Ф., Леликов О.П. Конструирование узлов и деталей машин. -М.: Изобретательский центр «Академик», 2003.-496с.:ил.

Чернавский С.А. и др. Проектирование механических передач. -М.: Альянс,-2008.-567с.

Шейнблит А.Е. Курсовое проектирование деталей машин: учебное пособие для техникумов. -М.: Высш. шк.,1991. -432с.

Детали машин: Атлас конструкций.Под ред. Решетова Д.Н. части I и II.-М.: Машиностроение, 1992.

Похожие работы на - Проектирование двухступенчатого привода

 

Не нашли материал для своей работы?
Поможем написать уникальную работу
Без плагиата!
Без нейросетей!