Проектирование двухступенчатого горизонтального червячно-цилиндрического косозубого редуктора для приводной станции ленточного конвейера

  • Вид работы:
    Курсовая работа (т)
  • Предмет:
    Другое
  • Язык:
    Русский
    ,
    Формат файла:
    MS Word
    1,6 Мб
  • Опубликовано:
    2013-08-06
Вы можете узнать стоимость помощи в написании студенческой работы.
Помощь в написании работы, которую точно примут!

Проектирование двухступенчатого горизонтального червячно-цилиндрического косозубого редуктора для приводной станции ленточного конвейера

Задание на курсовое проектирование

Спроектировать двухступенчатый горизонтальный червячно-цилиндрический косозубый редуктор для приводной станции ленточного конвейера (рис.1). Мощность на выходном валу редуктора  кВт, частота вращения  об/мин. Редуктор нереверсивный, предназначен для эксплуатации в течение 6 лет.

Рис. 1

Введение

Развитие хозяйства тесно связано с ростом машиностроения, ибо материальное могущество человека заключено в технике - машинах, механизмах, аппаратах и приборах, выполняющих весьма разнообразную полезную работу. В настоящее время нет такой отрасли хозяйства, в которой не использовались бы машины и механизмы в самых широких масштабах.

Технический уровень всех отраслей хозяйства тесно связаны и в значительной степени определяется уровень развития машиностроения. На основе развития машиностроения осуществляется комплексная механизация в промышленности сельского хозяйства, строительстве, на транспорте, в коммунальном хозяйстве.

В решениях правительства постоянно уделяется внимание усовершенствованию и развитию конструкции современных машин. Указываются направления и требования, которые необходимо учитывать при проектировании новых машин и механизмов.

Проектируемые машины и механизмы должны иметь наиболее высокие эксплуатационные показатели (производительность, КПД), небольшой расход энергии и эксплуатационных материалов.

Весьма различные машины и механизмы в большинстве своем состоят из однотипных по служебным функциям деталей и сборочных единиц. Отсюда следует, что одни и те же методы анализа, расчета и проектирования находят применение казалось бы в далеких друг от друга отраслях техники. Поскольку большинство деталей машин общего назначения используются в приводах, то они выбраны одним из объектов курсового проектирования. Привод машин и механизма - система, состоящая из двигателя и связанных с ним устройств для приведения в движение рабочих органов машин.

Редуктор - это комплексная зубчатая передача, состоящая из зубчатых колес, валов, осей, подшипников, корпуса и системы смазки.

По большому счету редуктор используется для передачи мощности от электродвигателя к рабочим механизмам.

Редуктора рассматриваемого типа изготавливаются с прямозубыми, кривозубыми и шевронными колесами. Валы монтируются на подшипниках качения или скольжения. Корпус изготавливается чаще литым чугунным и реже стальным, сварным.

1. Кинематический расчет привода

1.1 Подбор электродвигателя

Табл. 1


Червячная передача

Цилиндрическая передача

Цепная передача

Подшипники вала

Муфта

ƞ

0.8-0.85

0.97-0.98

0.9-0.95

0.99-0.0995

0.98

i

15-25

3-6

3-6

-

-


По таблице 1 примем: КПД червячной передачи , КПД пары зубчатых колес , КПД цепной передачи , коэффициент, учитывающий потери пары подшипников качения  и КПД муфты .

Общий КПД привода


Требуемая мощность электродвигателя


Найдем общее передаточное отношение, исходя из данных таблицы 1


Таким образом:


В соответствии с полученными значениями, выбираем электродвигатель серии 4А с типовым размером 90L4. Мощность . Номинальная частота вращения . Диаметр конца вала ротора

Фактическое передаточное число привода:


Найдем передаточные числа каждой из передач и внесем значения в таблицу 2.

Таблица 2

i1

n1

i2

n2

i3

n3

n4

16

1512

6.3

94.5

5

15

3

20

1447.5

5

72.375

4.825

14.475

3

25

1447.5

5

57.9

3.86

11.58

3


Выделенное значение в таблице 2 наиболее приближено к реальным данным.

1.2 Определение частот вращения и вращающих моментов на валах

Частоты вращения будем рассчитывать по формуле:


Значит, частоты вращений для каждого из четырех валов:


Учитывая мощность двигателя, примем следующие значения КПД передач:


Мощности на валах:


Крутящие моменты на каждом валу:


2. Расчет червячной передачи

.1 Выбор материала червяка и червячного колеса

Число витков червяка  принимаем в зависимости от передаточного отношения: при  принимаем . Число зубьев червячного колеса


Выбираем материал червяка и венца червячного колеса. Принимаем для червяка сталь 40 с закалкой до твердости не менее 450 HB и последующим шлифованием.

Так как к редуктору не предъявляются специальные требования, то в целях экономии принимаем для венца червячного колеса бронзу БрАЖ9-4Л (отливка в песчаную форму). , .

Скорость скольжения в зацеплении


Выбираем 8 степень точности и коэффициент .

2.2 Определение допускаемых контактных напряжений и напряжений изгиба

Допускаемое контактное напряжение при длительной работе


Напряжения изгиба для нереверсивной работы


2.3 Проектный расчет

Предварительно примем значения коэффициента  и модуля  мм

Приведенный модуль Юнга


Диаметр колеса


Межосевое расстояние


Выбираем ближайшее по ряду , тогда диаметр колеса:


Диаметры вершин зубьев:


Диаметры впадин:


Наибольший диаметр колеса:


Ширина колеса:

 

Диаметр червяка:


Расчетный шаг:


Диаметр вершин витков:


Диаметр впадин витков червяка:


Длина нарезной части:


Делительный угол подъема витка червяка:

 

2.4 Проверочный расчет

Для проверки контактного напряжения нам понадобятся следующие коэффициенты:


Подставим все известные значения в формулу:


Также при проверке напряжения изгиба:

электродвигатель червячный передача шестерня

 


3. Расчет зубчатой цилиндрической передачи

.1 Выбор материала шестерни и колеса

Так как в задании нет особых требований в отношении габаритов передачи, то выбираем материалы для шестерни сталь 40, термообработка - нормализация, улучшение, твердость 320 HB и для колеса сталь 40, термообработка - нормализация, улучшение, твердость 280 HB.

.2 Определение допускаемых контактных напряжений и напряжений изгиба

При заданном сроке службы, определим число циклов нагружения:


Рассчитаем коэффициент долговечности:


Коэффициент безопасности  

Допускаемое контактное напряжение (определяем на колесе, так как оно сломается быстрее, из-за меньшей твердости):


Нагрузка односторонняя, значит

Коэффициент безопасности

Допускаемое напряжение изгиба:


3.3 Проектный расчет

Для расчета межосевого расстояния нам понадобятся следующие значения:

Передаточное отношение


Приведенный модуль юнга


Крутящий момент на тихоходном валу

Коэффициент нагрузки для случая несимметричного расположения колес


Коэффициент ширины венца по межосевому расстоянию примем


Таким образом, межосевое расстояние:


Округлим до значения из ряда .

Отсюда, диаметры шестерни и колеса:


Ширина колеса:


Ширина шестерни:


Для расчета модуля понадобятся следующие значения:


Примем в расчете два крайних значения

При ,

При ,

По той причине, что модуль следует уменьшать, примем значение , выбрав его из ряда.

Отсюда:


Угол наклона зубьев:

.

Возьмем значение , тогда .

Число зубьев суммарное:


Число зубьев на шестерне и колесе:


Проверка: (расхождение с действительным значением 1.81%)

Пересчитаем значение угла наклона зубьев:


Значит, точное значение угла

Делительные диаметры шестерни и колеса:


что совпадает с ранее вычисленным значением межосевого расстояния.

Диаметры вершин зубьев:


Диаметры впадин шестерни и колеса:


Окружная скорость колеса:


При данной скорости назначаем степень точности  и определяем значения коэффициентов:

 

 


3.4 Проверочный расчет

Проверяем контактные напряжения на шестерне и колесе:

 

Напряжения изгиба на шестерне и колесе:


Проверим значение нормального модуля:


Следовательно, выбранное значение модуля верно.

Силы, действующие в зацеплении:

Окружная


Радиальная


Осевая


Нормальная


4. Эскизное проектирование

.1 Проектные расчеты валов

Быстроходный вал:

Диаметр выходного конца вала по расчету на кручение при :

 

Для соединения его с валом электродвигателя примем ; диаметры подшипниковых шеек  Параметры нарезанной части: ,  Длина нарезанной части  Расстояние между опорами червяка примем . Расстояние от середины выходного конца до ближайшей опоры

Промежуточный вал:

Диаметр под шестерней, при пониженном допускаемом напряжении


Принимаем  Диаметры подшипниковых шеек  Диаметр вала в месте посадки червячного колеса  Диаметр ступицы червячного колеса  Принимаем . Длина ступицы червячного колеса  Принимаем . Шестерню цилиндрической зубчатой передачи делаем заодно с валом: , ,

Тихоходный вал:

Диаметр конца вала


Принимаем  Диаметры под подшипниками  Диаметр под колесом

4.2 Выбор типа и схемы установки подшипников

В связи с тем, что в червячном зацеплении возникают значительные осевые усилия, примем радиально-упорные подшипники: шариковые легкой серии для червячного колеса и роликовые конические легкой серии для червяка.

Проверка долговечности подшипников:

Окружное усилие на червячном колесе, равное осевому усилию на червяке


Окружное усилие на червяке, равное осевому усилию на колесе,


Радиальные усилия на колесе и червяке


Быстроходный вал (см. рисунок 3):

Расстояние между опорами . Диаметр . Примем шарикоподшипники радиально-упорные 7205 (см. табл.5). Реакции опор (правую опору, воспринимающую внешнюю силу , обозначим цифрой «2»):

В плоскости xz


В плоскости yz


Проверка:


Суммарные реакции:


Осевые составляющие радиальных реакций роликовых радиально-упорных подшипников по формуле

 

Где для подшипников роликовых радиально-упорных коэффициент осевого нагружения .

Осевые нагрузки подшипников: В нашем случае  тогда .

Рассмотрим левый («первый») подшипник.

Отношение  осевую нагрузку не учитываем.

Эквивалентная нагрузка:


Коэффициенты взяты из инженерных таблиц в соответствии с режимом работы привода.

Долговечность определяем по более нагруженному подшипнику.

Рассмотрим правый («второй») подшипник.

Отношение  поэтому определяем эквивалентную нагрузку с учетом осевой:


Расчетная долговечность, млн. об.,


Расчетная долговечность в часах:


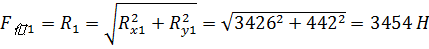
Промежуточный вал (см. рисунок 4):

Выделяем расстояния на промежуточном валу; между серединами опор . Расстояния  Диаметр . Промежуточный вал установлен в шариковых радиально-упорных подшипниках средней серии 46309 (см. табл.5). Из предыдущих расчетов известно:

          

              

                

Реакции опор:

В плоскости xz


 

Проверка:

 

В плоскости yz:

 


Проверка:

 

Суммарные реакции:


Определяем долговечность наиболее нагруженной опоры «1». На эту опору действуют радиальная реакция  и внешняя осевая сила .

Эквивалентная нагрузка: Так как угол контакта , то отсюда  Так как отношение  то коэффициенты

Расчетная долговечность, млн. об.,


Расчетная долговечность в часах:


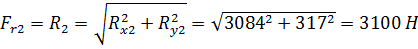
Ведомый вал:

Диаметр вала в месте посадки подшипников равен 65 мм, поэтому выбираем шариковые радиально-упорные подшипники средней серии 46313 (см. табл.5). Расстояние между опорами . Расстояние . Диаметр колеса . Известные данные:



Проверка:


В плоскости yz:


Проверка:


Суммарные реакции:


Определяем долговечность наиболее нагруженной опоры «2». На эту опору действуют радиальная реакция  и внешняя осевая сила .

Эквивалентная нагрузка: Так как угол контакта , то отсюда  Так как отношение  то осевую силу не учитываем и


Расчетная долговечность, млн. об.,


Расчетная долговечность в часах:


Таблица 5

Обозначение подшипника

d

D

b

Динамическая грузоподъемность C, кН

Статическая грузоподъемность C0, кН

Роликоподшипник конический однорядный 7205

25

52

16

23.4

17.6

Шарикоподшипник радиально-упорный 46309

45

100

25

47.2

37.0

Шарикоподшипник радиально-упорный 46313

65

140

33

87.3

74.9


4.3 Составление компоновочной схемы


Расчет валов на статическую прочность и сопротивление усталости

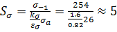
Материал промежуточного вала - сталь 45 нормализованная, . Примем, что нормальные напряжения изменяются по симметричному циклу, а касательные от кручения - по отнулевому. Определим коэффициент запаса прочности для сечения А-А, в котором возникает наибольший изгибающий момент:


Результирующий изгибающий момент


Амплитуда номинальных напряжений изгиба


Амплитуда и среднее напряжение цикла касательных напряжений:


Коэффициенты запаса прочности:


Общий коэффициент запаса прочности


Материал ведомого вала - сталь 45 нормализованная, . Примем, что нормальные напряжения изменяются по симметричному циклу, а касательные от кручения - по отнулевому. Определим коэффициент запаса прочности для сечения Б-Б, в котором возникает наибольший изгибающий момент:


Результирующий изгибающий момент


Амплитуда номинальных напряжений изгиба


Амплитуда и среднее напряжение цикла касательных напряжений:


Коэффициенты запаса прочности:


Общий коэффициент запаса прочности


Червячный вал проверять на прочность не следует, так как размеры его поперечных сечений, принятые при конструировании после расчета геометрических характеристик, значительно превосходят те, которые могли быть получены расчетом на кручение. Напомним, что диаметр выходного конца вала получился при расчете 14.3 мм, а мы по соображениям конструирования приняли его диаметр равный 24 мм.

Проверим стрелу прогиба червяка (расчет на жёсткость).

Приведенный момент инерции поперечного сечения червяка


Стрела прогиба


Допускаемый прогиб

 

Таким образом, жесткость обеспечена, так как


5. Расчет шпоночных соединений

Для передачи вращающих моментов применяем шпонки призматические с кругленными торцами по СТ СЭВ 189-75:

Ведущий вал -

Промежуточный вал -

Ведомый вал -

 

Материал шпонок - сталь 45 нормализованная. Условие прочности:


Прочность обеспечена.

6. Конструирование корпусных деталей и крышек подшипников

Толщина стенок корпуса и крышки:


Толщина фланцев корпуса и крышки:


Толщина нижнего пояса корпуса при наличии бобышек


Диаметры болтов:

Фундаментных


Принимаем болты с резьбой М16.

Диаметры болтов  и .

7. Тепловой расчет редуктора

Для проектируемого редуктора площадь теплоотводящей поверхности


Для нормальной работы необходимо обеспечить следующее условие теплового баланса: количество теплоты Ф1, выделяемое в единицу времени (мощность тепловыделения), не должно превышать количество теплоты Ф2, отводимой через стенки редуктора окружающей среде:


Где  - коэффициент теплопередачи,  - предельный перепад температур.

Следует установить ребра для увеличения площади теплоотвода. Найдем дополнительную площадь теплоотвода:


Отсюда, площадь всех ребер:


Размеры ребер:

  

С учетом размеров каждого ребра, определим количество ребер:


8. Выбор смазочных материалов и системы смазывания

В настоящее время в машиностроении для смазывания передач широко применяют картерную систему. В корпус редуктора или коробки передач заливают масло так, чтобы венцы колес были в него погружены. При их вращении масло увлекается зубьями, разбрызгивается, попадает на внутренние стенки корпуса, откуда стекает в нижнюю его часть. Внутри корпуса образуется взвесь частиц масла в воздухе, которая покрывает поверхность расположенных внутри корпуса деталей.

Определим вязкость масла с учетом скорости скольжения червяка , окружной скорости цилиндрической передачи и предела выносливости материала (сталь 45).

Выберем масло индустриальное И-100А. Кинематическая вязкость масла равна 90-118 сСт (при 50 градусах Цельсия).

9. Допуски посадки

Посадки основных деталей редуктора даны в таблице:

Тип посадки (условное обозначение)

Применение

H7/r6

Зубчатые и червячные колеса

H7/r6

Шестерни на валах электродвигателя

H7/h6

Стаканы под подшипники качения в корпус

H7/h8

Крышки торцевые узлов на подшипниках качения

H8/h8

Распорные кольца, валы

h6

Внутренние кольца подшипников качения на валы

H7

Внешние кольца подшипников качения на валы


10.    Расчет цепной передачи

Выбираем для передачи цепь приводную роликовую 2ПР по ГОСТ 13568-75. Известные параметры передачи:


Числа зубьев на ведущей и ведомой звездочке:

 

Допускаемое среднее давление примем ориентировочно

Эксплуатационные коэффициенты:


Число рядов .

Определим шаг цепи:


Выбираем цепь 2ПР-50,8-45380 ГОСТ 13568-75. Ее размеры:

,


Определяем скорость цепи


Окружное усилие


Проверяем среднее давление


Межосевое расстояние


Суммарное число зубьев

 

Число звеньев


Уточняем межосевое расстояние


Необходимо провисание на 0.4%, т.е. на 8 мм.


Делительный диаметр меньшей звездочки


Делительный диаметр большей звездочки


Наружные диаметры


11.    Выбор муфты

В данном приводе передача вращающего момента от двигателя к редуктору происходит через муфту. Выбираем муфту упругую втулочно-пальцевую ГОСТ 21424-75, исходя из параметров передачи и размера вала:


Отсюда, размеры муфты:


В муфте используются 4 пальца. Проводить расчет на прочность нет необходимости.

Литература

1.   Курсовое проектирование деталей машин / С.А. Чернавский, Г.М. Ицкевич, К.Н. Боков, И.М. Чернин и др. - М.: Машиностроение, 1979. - 351

2.      Методика расчёта зубчатых и червячных передач в курсовом проектировании: Методические указания / Соств. В.Я, Баранцов, Т.Г. Зайцева. - Липецк, 1991. - 32 с.

.        Детали машин и основы конструирования: Методические указания / А.А. Тупицын С.К. Кагапольцев - ИрГУПС. 2003 - 52 с.

.        Детали машин. Атлас конструкций. Под ред. Решетова Д.Н. М.: Машиностроение, 1979 г.

Похожие работы на - Проектирование двухступенчатого горизонтального червячно-цилиндрического косозубого редуктора для приводной станции ленточного конвейера

 

Не нашли материал для своей работы?
Поможем написать уникальную работу
Без плагиата!
Без нейросетей!