Проектирование двухступенчатого привода и цилиндрического одноступенчатого редуктора
Введение
Совокупность двигателя и одной или нескольких
механических передач, соединенных между собой с помощью муфт, называется
приводом. Привод сообщает движение ведущему звену рабочей машины. В состав
проектируемого привода входят электродвигатель, поликлиновая ременная передача,
одноступенчатый цилиндрический редуктор и муфта. Данный привод обеспечивает
привод галтовочного барабана с параметрами, которые указаны в техническом
задании.
Редуктор - это механизм, состоящий из зубчатой
передачи, помещенной в отдельный герметичный корпус, работающий в масляной
ванне. Редуктор предназначен для понижения частоты вращения и соответственно
повышения вращающего момента ведомого вала по сравнению с ведущим валом.
Проектируемый редуктор - цилиндрический одноступенчатый с расположением
шестерни ниже зубчатого колеса. Корпус редуктора служит для размещения и
координации деталей цилиндрической косозубой передачи, защиты ее от
загрязнения, организации системы смазки, а так же восприятия сил, возникающих в
зацеплении редукторной пары, подшипниках, открытой передаче. У редуктора
предусмотрен разъемный корпус, изготовленный из серого чугуна.
1.
Кинематическая схема привода
1- Электродвигатель,
2- Муфта упругая втулочно-пальцевая,
- Редуктор цилиндрический одноступенчатый
вертикальный,
- Цепная передача,
- Приводной вал машины.
Рисунок 1. - Кинематическая схема привода
2.
Эскизный проект
.1 Выбор двигателя.
Кинематический расчет привода
Общий КПД двухступенчатого привода:

(1)
где η -
общий КПД привода;

- КПД открытой передачи;

- КПД муфты,


-0,96

-0,98

0,92*0,96*0,98=0,8655=0,9
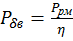
Требуемая мощность электродвигателя:

(2)
Где 
- требуемая мощность
электродвигателя, кВт;

- мощность быстроходного вала
рабочей машины, кВт;

- коэффициент полезного действия
привода машины.

, 

=5,1
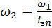
Частота вращения выходного вала;

=
=95,5 (3)
где 
- частота вращения выходного вала
привода, об/мин;

- угловая скорость быстроходного
вала рабочей машины, с-1
Таблица 1 - Двигатели асинхронные
короткозамкнутые трёхфазные серии 4А. Диапазон частот вращения. определение
передаточных чисел привода
|
Тип
Двигателя
|
Номинальная
мощность
|
Номинальная
частота вращения, об/мин
|
Частота
вращения приводного вала рабочей машины, об/мин
|
Передаточное
число привода
|
|
4А100L2У3
|
5,5
|
2880
|
153
|
19
|
|
4A132M8У3
|
5.5
|
720
|
153
|
7.5
|
|
4A132S6У3
|
5,5
|
965
|
153
|
6,2
|
|
4A132M4У3
|
5,5
|
1445
|
153
|
9.4
|
|
|
|
|
|
|
Выбираем тип 4A112M8У3
Номинальная мощность: Pном = 5,5 кВт,
Номинальная частота вращения: n=720
об/мин,
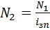
Передаточное число: 𝑖=
7.5

=
=3 (4)
где 
- передаточное число открытой
передачи;
𝑖 - передаточное число
привода;

- 4;

- 2.5
Таблица 2 - Определение основных
параметров редуктора
|
Параметр
|
Вал
|
Последовательность
соединений элементов привода на кинематической схеме.
|
|
Мощность,
кВт
|
электродвигатель
|
 =  =5,1
|
|
б/х
вал редуктора
|
|
|
т/х
вал редуктора
|
|
|
Частота
вращения, об/мин
|
электродвигатель
|
 =720
|
|
б/х
вал редуктора
|
 = ,  =720
|
|
т/х
вал редуктора
|
 об/мин
|
|
электродвигатель
|
 =  об/мин
|
|
Угловая
скорость, c-1
|
б/х
вал редуктора
|

|
|
т/х
вал редуктора
|
 c-1=
|
|
Вращающий
момент, Н*м
|
электродвигатель
|
 =  Н*м
|
|
б/х
вал редуктора
|
 = = 65.6 Н*м
|
|
т/х
вал редуктора
|
 = * = 155.9 Н*м
|
Кинематические и силовые параметры привода
рассчитываются для быстроходного и тихоходного валов редуктора и для выходного
вала электродвигателя. Расчет кинематических и силовых параметров привода
сведен в таблицу.
2.2 Выбор материала зубчатых или
червячной передачи. Определение допускаемых напряжений
Таблица 3 - Выбор материала термообработки
Определение допускаемых контакты напряжений
шестерни:

H1=1,8HBср1+67=
Н/мм2; (5)

е HBср1 - твёрдость
шестерни.ср1=285.5

H1=1,8*285.5+67=580
Н/мм2;
Определение редукторных напряжений
изгиба для витков шестерни:

F1=1,03*285.5=Н/мм2;
(6)

HBср1 - средняя
твёрдости поверхности зубьев шестерни.

F1=1,03*285.5=294
Н/мм2;
Допускаемые контакты напряжений
колеса:ср2=248.5
Допускаемое напряжение зубчатого
колеса при числе циклов:

H1=1,8HBср2+67
Н/мм2; (7)

H1=1,8*248.5+67
=514.3 Н/мм2;
где НВср2 - средняя
твердость рабочих поверхностей зубьев колеса.
Допускаемое напряжение изгиба при
числе циклов перемены NF1:

F1=1,03*HBср2
= Н/мм2; (8)
где HBср2 =248.5

F1=1,03*248.5
=256 Н/мм2;

H2<
H1
514.3<580 Условие выполняется…
2.3 Расчет закрытой передачи
Определить межосевое расстояние Аw,
мм:
w ≥ Ka(𝑖зn+1)
*KHβ = (9)
=43*(2.5+1)
*1=150.5* 
*1= 150* 
=150*0.66=99;
Полученное значение межосевого
расстояния округлил до ближайшего значения по ряду нормальных линейных размеров
Ra : Aw=100
Определение модуля зацепления, мм:
≥ 
(10)≥ 
= 
=
=1.5;
где T2 - вращающий момент на
тихоходном валу редуктора, Н*м;

- допускаемое напряжение изгиба
зубьев колеса, Н/мм2;m - 5,8 для косозубых передач;2
- делительный диаметр колеса, мм.
Делительный
диаметр колеса определяется:
2 = 
(11)2 = 
= 
=
=142.9;
где
Aw - 100
𝑖зп - 2.52
- ширина венца колеса, мм:
2 = Ψa*Aw
(12)2
= Ψa*Aw
=0.32*100=32 ;
Полученное
значение модуля m округляем в большую сторону до стандартному из ряда: m=1.5
Определение
минимального угла наклона зубьев для косозубых и шевронных передач, град:
βmin = arcsin
= 
= 9; (13)
где
m - 1.52 -32
Определение
суммарного числа зубьев шестерни и колеса:
Для
косозубых передач:
∑ = z1+z2
= 
= 
=120; (14)
где

-9
Уточнить
действительную величину угла наклона зубьев для косозубых передач:
β
= arccos
= arcos
= arcos 0.99=8; (15)
где

-132;-1.5;w -100.
Определение
число зубьев шестерни:
1 = 
=
=37.7=38; (16)
где

-132;

-2.5.
Определить
число зубьев колеса:
2 = z∑ - z1
=132-38=94; (17)
где
z∑ -132;1 -38.
Фактическое
передаточное число и проверить его отклонение от заданного:
𝑖ф = 
=
= 2.5 (18)
где
z2 -94;1 -38.
∆𝑖 = 
*100% = 
*100%=0 ≤ 4%; (19)
где
𝑖зп - 2.5.
Определение
фактического межосевого расстояния, мм:
w = 
= 
=
= 100 ; (20)
где
z1 -38;2 -94;-1.5;
β
-0.99.
Определить
фактические основные геометрические параметры шестерни и колеса:
Таблица
4 - Определение основных геометрических параметров шестерни и зубчатого колеса
|
Параметр
|
Шестерня
|
Колесо
|
|
Косозубая
|
Косозубое
|
|
Диаметр
делительный, мм
|
d1
= m*z1/cosβ = 1.5*38*/0.99=57.6
|
d2
=m*z2/cosβ =1.5*94/0.99=142.4
|
|
Диаметр
вершин, мм
|
da1
= d1+2*m = 57.6+2*1.5=60.6
|
da2
=d2+2*m = 142.4+2*1.5=145.4
|
|
Диаметр
впадин зубьев, мм
|
df1
= d1- 2,4*m = 57.6-2.4*1.5=57.6*36=54
|
df2
= d2-2,4*m = 142.4-2.4*1.5=138.8
|
|
Ширина
зубчатого венца
|
b1
= b2+(2…4) =32+3=35
|
b2=32
|
Примечание:- 1.5 мм;1 - 38;2
- 94;
β -0.99.
Проверка межосевого расстояния, мм:
Aw = 
=
=
=100 (21)
где d1=57.6мм; d2
= 142.4мм.
Определение окружной силы на колесе,
Н:
t2 = 
=
; (22)
Определение окружной скорости
колеса, м/с и степени точности передачи.
Окружная скорость колеса
определяется по формуле, м/с:
υ = 
=
; (23)
где 
-30.2 с-1; d2-142.4
мм.
Степень точности передачи
определяется в зависимости от окружной скорости.
Степень точности №9:Hβ - 1;Hυ - 1,03;Ha
- 1,1;Fβ - 1,14.
Определение фактического контактного
напряжения зубьев колеса, Н/мм2.
Фактическое контактное напряжение
зубьев колеса сравнивается с допустимым напряжением:
𝜎H2 = K
=
=
= 376*
= 
*376*1.97=490 (24)
где
Ft2 -4379;2 -142.4; b2 -42 ;
𝑖ф - 2.5;- вспомогательный
коэффициент:= 376 - для косозубых передач;Ha - 1,1;
Основным
условием работоспособности передачи является:
𝜎H2 ≤ [
(25)
<514
Н/мм2;
Контактное
напряжение зубьев колеса не превышает допускаемое напряжение, условие
выполняется.
Проверка
напряжений изгиба зубьев колеса, Н/мм2:
𝜎F2 = YF2*Yβ*
* KFα*KFβ*KFυ ≤ [𝜎]F2;
(26)
.6*0.95*
* 1*1*4≤ 514
где
Ft2 -4379 Н;2 -32 мм;-1.5;β -0.95
коэффициент наклона зуба:
Для
косозубых и шевронных колёс коэффициент наклона зуба:
β = 1- 
=1-
=1-0.05=0.95 (27)
где

-8 град;F2 - коэффициент
формы зуба колеса, определяется в зависимости от зубьев колеса z2:F2
- 3,6;

- 3,7.
Условием
прочности колеса является:
𝜎F2 ≤ [𝜎]F2 (28)
.5Н/мм2<
514 Н/мм2;
Фактическое
напряжение изгиба зубьев колеса не превышает допустимого напряжения изгиба зубьев
колеса.
Проверка
напряжений изгиба зубьев шестерни, Н/мм2:
𝜎F1 = 𝜎F2 * 
= ≤ [𝜎]F1 (29)
𝜎F1 = 124.5* 
= ≤ [𝜎]F1
128
≤ 294.1
Н/мм2
< 294,1 Н/мм2;
где
[𝜎]F2
-Н/мм2;
𝜎F2 - Н/мм2;

-3.7;F2-3.6;
При
проверочном расчете 𝜎F значительно
меньше [𝜎]F1,
то это допустимо, т.к. нагрузочная способность зубчатых передач ограничивается
прочностью.
2.4
Расчет открытой передачи
Расчет
цепной передачи:
Определить
коэффициент эксплуатации цепной передачи:
э = Кд*Кс*Кθ*Крег*Кр=1.2*1.5*1.25*1.25*1.25=3.5
; (30)
где
Кд -1.2;
Кс
-1.25 ;
Кθ - 1.05;
Крег
- 1.25;
Кр
- 1.5;b -1.25.
Определить
число зубьев ведущей звёздочки:
1 = 29-2*𝑖оп =29-2*3=23;
(31)
где
𝑖оп -3
Определить
допускаемое давление в шарнирах роликовых цепей, Н/мм2.
Допускаемое
давление в шарнирах роликовых цепей определяется в зависимости от частоты
вращения тихоходного вала редуктора N2:
Допускаемое
давление - [Pц] = 26 Н/мм2.
Определить
шаг цепи p, мм:≥ 2,8
=2,8
=2,8
=25.76; ; ; (32)
где
T2 -Н*м;э -3.5;1 -23;
[Pц]
-30 Н/мм2;- 1= число рядов цепи.
Полученное
значение шага округлил в большую сторону до стандартного- 31.75 мм.
Определить
число зубьев ведомой звёздочки:
2 = z1*𝑖оп =23*3; (33)
где
z1 -23;
𝑖оп -3.
Определить
фактическое передаточное число цепной передачи:
𝑖ф = 
=
; (34)
∆𝑖 = 
*100% =
*100%≤ 4% (35)
%≤4%
где
iоп -3.
Выбрать
оптимальное межосевое расстояние, мм:
=
(30…50)*p = мм; (36)
где
p - 19,05 мм.
Тогда
межосевое расстояние в шагах составит:p = 
= 30…50:p =.
Определить
число звеньев цепи
p = 2*ap+
+ 
; (37)p = 2*40+
+ 
=80+46.5+
где
ap -40;1 -23;2 - 70.
Уточнить
межосевое расстояние в шага, мм:
p = 0,25
= ; (38)p = 0,25
=
=
0.25*(81.4+78.5)=0.25*160=40
где
Lp -81.4 ;1 -23 ;2 -70.
Определить
фактическое межосевое расстояние, мм:
=
ap*p = 40*31.75=1270 мм; (39)
где
ap - 40;- 31.75 мм.
Определить
длину цепи, мм:
=
Lp*p = 127.9*31.75мм; (40)
где
p - 3.75 мм;p -81.4.
Определить
фактическую скорость цепи, м/с:
υ
= 
=
=3.5 (41)
где
z1 - ;-31.75мм;2 -288об/мин.
Определить
окружную силу, передаваемую цепью, Н:
t = 
= 
=1342.9Н; (42)
где
P2 -4.7;
υ
-3.5.
Определить
предварительное натяжение цепи от провисания ведомой
ведомой
ветви, Н:
0 = 
= 
=4.5Н. (43)
где
Kf = 6- для горизонтальных передач;-40 мм; q - 3.8;-9.81м/с2
- ускорение свободного падения.
Определить
коэффициент нагрузки вала.
Коэффициент
нагрузки вала кb = 1,15.
Определить
силу давления цепи на вал, Н:
оп = Kb*Ft+2Fo
= 1.05*134.2+2*4.5=1419Н; (44)
где
kb -1.05; Ft -134.2Н; F0 -4.5Н.
Таблица
5 - Силы в зацеплении закрытой передачи
|
Вид
передачи
|
Силы
в зацеплении
|
Значение
силы, Н
|
|
|
На
шестерне
|
На
колесе
|
|
Цилиндрическая
зубчатая
|
Окружная
Ft
|
Ft1
= Ft2 Ft1 = 4379 Н
|
Ft2
=4379 Н
|
Радиальная
Fr Fr1 = Fr2 Fr2 = 
=
619.2Н;
|
β
- 0.99
град.
|
|
|
Осевая
Fa
|
Fa1
= Fa2
|
Fa2
= Ft2 * tanβ =4379*0.14=613
β
-0.14град.
|
Консольные силы, действующие на выходные ступени
валов:
Fm1 = (50…125)
=80*
=80*8.09=647 (45)оп=80.
2.5 Проектный расчет валов. Подбор
подшипников качения. Конструирование колеса
Определение основных параметров
быстроходных валов для цилиндрических редукторов:
- я ступень под элемент открытой
передачи или полумуфту:
Диаметр1 = 
=
=28; (46)
где T1 -Н*м;

- Н/мм2 - допускаемое
напряжение кручения.
Длина
1 =
(1,2…1,5)D1 =1.3*28=37; (47)
-я ступень под уплотнение крышки с
отверстием и подшипник:
Диаметр
2 = D1 +2t
=28+2*4=40 мм; (48)
где t - мм высота буртика.
Полученное значение D2
округлил в большую сторону, кратного.2 = 40 мм.
Длина
2 = 1,5D2
= 1.5*40=60мм. (49)
- я ступень под шестерню:
Диаметр
3 = D2
+ 3,2*t =40+3.2*4=40=12.8=52.8=53 мм. (50)
-я ступень под подшипник:
Диаметр
4
= D2 =40 мм (51)
Длина 4 -й ступени равна ширине выбранного
подшипника.
Определение основных параметров тихоходных
валов:
- я ступень под элемент открытой передачи или
полумуфту:
Диаметр
D1 = 
=
=38мм; (52)
где T2 -155.9 Н*м;

- 15 Н/мм2 - допускаемое
напряжение кручения.
Длина
1 =
(1,2…1,5)D2 =1.3*38=50; (53)
-я ступень под уплотнение крышки с
отверстием и подшипник:
Диаметр
2
= D1 +2t =38+2*4=50; (54)
где t - мм высота буртика.
Полученное значение D2 округлил в
большую сторону, кратного.2 =50.
Длина
2
= 1,5D2 =1.5*50=75; (55)
- я ступень под шестерню:
3
= D2 + 3,2*t =50+3.2*4=63. (56)
-я ступень под подшипник:
Диаметр
4
= D2 =50 (57)
Длина 4 -й ступени равна ширине выбранного
подшипника.
Конструирование колеса.
Конструирование зубчатого цилиндрического
колеса.
Диаметр обода, мм:
об = da2 = 142.4. (58)
Толщина
обода, мм:
=
2,2m+0,05b2 =2.2*1.5+0.05*32=5.28; (59)
где
m -1.5мм;2 -32мм.
Ширина
обода, мм:
об = b2 =32 мм (60)
Внутренний
диаметр ступицы, мм:
=
d3 = 63мм (61)
Наружный
диаметр ступицы, мм:
ст = 1,55*d3 =1.55*63=98
мм; (62)
Длина
ступицы, мм:
ст = (1,0…1,5)d3
=1.5*63=94.5мм; (63)
где
d3 -мм.
Толщина
диска, мм:
=
0,25b2 =0.25*32=8 мм; (64)
2 -32 мм
Радиусы
закреплений и уклон, мм:≥ 6; γ ≥ 7˚0 =
5 мм;= (0,6…0,7) с округлением по R 0,25.
2.6
Подбор призматических шпонок. Проверка прочности шпоночных соединений
Шпонки
подбираются в зависимости от диаметра и длины той степени вала, на которой они
устанавливаются. Длину шпонки назначают на 10…15 мм.
Таблица
6 - Шпоночное соединение с призматическими шпонками
|
Диаметр
вала d, мм
|
b
*h*l
|
|
|
Б/x
Т/х
|
d1
=28 d1 = 38 d3 = 88
|
8*7*25;
10*8*28; 25*14*70;
|
t1
= 4 t1 = 5 t1 = 6
|
Выбираем по ГОСТ 23360 - 78 шпонки проверяются
на смятие по условию прочности:
Б/х
𝜎см = 
=
= 
=24.6 Н/мм2; (65)
где
𝜎см -24.6
напряжение смятия, Н/мм2;1 -65.6Н*м;1 -28мм;-7
мм, высота шпонки;1 -4мм;-25мм;-8мм;
[𝜎]см
= 24.6Н/мм2.
Рабочее
напряжение смятия не превышает допустимое напряжение смятия:
𝜎см ≤ [𝜎]см
(66)
.6
Н/мм < 130 Н/мм2.
Т/x
𝜎см = 
=
=
=129Н/мм2; (67)
где
𝜎см - 129
напряжение смятия, Н/мм2;2 -155.9Н*м;1 -38
мм;-8 мм, высота шпонки;1 -4мм;-28мм;- 10 мм;
[𝜎]см
=130 Н/мм2.
Рабочее
напряжение смятия не превышает допустимое напряжение смятия:
𝜎см ≤ [𝜎]см
(68)
.5
Н/мм2 < 130 Н/мм2.
𝜎см = 
= 
=
=5.5 Н/мм2; (69)
где
𝜎см - 5.5
напряжение смятия, Н/мм2;2 -155.9Н*м;3 -88
мм;-14 мм, высота шпонки;1 -4 мм;- 70 мм;-25 мм;
[𝜎]см
= 130 Н/мм2.
Рабочее
напряжение смятия не превышает допустимое напряжение смятия:
𝜎см ≤ [𝜎]см
(70)
.5Н/мм2
< 130 Н/мм2.
Предварительный
выбор подшипников.
К28.
Подшипник шариковые радиально - упорные однородные:
Б/х
46306
- a =26˚= 30; D = 72; B=19; Cr = 25,6 ; Cor = 18,7.
Т/х
46309
- a = 26˚= 45; D = 100; B = 25; Cr = 48,1; Cor =
37,7.
2.7
Определение реакций в подшипниках и моментов в опасных сечениях валов
Определение
реакций опор и изгибающий для тихоходного вала цилиндрического редуктора,
соединенного с цепной передачей.
Рисунок 2 - Силовая схема тихоходного вала с
цепной передачей.
t1 -4228 Н;r1 - 1553 Н;a1
- 803 Н;оп - 821 Н;б - 178;оп - 74;1
-38 мм.
.Вертикальная
плоскость.
Определяем
опорные реакции, Н:
∑
Mx1 = 0
RBy = 
= 
=
= 2025 Н; (71)
∑ Mx4 = 0Ay
= 
= 
= 349 H; (72)
Проверка:
∑ y =0ay-
Fr1+RBy - Fоп=0 (73)
349-1553+2025-821=0.
Строим эпюру изгибающих моментов
относительно оси х, Н*м:
x1 = 0x2
= Ray 
= 349 *
= 31 Н*м; (74)x2 = -Rby

+Fоп
= -2025*89+821*163= -46.4 Н*м; (75)x3
=Fоп * Lоп= 821,6*74=60,7 Н*м. (76)
.Горизонтальная плоскость.
Определяем опорные реакции, Н:
∑ My2 = 0ax=Rbx=Ft1/2=4228/2=2114
H. (77)
Проверка:
∑ х = 0ax + Rbx
- Ft1 = 0 (78)
+2114-4228 = 0.
Строим эпюру изгибающих моментов
относительно оси y.
∑ My1
= 0y2 = Rbx *Ib/2 = 2114 *89 = 188,146 Н*м;
(79)
My3 = 0;y4 =
0.
Определяем суммарные реакции, Н:
a = 
= 
= 2142 H; (80)b = 
= 
= 2927 H; (81)
Определяем суммарные изгибающие
моменты:
2 = 
= 
= 190 H*m; (82)3 = 
= 60,8 H*m; (83)
Определение реакций опор и
изгибающих моментов для вала, соединённого с муфтой (схема универсальная).
Рисунок 3 - Силовая схема
цилиндрического вала - шестерни или вала червяка
t -4228 Н;r - 4379 Н;a
- 613 Н;т - 188;м - 160;2 - 65 мм.
.Вертикальная
плоскость.
Определяем
опорные реакции, Н:
∑
Mx1 = 0y2 = 
= 
= 915,3; (84)
∑
Mx3 = 0y1 = 
= 
= 637,7 Н; (85)
Проверка:
∑
y = 0y1 + Ry2 - Fr = 0 (86)
,7
+915,3 -4379 =0.
Строим
эпюру изгибающих моментов относительно оси x.
x1 = 0x2 = Ry1* 
= 637,7* 
= 59,9 Н*м; (87)x2 = Ry2*

= 915,3* 
= 86 Н*м; (88)x3 = 0;x4
= 0.
.
Горизонтальная плоскость.
Определяем
опорные реакции, Н:
∑
My1 = 0x2 = 
= 
= -3611; (89)
∑
My3 = 0x1 = 
= 
= 4746 Н; (90)
Проверка:
∑
y = 0x1 - Ft + Rx2 +Fm = 0 (91)
-4228-3611+3093
= 0
Строим
эпюру изгибающих моментов относительно оси y.
My1 = 0y2 = -Rx1*

= 4746*
= 446,142 Н*м;
(92)y3 = Fm * Im = 3093*160 = 494,880 Н*м; (93)
My4
= 0.
Определяем
суммарные реакции опор, Н:
1 = 
= 
= 4788,6 Н; (94)2 = 
= 
= 3725,1 Н. (95)
Определяем
суммарные изгибающие моменты в наиболее нагруженных сечениях вала, Н*м:
2 = 
= 
= 454,2 Н*м. (96)
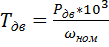
2.8
Проверочные расчеты подшипников и валов
привод двигатель подшипник редуктор
Проверочный
расчет подшипников для быстроходного вала: №46306, где Сr = Н;
.Выбрать
схему установки подшипников:
Рисунок 4. - Схема нагружения подшипников на
быстроходном валу
r1
= 2142,6 Н;= 0,68;
ω1
= 32c-1;r2 = 2927 Н;= 0,87;n = 18000 ч;a1
= 803,32 Н.
.Определение осевых составляющих нагрузок, Н:
Rs1 = e*Rr1 =
0,68*2142 = 1457 Н;
(97)s2 = e*Rr2 = 0,68*2927 =1990 Н;
(98)
где e = 0,68;
.Определение осевых нагрузок подшипников, Н:
a1
= Rs1a1 = 1457 Н; (99)a2 = Ra1 + Fa1
= 1457 +803 = 2260 Н. (100)
.Отношение осевых и радиальных нагрузок:
1. 
= 
= 0,68 = e;= 0,68.
.
= 
= 0,77> e;= 0,68.
По результатам сопоставлений 
и 
выбираем формулы для определения
динамической эквивалентной нагрузки каждого подшипника.
.Эквивалентная динамическая
нагрузка:
e = (XVRr
+ YRa)*kб*kt при 
> e: (101)e2 =
(0,41*1*2927 + 0,87*2260)*1*1,2 = 3799 Н;e = VRr*kб*kт
при 
≤ e: (102)e =
1*2142*1,2*1 =2571 Н;
где kб = 1,2;т
= 1;= 1.
Расчетную динамическую
грузоподъемность и долговечность определяем для большего значения эквивалентной
динамической нагрузки.
. Расчетная динамическая
грузоподъемность, Н:
rp = Re
< Cr
; (103)rp = 3799*
= 26257 Н;
где ω - 32 c-1;

- 18000 часов;- 3;rp <
Cr
< 48100
По условию Crp < Cr
подшипник №46309 пригоден.
.Проверка на долговечность, час:
10h= 

≥ Lh ; (104)10h
= 
= 109000 часов > Lh ;
где ω - 152 с-1;r
- 48100 Н;e - 3799 Н.10h > Lh
> 18000
Условие пригодности L10h
> Lh выполняется.
. Проверочный расчет подшипников на
тихоходном валу.
Проверке подлежит шариковый
радиально-упорный однорядный подшипник средней серии №46313.
r =89 Кн =
89000 Н. (105)
.Сумарные реакции опор:
. Выбираем схему установки подшипников:
Рисунок 5. - Схема нагружения подшипников на
тихоходном валу
2. Суммарные опоры:r1 = 4789 Н;r2
= 3725 Н;
ω2
= 8 c-1;= 0,68;n = 18000 часов;= 0,87.
. Определение осевых составляющих нагрузок, Н:
Rs1 = I*Rr1
=0,68*4789 = 3256 Н;
(106)s2 = I*Rr2 =0,68*3725 =2533 Н;
(107)
где I = 0,68;r1 = 4789 Н;r2
= 3725 Н.
. Определение осевых нагрузок подшипников, Н:
a1
= Rs1a1 = 3256 Н; (108)a2 = Ra1 + Fa1
= 3256 + 803 =4059 Н. (109)
.Отношение осевых и радиальных нагрузок:
1. 
= 
= 0,68 = I;= 0,68.
.
= 
= 1,08 > I;= 0,68.
По результатам сопоставлений 
и 
выбираем формулы для определения
динамической эквивалентной нагрузки каждого подшипника.
.Эквивалентная динамическая
нагрузка:
e = (XVRr
+ YRa)*kб*kt при 
> e:e2 = (0,41*1*3725
+ 0,87*4059)*1*1,2 = 6070 Н;e = VRr*kб*kт
при 
≤ e: (110)e =
1*4789*1,2*1 =5747 Н;
где kб = 1,2;т
= 1;= 1.
Расчетную динамическую
грузоподъемность и долговечность определяем для большего значения эквивалентной
динамической нагрузки.
. Расчетная динамическая
грузоподъемность, Н:
rp = Re
< Cr
; (111)rp = 6070*
= 26428 Н;
где ω - 8 c-1;

- 18000 часов;- 3;rp <
Cr
< 89000
По условию Crp < Cr
подшипник №46313 пригоден.
.Проверка на долговечность, час:
10h= 

≥ Lh ; (112)10h
= 
= 678445 часов > Lh ;
где ω - 8 с-1;r
- 89000 Н;e - 6070 Н.10h > Lh
> 18000
Условие пригодности L10h
> Lh выполняется.
. Прочностной расчет валов.
Проверочный расчет валов на прочность выполняют,
учитывая совместное действие изгиба и кручения. Целью расчета является
определение коэффициентов запаса прочности в наиболее опасном сечении вала и
сравнение его с допускаемым коэффициентом запаса прочности: S < [S], где S -
общий коэффициент запаса прочности в опасном сечении вала; [S] = 1,6…2,1 -
допускаемый коэффициент запаса прочности.
Нормальные напряжения в опасных сечениях вала
изменяются по симметричному циклу и определяются, Н/мм2:
𝜎H2 = 
= 
= 10,7 Н/мм2; (113)
где М - момент изгиба в опасном
сечении вала, Н*м;
WНЕТТО - осевой момент сопротивления
сечения вала, мм3:
Для 3-го сечения
WНЕТТО3 = 0,1d3 = 0,1*653
= 27462,5; (114)
где d = 65 мм.
Нормальные напряжения в 2-м сечении вала, Н/мм2:
𝜎H3 = 
= 
=17,9; (115)
Для 2-го сечения:
НЕТТО2 = 0,1
= 0,1*
= 42157; (116)
где d =75 мм;1 = 7,5.
Касательные напряжения изменяются по отнулевому
циклу:
Касательные напряжения для 2-го сечения, Н/мм2:
τa2 = 
= 
= 3,6 Н/мм2; (117)
где Т - вращающий момент на валу,
Н*м:2 - 612,48 Н*м;rНЕТТО - полярный
момент инерции сопротивления сечения вала, мм3.
Для 3-го сечения:
pНЕТТО3
= 0,2d3 = 0,2*653 = 54925; (118)
где d - 65 мм;
Для 3-го сечения:
WpНЕТТО3 = 0,2d3
- 
= 0,2*753 - 
= 84344; (119)
где b - 20 мм;1 = 7,5.
Касательные напряжения для 3-го сечения, Н/мм2:
τA3 = 
= 
= 3,63 Н/мм2; (120)
где T2 -612,48 Н*м;pНЕТТО3
- 84344.
Наиболее опасным сечение является 2-ое сечение.𝜎
= 2,3;d = 0,76;F = 1,5;y = 1,7;e =
2,15.
Во 3-м сечении нормальные и касательные
напряжения имеют наибольшее значение по сравнению с другими сечениями вала.
Дальнейший расчет ведется только для 3-го сечения вала, которое называется
расчетным.
Коэффициент концентрации нормальных напряжений в
расчетном сечении вала определяется:
(k𝜎)3
= 
*
= 
*
= 7,83; (121)
где kσ
- коэффициент концентрации нормальных напряжений:𝜎
= 2,3;F = 1,5 коэффициент влияния шероховатости;d = 0,76;y
= 1,7;
Коэффициент концентрации касательных напряжений
в расчетном сечении вала определяется:
(kr)3 = 
*
= 
* 
= 1,93; (122)
где kτ
= 2,15 - коэффициент концентрации касательных напряжений;d = 0,76;F
= 1,5.
Пределы выносливости по нормальным напряжениям в
расчетном сечении определяются, Н/мм2:
(𝜎-1)2
= 
= 
= 48,5 Н/мм2; (123)
где 𝜎-1
- 380 Н/мм2 - предел выносливости;
Пределы выносливости по касательным напряжениям
в расчетном сечении определяются, Н/мм2:
(τ-1) 2
= 
= 
= 114,1 Н/мм2; (124)
τ-1
= 0,58*380 = 220,4 Н/мм2;
Коэффициент запаса прочности по нормальным
напряжением:
S𝜎 = 
= 
= 2,7; (125)
где 𝜎-1
-48,5Н/мм2 - предел выносливости;
𝜎H -
17,9 Н/мм2.
Коэффициент запаса прочности по касательным
напряжениям определяем:
Sr = 
= 
= 20,7; (126)
Общий коэффициент запаса прочности в расчетном
сечении определяем:
S = 
= 
= 2,68 > [S] = 1,6…2,6; (127)
Условие S ≥ [S] выполняется.
3.
Технический проект
.1 Конструирование корпуса
редуктора, его узлов и деталей
Корпус редуктора служит для размещения и
координации деталей зубчатых передач, защиты их от загрязнения, организации
системы смазки, а так же восприятия сил, возникающих в зацеплении редукторных
пар и в подшипниках. Материал корпуса серый чугун СЧ-15, способ изготовления -
литье.
Толщина стенки корпуса, мм:
𝜎 = 1,8
= 1,8
9мм;2 = 612,48 Н*м;
Рисунок 6 - Угловая ниша
фундаментного фланца
Параметры боковой и угловой ниш
определяется в зависимости от размеров крепёжного болта или винта.
Конструктивные элементы фундамента
фланца:
Винт M16:1 = 35; b01
= 21;1 = 18; d01 = 18.01 = 26;
Ширина платика определяется:
1
=2,4d1 + δ = 2,4*18 + 9 =
52;
Высота платика определяется:
1
= 1,5d1 = 1,5*18 = 27;
Высота ниши определяется:
01
= 2,5(d1 +δ) = 2,5*(18+9) = 67,5;
где δ = 9 мм.
Фланцевые соединения предназначены для
соединений корпусных деталей редуктора. Проектируем фундаментные, фланцы
подшипниковых бобышек с креплением, фланец для крышки подшипникового узла
быстроходного вала и фланец для крышки смотрового люка.
.Конструирование стяжного фланца.
Стяжной фланец предназначен для соединения
верхней и нижней частей корпуса по линии разъема. Фланец расположен в месте
установки подшипниковых болтов или винтов.
Размеры стяжного фланца выбираются в зависимости
от крепёжной детали.
Винт
M12:2 = 26 мм;2 =13 мм;02 = 20 мм;02
= 14 мм.
Рисунок
7 - Крепление винтами
Высота
стяжного фланца определяется, мм:
По
креплении винтами:
2
= 2,3d2 = 2,3*14 = 32,2 мм.
Фланец для крышки подшипникового узла.
Отверстия подшипниковых узлов быстроходного и
тихоходного валов закрываются врезными крышками.
Для подшипниковых бобышек быстроходного валов,
мм:
нар
= D + 3δ = 140 + 3*9 = 167 мм;
Для подшипниковых бобышек быстроходного валов,
мм:
нар
= D + 3δ = 100 + 3*9 = 127 мм
где D - наружный диаметр подшипника, мм:б/x
= 100 мм;т/х = 140 мм;
δ - 9 мм.
Фланец под штифт:
Рисунок 8 - Штифтовой фланец.
3.2 Выбор смазки редуктора.
Конструирования элементов системы смазки
Для редукторов общего назначения применяют
смазывание жидким маслом картерным способом (окунанием). Сорт масла зависит от
расчетного контактного напряжения зубьев колеса и фактической окружной скорости
колеса.
Для смазывания зубчатой передачи выбираем масло:
И-Г-А-68 ГОСТ 174794-87. Т.к 𝜎H
= 488 Н/мм2, υ = 2,7 м/c.
Уровень масла при нижнем расположении шестерни
должен проходить через центр нижнего тела качения в подшипнике на быстроходном
валу. Следовательно, уровень масла требуется определить конструктивно. Для
смазывания зубьев шестерни на быстроходный вал установлены разбрызгиватели.
Контроль уровня масла осуществляется с помощью
круглого маслоуказателя. Для слива отработанного масла в нижней части корпуса
предусмотрено сливное отверстие, герметично закрытое пробкой.
Определение уровня масла:
В цилиндрических редукторах при окунании в
масленую ванну колеса уровень масла определяется:mmin=m = 2;
где m - 2 мм.
mmax=0,25d2=0,25*289,7
= 72,4 мм;
где d2 = 168 мм.
Для смазывания подшипников применяем пластичную
смазку солидол жировой ГОСТ 1033-79.
Литература
1. Единая
система конструкторской документации ГОСТ 2.105 - 95, ГОСТ 2.301- М.:
Просвещение, 1995. - 282с.: ил.
2. Курмаз
Л.В., Скойбеда А.Т. Детали машин. Проектирование: Справочное
учебно-методическое пособие.- М.: Высш. шк., 2004.-309с.: ил.
. Методические
рекомендации и курсовой проект по дисциплине «Детали машин» для студентов III
курса. Составитель: Забродина С.В. - Ч., 2003.- 111с.
. Оформление
пояснительной записки курсовых и дипломных проектов в соответствии с
требованиями ГОСТ 2.105-95, методические указания, составители: Диванова О.П.,
Колмакова Л.А. - Череповец 2002
. Чекмарев
А.А. Справочник по машиностроительному черчению.-2-е изд., перераб. М.: Высшая
школа; Изд. Центр «Академия», 2002.-493 с.: ил.
. Фролов
М.И. Техническая механика. Детали машин. - М.: Высшая школа.
. Шейнблинт
А.Е. Курсовое проектирование деталей машин: Учебное пособие. - Изд. 2-е,
перераб. и доп.- Калининград: «Янтарный сказ», 2003. - 454с.: ил., черт. - Б.ц.