Исследование химического реактора как объекта управления
Курсовая работа
по дисциплине «Технологические
процессы и производства»
Тема работы: «Исследование
химического реактора как объекта управления»
Содержание
Введение
. Моделирование объекта управления
. Характеристика объекта управления
. Разработка математической модели аппарата
Заключение
Список
используемой литературы
Введение
Конечной
целью любого производства является получение полез продуктов путем переработки
исходного сырья наиболее эффективным способом, Чтобы тех процесс функционировал
эффективно необходимо, контроль его состояния и формирование управления
воздействий при отклонении тех параметров от заданных оптимальных значениях.
Эту задачу решаем автоматизированной система управления технологическим
процессом. Необходимой составной частью разработки АСУТП является разработка -
синтез, системы автоматического управления, технологическим объектом.
Разработка автоматической СУ предполагает знание закономерностей работы
объекта, его динамических свойств и характеристик. Анализ технологического
процесса, как объекта управления, производиться с целью получения статических и
динамических характеристик по различным каналам. Динамические свойства и
характеристики объекта, описываются математическими моделями. Модель, может
разрабатываться аналитическим способом, или путем экспериментального
исследования существующего объекта. Таким образом, синтез СУ технологическим
процессом предполагает, разработку математической модели объекта. Исходя из
выше изложенного целью курсовой работы, является разработка концептуальной
модели и математической модели, типового технологического процесса.
1.
Моделирование объекта управления
химический ректор
математический модель
Объект моделирования - химический реактор емкостного типа, снабженный
механической мешалкой и рубашкой, в которую подается теплоноситель, или
хладагент (рис. 1). В качестве теплоносителя используется подогретая вода или
насыщенный пар. В последнем случае пар подается в верхнюю часть рубашки, а
конденсат отводится снизу.
В аппарате производится сложная экзо- или эндотермическая реакция Реагент
или несколько компонентов реакции подаются в аппарат потоком - ϑ1.Второй
входной поток с расходом - ϑ2, служит для разбавления смеси до необходимой
концентрации Наличие рубашки учитывается только при политропическом режиме
функционирования аппарата.
Рис. 1 Принципиальная схема объекта моделирования
Допускается в качестве объекта моделирования использовать любой другой
химико-технологический процесс или объект другой природы по согласованию с
руководителем.
2.
Характеристика объекта управления
В данном разделе приводится принципиальная схема реактора,
стехиометрические уравнения реакции, тип реакции, дается краткое описание
работы реактора с характеристикой гидродинамического и теплового режимов,
производится анализ и характеристика реактора как объекта автоматизации и
управления, производится классификация переменных; приводятся исходные данные
для моделирования в соответствии с вариантом задания
В реакторе с рубашкой, снабженном механической мешалкой проводиться
бимолекулярная изотермическая реакция:
Исходный реагент с концентрацией САвх подается в потоке ϑ1. Поток ϑ2
служит для разбавления реакционной смеси. Смесь из реактора забирается насосом,
величина потока может регулироваться клапаном. В рубашку аппарата поступает
хладагент. Благодаря интенсивному перемешиванию структура потоков в реакторе
может быть описана моделью идеального смешения. Аппарат работает в
политропическом режиме.
Выходные переменные объекта:
объем (уровень) реакционной смеси - Vp; концентрации компонентов в выходном потоке - СА, Св; температура смеси
в аппарате - t; температура хладагента в рубашке - txл
Входные переменные объекта:
расходы потоков на входе и выходе из аппарата - ϑ1, ϑ2, ϑ;
концентрация вещества А во входном потоке - САвх; температуры входных потоков -
t1,t2,tXл вх расход
хладоагента на входе в рубашку - ϑхл.
С учетом режима функционирования (политропический) и того факта,что
целевым является компонент В, можно выделить регулируемые переменные: уровень
(объем) в аппарате - Vp,
температура смеси - t и концентрация -
Св. В качестве регулирующих воздействий предлагается использовать
соответственно: расход смеси на выходе из реактора - и или
расход -ϑ2, расход хладоагента - ϑхл. расход потока - ϑ1 или
расход разбавителя - ϑ2 В качестве возмущений могут выступать все
оставшиеся входные переменные. Выбор регулирующего воздействия по каналу
регулирования концентрации и уровня зависит от способа включения реактора в
технологическую схему и требований предыдущей и последующей стадий Если
предшествующая стадия подготовки раствора исходного реагента предполагает
постоянство расхода и*, то необходимо рассматривать регулирующие каналы:
Δϑ1 -> ΔСВ, Δϑ -> ΔVр
Если последующая стадия предполагает постоянство нагрузки ϑ=const, то необходимо
рассматриватьдинамические каналы:
Δϑ1 -> ΔСВ, Δϑ2 -> ΔVр
В обоих случаях предполагается наличие требований: Св=Св зад, t=tзад. Если реактор должен рабоатать при условии: ϑ1=const и ϑ=const, то регулироваться может
только Свх или t, путем изменения
подачи хладоагента - ϑхл.
Тепловой эффект реакции ΔН определен на модель превращенного
реагента.
Таблица 1 исходные данные для моделирования объекта
|
Номер
|
Наименование
|
Единицы измерения
|
Численные значения
|
Обозначения
|
|
1
|
2
|
3
|
4
|
5
|
|
1
|
Объем аппарата
|
л
|
500
|
Vр
|
|
2
|
Объем рубашки
|
л
|
200
|
Vкл
|
|
3
|
Теплоемкость вещества в
аппарате и входных потоках
|
кДж/кг *К
|
4 19
|
Ср
|
|
4
|
Теплоемкость хладоагснта
|
кДж/кг*К
|
4.19
|
Ср хл
|
|
5
|
Плотность вещества в аппарате
и входных потоках
|
кг/л
|
1.2
|
ρ
|
|
|
|
|
|
|
6
|
Плотность хладоагента
|
кг/л
|
0.978
|
ρхл
|
|
7
|
Коэффициент теплопередачи
|
кДж/м2-*мин*К
|
Кт
|
|
8
|
Поверхность теплообмена
|
м2
|
2.3
|
F1
|
|
9
|
Тепловой эффект реакции
|
кДж/моль
|
1000
|
ΔН
|
|
10
|
Предэкспонсициальный
множитель константы скорости
|
л*мнн/моль
|
200
|
К0
|
|
11
|
Энергия активации
|
Д ж/моль
|
25000
|
Е
|
|
12
|
Концентрация компонента А
на входе
|
моль/л
|
1
|
САвх
|
|
13
|
Концентрация компонента В
на входе
|
моль/л
|
0
|
СВ вх
|
|
14
|
Расход на входе я реактор U|
|
л/мин
|
0.75
|
ϑ1
|
|
IS
|
Расход ня входе в реактор
иг
|
л/мин
|
0.25
|
ϑ2
|
|
16
|
Расход хладоагснта
|
л/мин
|
5
|
ϑхл
|
|
17
|
Температура ня нходе я
реактор t1
|
•с
|
30
|
t1
|
|
18
|
Температуря на входе в
реактор t2
|
•с
|
40
|
t2
|
|
19
|
Температура хладоагента на
входе
|
•с
|
30
|
tXл вх
|
3. Разработка математической модели аппарата
Допущения:
) структура потоков описывается моделью идеального перемешивания;
) теплопотери в окружающую среду отсутствуют, теплофизические
свойства жидкостей не зависят от температуры и концентрации компонентов;
) теплоемкостью стенок пренебрегаем;
) транспортным запаздыванием при изменении входных переменных
пренебрегаем;
) расход хладоагента на входе и выходе одинаков; объем хладоагента
в рубашке постоянен и Vхл=const
Стехиометрический анализ реакции элементарен, ключевым компонентом
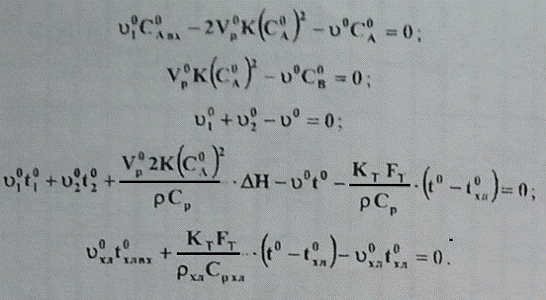
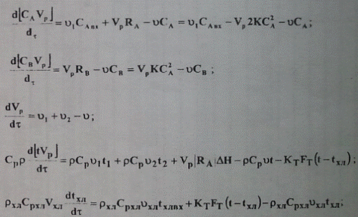
считаем вещество А. Скорость реакции по компонентам запишется:

(1)
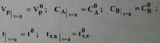
Начальные условия:
( 2)
Система (1) - это система обыкновенных нелинейных дифференциальных
уравнений. Для решения ее необходимо использовал, какой-либо численный метод,
например, метод Рунге-Кугга, метод Эйлера и т.д.
Модель статики записывается тривиально, путем приравнивания производных
нулю, а все входные и выходные переменные, присутствующие в правых частях (1),
помечаются индексом «0»:
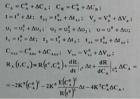
Синтез формализованной модели объекта
Формализованной моделью будем считать модель объекта, полученную путем
линеаризации исходной системы (1) в окрестности рабочей точки статической
характеристики. Линеаризацию проводим путем разложения всех функций и
переменных, входящих в (1) в ряд Тейлора. При этом будем пренебрегать членами
второго порядка малости. Текущие значения переменных выражаются следующим
образом:
Где t0 - значение температуры, К.
Подставив выписанные выражения в систему (1) и вычитая затем из
полученных уравнений соответствующие уравнения статики, будем иметь
линеаризованную модель объекта.
Обозначим:
Выражения для расчета параметров системы (2) через значения переменных в
статике, размерность величин и их численные значения приведены в таблице 2.
Таблица 2 размерность величин и их численные значения
|
Номер
|
Расчетные формулы
|
Численные значения
|
Размерность
|
|
1
|
|
59,24
|
мин
|
|
2
|
|
500
|
мин
|
|
3
|
|
14,34
|
мин
|
|
4
|
|
3,6
|
мин
|
|
5
|
|
0,088
|
безразм.
|
|
6
|
|
0,099
|
Моль* мин /л
|
|
7
|
|
0,00187
|
моль/л*К
|
|
8
|
|
0,0188
|
моль*мнн/ л2
|
|
9
|
|
1,4*10-4
|
моль/л2
|
|
10
|
|
0,295
|
моль*мин/л2
|
|
11
|
|
0,295
|
моль*мин/л2
|
|
12
|
|
0,0079
|
моль/л*К
|
|
13
|

|
безразм.
|
|
14
|
|
0,58*10-3
|
моль/л2
|
|
15
|
|
0,215
|
безразм.
|
|
16
|
|
7,173*10-3
|
безразм.
|
|
17
|
|
- 0,829
|
К*мин/л
|
|
18
|
|
-0,544
|
К*мин/л
|
|
19
|
|
96,7
|
К*л/моль
|
|
20
|
|
0,0153
|
К/л
|
|
21
|
|
1,18
|
безразм.
|
|
22
|
|
0,09
|
безразм.
|
|
23
|
|
0,4748
|
К*мин/л
|
|
24
|
|
0,909
|
безразм.
|
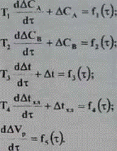
Для целей упрощения задачи построения структурной схемы объекта обозначим
правые части в уравнениях системы (2): f,(x), f:(т), Г3(т), f4(t), Тогда (2)
перепишется в виде:
(3)
Преобразовав (3) по Лапласу, получим выражения для передаточных функций:
(4)
где р - комплексная переменная, знак «А» обозначает преобразование
Лапласа.
Далее преобразуются по Лапласу функции Г,(т), представляющие собой
линейные комбинации входных переменных с коэффициентами К,.
Преобразование по Лапласу ft(r) при нулевых начальных условиях
имеет вид:
(5)
Например:
Уравнение (5) - это уравнение сумматора. Аналогично преобразуются и
другие функции - fi (r)
С учетом сказанного структурная схема объекта имеет следующий вид:
Заключение
При выполнении данной курсовой работы нами исследован химический реактор,
работающий в политропическом режиме, построена математическая модель и
структурная схема объекта регулирования.
Список используемой литературы
1. Моделирование
объектов и систем управления на ЭВМ: Метод. Указания к выполнению курсовой
работы / Сост. А. Н. Лабутин; Иван. гос. хим.-технол. Ун-т. Иваново, 2010.-56 с.
2. Липин
А. Г. Математическое моделирование химико-технологических процессов: Учеб.
пособие / Иван. гос. хим.-технол. ун-т. Иваново, 2012. - 72 с.
. Теория
автоматического управления. Ч.1. Линейные системы автоматического управления:
Учеб. Пособие/ Иван. гос. хим.-технол. ун-т. Иваново, 2009. - 79 с.