Проектирование двухступенчатого редуктора
КУРСОВОЙ ПРОЕКТ
по дисциплине «Детали машин»
Тема: Проектирование двухступенчатого
редуктора
Содержание
Введение
Кинематическая схема
1.
Выбор двигателя и расчет кинематических параметров привода
2. Расчет конической зубчатой передачи
2.1
Выбор материалов зубчатых колес
2.2 Определение допускаемых напряжений
2.2.1
Допускаемые контактные напряжения
.2.2
Допускаемые напряжения изгиба
.3
Проектный расчет передачи
2.4 Проверочный расчет передачи
2.4.1
Проверка на выносливость по контактным напряжениям
.5
Силы в зацеплении
3. Расчет цилиндрической зубчатой передачи
3.1
Выбор материалов зубчатых колес
3.2 Определение допускаемых напряжений
3.2.1
Допускаемые контактные напряжения
.2.2
Допускаемые напряжения изгиба
.3
Проектный расчет передачи
3.4 Проверочный расчет передачи
3.4.1
Проверка на выносливость по контактным напряжениям
.4.2
Проверка на выносливость по напряжениям изгиба
.5
Силы в зацеплении
4. Предварительный расчет валов
.1 Проектирование тихоходного вала
.2 Проектирование промежуточного вала
.3 Проектирование быстроходного вала
. Конструктивные размеры корпуса редуктора
. Проверка прочности шпоночных соединений
.1 Быстроходный вал
.2 Промежуточный вал
.3 Тихоходный вал
7.
Уточненный расчет валов
.1
Уточненный расчет быстроходного вала
7.1.1 Построение эпюр изгибающих и крутящих моментов
.1.2 Расчет вала на усталостную прочность
7.2
Уточненный расчет промежуточного вала
.2.1
Построение эпюр изгибающих и крутящих моментов
7.2.2 Расчет вала на усталостную прочность
7.3
Уточненный расчет тихоходного вала
.3.1
Построение эпюр изгибающих и крутящих моментов
.3.2
Расчет вала на усталостную прочность
8. Расчет подшипников
.1 Быстроходный вал
.2 Промежуточный вал
.3 Тихоходный вал
. Смазка редуктора
9.1 Уплотнительные устройства
10. Сборка редуктора
Заключение
Библиографический список
Введение
Привод - устройство, предназначенное для приведения в действие машин и
механизмов. Привод состоит из источника энергии (двигатели электрические,
тепловые, гидравлические и т.д.) и механизма для передачи энергии, движения.
В качестве механизмов чаще всего используют различные типы механических
передач (зубчатые, цепные, ременные, винтовые...), которые обеспечивают
преобразование одного вида движения в другое, понижение (повышение) крутящего
момента и угловой скорости, регулирование скорости движения.
В данном проекте спроектирован двухступенчатый зубчатый коническо -
цилиндрический редуктор.
Привод должен обеспечить передачу крутящего момента от электродвигателя к
исполнительному устройству с минимальными потерями и с заданной угловой
скоростью на выходном валу редуктора.
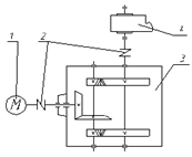
Кинематическая схема
привод редуктор зубчатая
передача
Наибольшее
тяговое усилие ремня 
Скорость
ремня 
Диаметр
барабана 
Продолжительность
включения 
Коэффициент использования передачи:
в
течение года 
в
течение суток 
Режим
работы 5(особо легкий)
Тип
привода нереверсивный
Кинематическая схема привода:
1 - электродвигатель
- упругая муфта
- редуктор
- барабан
1. Выбор приводного электродвигателя и определение киниматических и
энергосиловых парамаетров привода
) Требуемая мощность электродвигателя:

где
P - мощность на валу исполнительного механизма,

- общий
КПД привода,
здесь

- КПД
конической зубчатой передачи, 
- КПД
цилиндрической зубчатой передачи, 
- КПД
пары подшипников

, 
, 
.
)
Частота вращения барабана:
)
Максимально возможная частота вращения вала электродвигателя:
По
требуемой мощности из табл.П.1 выбираем асинхронный электродвигатель 4А180M8 c
ближайшей большей стандартной мощностью 
,
синхронной частотой вращения 
и
скольжением S = 2,5 %,диаметр двигателя 
.
4)
Действительная частота вращения вала электродвигателя:
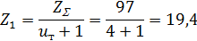
) Общее передаточное число привода:
Принимаю

Передаточное
число быстроходной зубчатой передачи: 
Передаточное
число тихоходной зубчатой передачи: 
)
Частоты вращения валов(1 - быстроходный, 2 - промежуточный, 3 -тихоходный):
7)
Мощности, передаваемые валами:
8) Крутящие моменты, передаваемые валами:
2. Расчет конической зубчатой передачи
«Быстроходный вал - промежуточный вал»
Исходные данные:
Тип зуба - прямой
Крутящий
момент на шестерне: 
Частота
вращения шестерни: 
Передаточное
число: 
Режим
работы - особо легкий
Коэффициент
использования передачи:
в
течение года - 
в
течение суток - 
Cрок службы
передачи в годах - L = 5
Продолжительность
включения - ПВ = 25 %
.1
Выбор материалов зубчатых колес
Материалы выбираем по табл.1.1:
Шестерня
Материал Ст 45
Термическая обработка Улучшение
Твердость поверхности зуба 269-302 HB
Базовое
число циклов 23,5
Колесо
Материал
Сталь 45
Термическая
обработка Улучшение
Твердость
поверхности зуба 235-262 HB
Базовое
число циклов 16,8
2.2 Определение допускаемых напряжений
.2.1 Допускаемые контактные напряжения
Для их определения используем зависимость:
где j=1 для шестерни,
j=2
для колеса;

- предел контактной выносливости (табл.2 1)

- коэффициент
безопасности (табл.2.1)



-
коэффициент долговечности;
здесь

-
базовое число циклов при действии контактных напряжений (табл.1 1)
Коэффициент
эквивалентности при действии контактных напряжений определим по табл.3.1 в
зависимости от режима нагружения: 
Суммарное
число циклов нагружения:

,
где

-
частота вращения j-го колеса в мин-1;

-
суммарное время работы передачи в часах.

; 

; 
Эквивалентное
число циклов контактных напряжений:

,
где

-
коэффициент эквивалентности, определяемой по табл. 3.1 в зависимости от
типового режима нагружения.

; 
Коэффициенты
долговечности:
Допускаемые
контактные напряжения для шестерни и колеса:
Принимаем
для конической прямозубой передачи допускаемые контактные напряжения: 
.
.2.2
Допускаемые напряжения изгиба
Вычислим
по формуле:

- предел
выносливости зубьев при изгибе (табл.4.1)

-
коэффициент безопасности при изгибе (табл.4.1 [1]);

-
коэффициент, учитывающий влияние двухстороннего приложения нагрузки, для
нереверсивного привода 
;

-
коэффициент долговечности при изгибе, определяется по формуле:

-
показатель степени кривой усталости (табл.3.1): 

-
базовое число циклов при изгибе: 

-
коэффициент эквивалентности при действии напряжений изгиба определяется по
табл. 3.1 в зависимости от режима нагружения и способа термообработки: 
.
Допускаемые
напряжения изгиба:
.3 Проектный расчет передачи
Внешний делительный диаметр колеса определяют из расчета на выносливость
по контактным напряжениям:
где

-
коэффициент, учитывающий снижение несущей способности зуба конической передачи
по сравнению с зубом цилиндрической передачи: 
;

-
коэффициент контактной нагрузки, предварительно примем 
Расчетный
делительный диаметр колеса:
Полученную
величину округлим до ближайшего большего стандартного значения 
(табл.12.1).
Внешний
модуль рассчитывается по формуле:
Округлим
модуль до ближайшего большего стандартного значения из первого ряда табл.11.1:
Число
зубьев колеса:
Число
зубьев шестерни:
Фактическое
передаточное число:
Внешний
делительный диаметр шестерни:
Углы
делительных конусов шестерни и колеса:
Внешнее
конусное расстояние:
Ширина
зубчатого венца:
Округлим
до
ближайшего числа из ряда нормальных линейных размеров (с. 11):
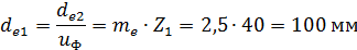
Коэффициент смещения шестерни и колеса:
Средняя окружная скорость в зацеплении:
где

-
средний делительный диаметр шестерни:
где 
Назначаем
степень точности 
, т.к.
.
.4
Проверочный расчет передачи
.4.1
Проверка на выносливость по контактным напряжениям
Условие
контактной прочности передачи имеет вид:
Контактные
напряжения равны:

-
коэффициент контактной нагрузки:
Коэффициент
неравномерности распределения нагрузки по ширине колеса:
где

-
коэффициент, учитывающий твердость поверхности зуба колеса: при 

.

-
коэффициент, учитывающий жесткость подшипников (при установке шестерни на
роликовых подшипниках - 
).
Динамический
коэффициент определим по табл.15.1 методом линейной интерполяции, принимая для
прямозубой передачи степень точности на единицу грубее, чем 
:
Окончательно
получим:
Расчетные
контактные напряжения:
Допускается перегрузка по контактным напряжениям не более 5%,
рекомендуемая недогрузка до 15%. Расчет недогрузки выполним по формуле:
2.5 Силы в зацеплении.
Окружная сила:
Радиальная сила:
Осевая сила:
3. Расчет цилиндрической зубчатой передачи
«Промежуточный вал - тихоходный вал»
Исходные данные:
Тип зуба: прямой
Крутящий
момент на шестерне: 
Частота
вращения шестерни: 
Передаточное
число: 
Режим
работы: особо легкий
Коэффициент
использования передачи:
в
течение года - 
в
течение суток - 
Cрок службы
передачи, лет: L = 5
Продолжительность
включения: ПВ = 25 %
.1
Выбор материалов зубчатых колес
Материалы выбираем по табл.1.1:
Шестерня
Материал Ст 45
Термическая обработка Улучшение
Твердость поверхности зуба 235-262 HB
Базовое
число циклов 16,8
Колесо
Материал
Сталь 40
Термическая
обработка Улучшение
Твердость
поверхности зуба 192-228 HB
Базовое
число циклов 11,2
3.2
Определение допускаемых напряжений
.2.1
Допускаемые контактные напряжения
Для
их определения используем зависимость:
где j=1 для шестерни,
j=2
для колеса;

- предел контактной выносливости (табл.2 1)

- коэффициент
безопасности (табл.2.1)



-
коэффициент долговечности;
здесь

-
базовое число циклов при действии контактных напряжений (табл.1 1)
Коэффициент
эквивалентности при действии контактных напряжений определим по табл.3.1 в
зависимости от режима нагружения: 
Суммарное
число циклов нагружения:

,
где

-
частота вращения j-го колеса в мин-1;

-
суммарное время работы передачи в часах.

; 

; 
Эквивалентное
число циклов контактных напряжений:

,
где

-
коэффициент эквивалентности, определяемой по табл. 3.1 в зависимости от
типового режима нагружения.

; 
Коэффициенты
долговечности:
Допускаемые
контактные напряжения для шестерни и колеса:
Допускаемые
контактные напряжения для косозубой передачи:
Условие

выполняется.
Принимаем для косозубой передачи допускаемые контактные напряжения 
.
.2.2
Допускаемые напряжения изгиба
Вычислим
по формуле:

- предел
выносливости зубьев при изгибе (табл.4.1)

-
коэффициент безопасности при изгибе (табл.4.1 [1]);

-
коэффициент, учитывающий влияние двухстороннего приложения нагрузки, для
нереверсивного привода 
;

-
коэффициент долговечности при изгибе, определяется по формуле:

- показатель
степени кривой усталости (табл.3.1): 

-
базовое число циклов при изгибе: 

-
коэффициент эквивалентности при действии напряжений изгиба определяется по
табл. 3.1 в зависимости от режима нагружения и способа термообработки: 
.
Допускаемые
напряжения изгиба:
.3 Проектный расчет передачи
Межосевое расстояние определяем из условия контактной прочности:
где

-
коэффициент вида передачи, 
- для
косозубых колёс;

-
коэффициент контактной нагрузки, предварительно принимаем 

-
коэффициент ширины зубчатого венца (ряд на с.11): 
Расчетное
межосевое расстояние:
Полученное
межосевое расстояние округлим до ближайшего стандартного значения (табл.6.1): 
.
Рекомендуемый
диапазон для выбора модуля:
Из
полученного диапазона выберем стандартное значение (табл.5.1):
Суммарное
число зубьев передачи:
где

для
косозубых передач
Полученное

округлим
до ближайшего целого числа 
.
Число зубьев шестерни:
Округлим
полученное значение до ближайшего целого числа 
.
Число
зубьев колеса:
Делительный
угол наклона зуба:
Фактическое
передаточное число:
Значение
фактического передаточного числа не должно отличаться от номинального более чем
на 3% при 

4,5 и
более чем на 4 % при 
>
4,5.
Ширинa
зубчатого венца колеса:
Округлим

до
ближайшего числа из ряда на с.12:
Ширину
венца шестерни 
примем
на 5 мм больше чем 
:
Определим диаметры окружностей зубчатых колес:
· Диаметры окружностей вершин:
· Диаметры окружностей впадин:
Вычислим окружную скорость в зацеплении:
Для
полученной величины окружной скорости назначим степень точности передачи 
(см.
табл.8.1)
3.4
Проверочный расчет передачи
.4.1
Проверка на выносливость по контактным напряжениям
Условие
контактной прочности передачи имеет вид:
Контактные
напряжения равны:
где

-
коэффициент вида передачи, для закрытой цилиндрической косозубой передачи

-
коэффициент контактной нагрузки:
Коэффициент
неравномерности распределения нагрузки между зубьями:
где

для
косозубых и шевронных передач;

-
коэффициент, учитывающий приработку зубьев:
Коэффициент
неравномерности распределения нагрузки по ширине колеса:
где

-
коэффициент неравномерности распределения нагрузки в начальный период работы.
Для
определения 
найдем
коэффициент ширины венца по диаметру:
По
значению 
определим

методом
линейной интерполяции (см. табл. 9.1):
Динамический
коэффициент 
определим
методом линейной интерполяции по табл.10.1:
Окончательно
получим:
Расчетные
контактные напряжения:
Допускается
перегрузка по контактным напряжениям не более 5%, рекомендуемая недогрузка до
15%. Расчет недогрузки выполним по формуле:
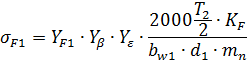
.4.2
Проверка на выносливость по напряжениям изгиба
Условия
изгибной прочности передачи имеют вид:
Напряжение
изгиба в зубьях шестерни:
где

-
коэффициент формы зуба шестерни;

-
коэффициент, учитывающий перекрытие зубьев;

-
коэффициент, учитывающий влияние угла наклона зуба на его прочность;

-
коэффициент нагрузки при изгибе;
Напряжение
изгиба в зубьях колеса:
где

-
коэффициент формы зуба колеса.
Коэффициенты
формы зуба:
где

-
эквивалентное число зубьев
Коэффициент
торцевого перекрытия 
определили
по формуле:
Коэффициент,
учитывающий влияние угла наклона зуба на его прочность:
Коэффициент
нагрузки при изгибе:
Коэффициент
неравномерности распределения нагрузки между зубьями:
Коэффициент
неравномерности распределения нагрузки по ширине колеса:
Динамический
коэффициент при 
:
Напряжения
изгиба:
Допускается
перегрузка по напряжениям изгиба не более 5 %, недогрузка не регламентируется.
.5
Силы в зацеплении
Окружная сила:
Радиальная сила:
Осевая сила в косозубых передачах:
4. Предварительный расчет валов
Предварительный расчет проводим на кручение по пониженным допускаемым
напряжениям.
.1 Проектирование тихоходного вала
Диаметр
выходного конца при допускаемом напряжении 
определяем
по формуле:
Полученное
значение округляем до ближайшего числа из ряда нормальных линейных размеров,
согласуя с размерами муфты. Принимаем 
.
Для размещения на валу деталей он имеет ступенчатую форму и состоит из
семи участков. Участок вала с номером 1 называется хвостовиком. Он предназначен
для установки на нем детали (муфты), которая передает крутящий момент с
тихоходного вала редуктора на исполнительный механизм. Длину хвостовика
выбирают по табл.4.7. Участок вала с номером 2 предназначен для взаимодействия
с уплотнением. На 3 и 7 участки устанавливают подшипники. Участки 4 и 6
предназначены для установки зубчатых колес. Участок 5 является буртиком,
предназначенным для осевой фиксации зубчатого колеса. Размеры участков
приведены в табл.1.
Табл.1.
Размеры участков тихоходного вала
|
№ участка
|
Диаметр, мм
|
Длина, мм
|
|
1
|
|
|
|
2
|
|
|
|
3
|
|
|
|
4
|
|
|
|
5
|
|
|
|
6
|
|
|
|
7
|
|
|
.2 Проектирование промежуточного вала
Диаметр
выходного конца при допускаемом напряжении 
определяем
по формуле:
Полученное
значение округляем до ближайшего числа из ряда нормальных линейных размеров.
Принимаем 
.
Размеры участков приведены в табл.2.
Табл.2. Размеры
участков промежуточного вала
|
№ участка
|
Диаметр, мм
|
Длина, мм
|
|
1
|
|
|
|
2
|
|
|
|
3
|
|
|
|
4
|
|
|
|
5
|
|
|
|
6
|
|
|
4.3 Проектирование быстроходного вала
Диаметр
выходного конца при допускаемом напряжении 
определяем
по формуле:
Полученное
значение округляем до ближайшего числа из ряда нормальных линейных размеров,
согласуя с размерами муфты. Принимаем 
.
Проверяем
условие:

неверно
Поэтому
принимаем 
.
Размеры участков вала приведены в табл.3.
Табл.3.
Размеры участков быстроходного вала
|
№ участка
|
Диаметр, мм
|
Длина, мм
|
|
1
|
|
|
|
2
|
|
|
|
3
|
|
|
|
4
|
|
|
|
5
|
|
|
|
6
|
|
|
|
7
|
|
|
5.
Конструктивные размеры корпуса редуктора
Толщина стенки корпуса редуктора определяется по формуле:
Принимаем ближайшее целое число:
Диаметр фундаментного болта равен:
Полученное значение округлим до ближайшего диаметра из ряда метрических
резьб (табл.4):
Таблица 4. Размеры элементов корпуса редуктора
|
Параметр
|
Диаметр болта
|
|
М8
|
М10
|
М12
|
М16
|
М20
|
М24
|
М30
|
|
|
13
|
15
|
18
|
21
|
25
|
28
|
35
|
|
|
24
|
28
|
33
|
40
|
48
|
55
|
68
|
|
|
9
|
11
|
13
|
17
|
22
|
26
|
32
|
|
|
17
|
20
|
25
|
30
|
38
|
45
|
56
|
Принимаем:

.
Диаметры
болтов крепления крышки корпуса к основанию:
у
подшипников: 
на
фланцах: 
Полученные
значения округлим до ближайших из ряда метрических резьб.
Принимаем:

, 
.
В
этой же таблице даны диаметры отверстий 
и
диаметры зенковок или бобышек 
для
соответствующих болтов.
6.
Проверка прочности шпоночных соединений
Шпонки призматические со скругленными торцами. Размеры сечений шпонок по
ГОСТ 23360 - 78.
Расчет выполняется на смятие по формуле:
где

-
крутящий момент на участке вала со шпоночным пазом;

- высота
шпонки;

-
глубина паза на валу;

-
рабочая длина шпонки;

- ширина
шпонки;

-
допускаемое напряжение смятия.
Для
стальных ступиц при нереверсивном приводе 
.1
Быстроходный вал
Шпонка
под муфту: 
;

;

;

;

.
6.2
Промежуточный вал
Шпонка
под шестерню: 
;

;

;

;

.
Шпонка
под колесо: 
;

;

;

;

.
.3
Тихоходный вал
Шпонка
под колесо:
;

;

;

;

.
Шпонка
под муфту: 
;

;

;

;

.
7.
Уточненный расчет валов
7.1 Уточненный расчет быстроходного вала
.1.1 Построение эпюр изгибающих и крутящих моментов
.1.2 Расчет вала на усталостную прочность
Примем, что нормальные напряжения от изгиба изменяются по симметричному
циклу, а касательные от кручения - по отнулевому (пульсирующему).
Уточненный
расчет состоит в определении коэффициентов запаса прочности 
для
опасных сечений и сравнении их с требуемыми (допускаемыми) значениями 
.
Прочность соблюдена при 
.
Будем
производить расчет для наиболее опасного сечения вала.
Материал Ст 45
Термическая обработка Улучшение
Твердость поверхности зуба 269-302 HB
Предел
прочности, 
890 МПа
Предел
выносливости при симметричном цикле изгиба:
Предел
выносливости при симметричном цикле касательных напряжений:
Наиболее опасным сечением вала является место установки подшипника:
Геометрические характеристики опасного сечения:
Площадь поперечного сечения:
Осевой момент сопротивления:
Полярный момент сопротивления:
Суммарный коэффициент запаса прочности:
Определяем по формуле:
где

-
коэффициент запаса прочности по нормальным напряжениям;

-
коэффициент запаса прочности по касательным напряжениям.
Значения

и 
определяют
по формулам:
где

и 
-
пределы выносливости материала при симметричном цикле изгиба и кручения;

и 
-
амплитуды напряжений цикла;

и 
- средние
напряжения цикла;

и 
- коэффициенты
перехода от пределов выносливости образца к пределам выносливости детали;

и 
-
коэффициенты чувствительности к асимметрии цикла:
Коэффициенты:
где

и 
-
эффективные коэффициенты концентрации напряжений;

и 
-
коэффициенты влияния размера поперечного сечения
Для
оценки концентрации напряжений в местах установки на валу деталей с натягом
используют отношение 
и 
.
Величина 
определяется
по табл.7.5:

-
коэффициент влияния шероховатости поверхности (табл.5.5): 

-
коэффициент влияния упрочнения; при отсутствии поверхностного упрочнения
принимают 
.
Амплитуда
нормальных напряжений цикла:
Среднее
напряжение:
Амплитуда
и среднее напряжение цикла касательных напряжений:
.2 Уточненный расчет промежуточного вала
.2.1 Построение эпюр изгибающих и крутящих моментов
.2.2 Расчет вала на усталостную прочность
Примем, что нормальные напряжения от изгиба изменяются по симметричному
циклу, а касательные от кручения - по отнулевому (пульсирующему).
Уточненный
расчет состоит в определении коэффициентов запаса прочности 
для
опасных сечений и сравнении их с требуемыми (допускаемыми) значениями 
.
Прочность соблюдена при 
.
Будем
производить расчет для наиболее опасного сечения вала.
Материал Ст 45
Термическая обработка Улучшение
Твердость поверхности зуба 235-262 HB
Предел
прочности, 
780 МПа
Предел
выносливости при симметричном цикле изгиба:
Предел
выносливости при симметричном цикле касательных напряжений:
Наиболее опасным сечением вала является место установки конического
колеса (шпоночный паз):
Геометрические характеристики опасного сечения:
Площадь поперечного сечения:
Осевой момент сопротивления:
Полярный момент сопротивления:
Суммарный коэффициент запаса прочности:
Определяем по формуле:
где

- коэффициент
запаса прочности по нормальным напряжениям;

-
коэффициент запаса прочности по касательным напряжениям.
Значения

и 
определяют
по формулам:
Где

и 
-
пределы выносливости материала при симметричном цикле изгиба и кручения;

и 
-
амплитуды напряжений цикла;

и 
- средние
напряжения цикла;

и 
-
коэффициенты перехода от пределов выносливости образца к пределам выносливости
детали;

и 
-
коэффициенты чувствительности к асимметрии цикла:
Коэффициенты:
где

и 
-
эффективные коэффициенты концентрации напряжений;

и 
-
коэффициенты влияния размера поперечного сечения
Для
оценки концентрации напряжений в местах установки на валу деталей с натягом
используют отношение 
и 
.
Величина 
определяется
по табл.7.5:
Для
оценки концентрации напряжений при наличии шпоночного паза 
и 
определяются
по табл.3.5:
Коэффициент

для
углеродистых сталей при 
определяется
по формуле:
Коэффициент

для
любых сталей при 
определяется
по формуле:
Принимаем
наибольшее значение 
и 
.

-
коэффициент влияния шероховатости поверхности (табл.5.5): 

-
коэффициент влияния упрочнения; при отсутствии поверхностного упрочнения
принимают 
.
Амплитуда
нормальных напряжений цикла:
Среднее
напряжение:
Амплитуда
и среднее напряжение цикла касательных напряжений:
7.3 Уточненный расчет тихоходного вала
.3.1. Построение эпюр изгибающих и крутящих моментов
7.3.2 Расчет вала на усталостную прочность
Примем, что нормальные напряжения от изгиба изменяются по симметричному
циклу, а касательные от кручения - по отнулевому (пульсирующему).
Уточненный
расчет состоит в определении коэффициентов запаса прочности 
для
опасных сечений и сравнении их с требуемыми (допускаемыми) значениями 
.
Прочность соблюдена при 
.
Будем
производить расчет для наиболее опасного сечения вала.
Материал Ст 45
Термическая обработка Улучшение
Твердость поверхности зуба 269-302 HB
Предел
прочности, 
890 МПа
Предел
выносливости при симметричном цикле изгиба:
Предел
выносливости при симметричном цикле касательных напряжений:
Наиболее опасным сечением вала является место установки цилиндрического
колеса (шпоночный паз):
Геометрические характеристики опасного сечения:
Площадь поперечного сечения:
Осевой момент сопротивления:
Полярный момент сопротивления:
Суммарный коэффициент запаса прочности:
Определяем по формуле:
где

-
коэффициент запаса прочности по нормальным напряжениям;

-
коэффициент запаса прочности по касательным напряжениям.
Значения

и 
определяют
по формулам:
Где

и 
-
пределы выносливости материала при симметричном цикле изгиба и кручения;

и 
-
амплитуды напряжений цикла;

и 
- средние
напряжения цикла;

и 
-
коэффициенты перехода от пределов выносливости образца к пределам выносливости
детали;

и 
-
коэффициенты чувствительности к асимметрии цикла:
Коэффициенты:
где

и 
-
эффективные коэффициенты концентрации напряжений;

и 
-
коэффициенты влияния размера поперечного сечения
Для
оценки концентрации напряжений в местах установки на валу деталей с натягом
используют отношение 
и 
.
Величина 
определяется
по табл.7.5:
Для
оценки концентрации напряжений при наличии шпоночного паза 
и 
определяются
по табл.3.5:
Коэффициент

для
углеродистых сталей при 
определяется
по формуле:
Коэффициент

для
любых сталей при 
определяется
по формуле:
Принимаем
наибольшее значение 
и 
.

-
коэффициент влияния шероховатости поверхности (табл.5.5): 

-
коэффициент влияния упрочнения; при отсутствии поверхностного упрочнения
принимают 
.
Амплитуда
нормальных напряжений цикла:
Среднее
напряжение:
Амплитуда
и среднее напряжение цикла касательных напряжений:
8. Расчет подшипников
.1 Подшипники быстроходного вала
Расчет подшипника выполняем для наиболее нагруженной опоры.
Подшипник №7312А
Размеры
подшипника (табл.П.6): 
, 
, 
Динамическая
грузоподъёмность 
Статическая
грузоподъёмность 
Осевая
нагрузка на подшипник 
Частота
вращения кольца подшипника 
.
Опорные реакции:
.Расчет
подшипника на долговечность.
.1.Параметр
осевого нагружения определим по табл.П.6: 
.2.Осевые
составляющие от радиальных нагрузок.
При
нагружении роликового конического подшипника радиальной нагрузкой 
возникают
осевые составляющие 
.3.Внешние
осевые силы, действующие на подшипники.
Опора

:
Опора 
:
2.4.Коэффициенты
нагрузки.
Опора

:


Опора

:


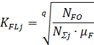
.5.Эквивалентная
динамическая нагрузка.
Определяется
по формуле:
где

-
коэффициент радиальной нагрузки;

-
коэффициент осевой нагрузки;

-
коэффициент безопасности (табл.1.6): 

-
температурный коэффициент: 
при 

-
коэффициент вращения: при вращении внутреннего кольца подшипника 
.6.Долговечность
подшипника при максимальной нагрузке.
где

-
показатель степени кривой усталости для роликовых подшипников.
.2 Подшипники промежуточного вала
Расчет подшипника выполняем для наиболее нагруженной опоры.
Подшипник №7309А
Размеры
подшипника (табл.П.6): 
, 
, 
Динамическая
грузоподъёмность 
Статическая
грузоподъёмность 
Осевая
нагрузка на подшипник 
Частота
вращения кольца подшипника 
.
Опорные реакции:
.Расчет
подшипника на долговечность.
.1.Параметр
осевого нагружения определим по табл.П.6: 
.2.Осевые
составляющие от радиальных нагрузок.
При
нагружении роликового конического подшипника радиальной нагрузкой 
возникают
осевые составляющие 
.3.Внешние
осевые силы, действующие на подшипники.
Опора

:
Опора

:
.4.Коэффициенты
нагрузки.
Опора

:


Опора

:


.5.Эквивалентная
динамическая нагрузка.
Определяется
по формуле:
где

- коэффициент
радиальной нагрузки;

-
коэффициент осевой нагрузки;

-
коэффициент безопасности (табл.1.6): 

-
температурный коэффициент: 
при 

-
коэффициент вращения: при вращении внутреннего кольца подшипника 
.6.Долговечность
подшипника при максимальной нагрузке.
где

-
показатель степени кривой усталости для роликовых подшипников.
.3 Подшипники тихоходного вала
Расчет подшипника выполняем для наиболее нагруженной опоры.
Подшипник №217
Размеры
подшипника (табл.П.3): 
, 
, 
Динамическая
грузоподъёмность 
Статическая
грузоподъёмность 
Осевая
нагрузка на подшипник 
Частота
вращения кольца подшипника 
.
Опорные реакции:
.Расчет
подшипника на долговечность.
.1.Параметр
осевого нагружения.
Определим
по формуле табл.2.6:
.2.Коэффициенты
нагрузки.
Определим
по формуле табл.2.6.:


2.5.Эквивалентная
динамическая нагрузка.
Определяется
по формуле:
где

-
коэффициент радиальной нагрузки;

-
коэффициент осевой нагрузки;

-
коэффициент безопасности (табл.1.6): 

-
температурный коэффициент: 
при 

-
коэффициент вращения: при вращении внутреннего кольца подшипника 
.6.Долговечность
подшипника при максимальной нагрузке.
где

-
показатель степени кривой усталости для шариковых подшипников.
9. Смазка редуктора
Смазывание зубчатых зацеплений применяют в целях защиты от коррозии,
снижения коэффициента трения, уменьшения износа, отвода тепла и продуктов
износа трущихся поверхностей, снижение шума и вибраций.
По способу подвода смазывающего материала применяют картерное смазывание.
Это смазывание применяют при окружных скоростях в зацеплении зубчатых передач
до 12,5 м/c.Оно осуществляется окунанием
зубчатых колес в масло, заливаемого внутрь корпуса.
В целях ограничения потери мощности на размешивание смазочного материала
не рекомендуется погружать тихоходное зубчатое колесо на глубину не более 1/6 da, что в данном проекте выдержанно.
Жидкое масло является основным смазочным материалом, оно имеет низкий
коэффициент внутреннего трения, легко поступает к месту смазки, оказывает
охлаждающее действие. К достоинствам жидкой смазки относят возможность смены
масла без разборки смазымаевого механизма. Недостатком жидкой смазки является
легкое вытекание из корпуса, поэтому необходимо применять надежные уплотнения и
часто добавлять смазку
ГОСТ 17479.4-87 регламентирует марки индустриальных масел. Назначение
сорта масел зависит от контактного давления в зубьях и от окружной скорости
колеса. Мною выбрано среднее индустриальное масло марки И-20А (И-Г-А-32).
Контроль уровня масла, находящегося в корпусе редуктора производят с
помощью маслоуказателя. В проектируемом редукторе применяем жезловой
маслоуказатель.
При работе передач масло постепенно загрязняется продуктами износа
деталей передачи. С течением времени оно стареет, свойства его ухудшаются.
Поэтому масло, налитое в корпус редуктора, периодически меняют. Для этой цели в
корпусе предусмотрено сливное отверстие, закрываемое пробкой с цилиндрической
резьбой.
При длительной работе в связи с нагревом масла и воздуха повышается
давление внутри корпуса, это приводит к просачиванию масла через уплотнения и
стыки. Чтобы избежать этого, внутреннюю полость корпуса сообщают с внешней
средой путем установки отдушины в его верхних точках.
При окружной скорости зубчатых колес более 1м/с подшипники смазывают
жидкими смазками( масляным туманом), преимущество который заключается в меньшем
сопротивлении вращению, способности отводить тепло и очищать подшипник от
продуктов износа. Жидкую смазку легче заменить без разборки узла.
.1 Уплотнительные устройства
От надежности и долговечности уплотнений зависит работоспособность
подшипников. В подшипниковых узлах применяют различные типы уплотнений для
предотвращения вытекания смазки их корпуса.
В проектируемом редукторе в качестве уплотнительных устройств применяют
кассетные уплотнения, которые выполняют в виде кольцевых манжет,
устанавливаемые в корпус с натягом и прижимающихся к валу под действием сил
упругости и специальной пружины. Пружина должна прижимать уплотняющий материал
к валу с незначительной силой для уменьшения износа и нагрева.
10. Сборка редуктора
Перед сборкой внутреннюю полость редуктора тщательно очищают и покрывают
маслостойкой краской.
Сборку производят в соответствии со сборочным чертежом редуктора, начиная
со сборки валов:
на ведущий вал насаживают мазеудерживающие кольца и подшипники,
предварительно нагретые в масле до 80 - 100 °С. Так как ведущий вал представляет собой
вал-шестерню, шпонку закладывают только на его выходной конец.
в промежуточный вал закладывают шпонку и напрессовывают коническое
зубчатое колесо до упора, которое фиксируют круглой шлицевой гайкой, далее
надевают маслоотражательные кольца и напрессовывают нагретые в масле
подшипники.
в ведомый вал закладывают шпонки и напрессовывают зубчатые колеса до
упора в бурт вала, затем надевают распорную втулку, совмещенную с
мазеудерживающим кольцом и напрессовывают нагретые в масле подшипники. На
выходной конец вала закладывают шпонку.
Собранные валы укладывают в основание корпуса редуктора и надевают крышку
корпуса, покрывая предварительно поверхности стыка крышки и корпуса спиртовым
лаком. Для центровки устанавливают крышку на корпус с помощью двух
цилиндрических штифтов; затягивают болты, крепящие крышку к корпусу.
Далее в подшипниковые камеры закладывают пластичную смазку, на валы
ставят крышки подшипниковых узлов с комплектом металлических прокладок для
регулировки. Перед установкой крышек в сквозные отверстия вставляют кассетные
уплотнения, пропитанные горячим маслом.
Проверяют проворачиванием валов отсутствие заклинивания подшипников (валы
должны проворачиваться от руки). Крышки закрепляют болтами. Ввертывают пробку
маслоспускного отверстия с прокладкой. Устанавливают маслоуказатель. Заливают в
корпус масло и закрывают смотровой люк крышкой с прокладкой из технического
картона, закрепляют крышку болтами.
Собранный редуктор обкатывают и подвергают испытанию на стенде по
программе, устанавливаемой техническими условиями.
Заключение
Спроектирован двухступенчатый зубчатый коническо-цилиндрический редуктор
с раздвоенной косозубой тихоходной передачей и прямозубой быстроходной.
Его техническая характеристика:
крутящий
момент на тихоходном валу - 
;
частота
вращения ведомого вала - 
;
передача
нереверсивная
особо
легкий режим работы.
Для
смазывания зубчатой передачи предусмотрено применение масла И-Г-А-32 (ГОСТ
17479.4-87).
Проект
выполнен в соответствии с заданием.
Библиографический
список:
. «Расчет деталей машин»: Учебное пособие по курсам «Детали
машин и основы конструирования» и «Механика»/Г.Л. Баранов. Екатеринбург, 2005.
. «Детали машин»: Методические указания по выполнению
курсового проекта. Казанский Г. И. Свердловск, 1991.
«Допуски и посадки»: Справочник,ч.1,2.Палей М.А., Романов
А.Б., Брагинский В.А.Санкт-Петербург,2001.
.«Подшипники качения»:Справочник. Нарышкин В.Н.
М.:Машиностроение,2007.
.Справочник конструктора-машиностроителя,т.1.В.И.Анурьев
М.:Машиностроение,2009.