Схемные функции и частотные характеристики линейных электрических цепей
Федеральное
Агентство по образованию Российской Федерации
ТОМСКИЙ
ГОСУДАРСТВЕННЫЙ УНИВЕРСИТЕТ СИСТЕМ УПРАВЛЕНИЯ И РАДИОЭЛЕКТРОНИКИ (ТУСУР)
Кафедра
теоретических основ радиотехники (ТОР)
Пояснительная
записка к курсовой работе по дисциплине
«Основы
теории цепей»
Схемные
функции и частотные характеристики линейных электрических цепей
Задание
Получить и исследовать входные и
передаточные операторные функции.
Рассчитать частотные характеристики
(ЧХ) по выражениям АЧХ и ФЧХ, на основе карты нулей и полюсов и с
использованием автоматизированных методов анализа цепей.
Содержание расчетной части
пояснительной записки:
Исследование нагрузки:
предполагаемый характер АЧХ и ФЧХ
входной и передаточной функций на основе схемы;
вывод операторных выражений входной
и передаточной функций и их проверка по размерности, соответствия модели на
крайних частотах диапазона, порядку полиномов и условиям физической
реализуемости;
нормировка операторных функций;
предполагаемый характер частотных
характеристик (ЧХ) на основе карты нулей и полюсов и вычисление значений ЧХ в
характерных точках
расчет резонансных частот и
резонансных сопротивлений;
определение полосы пропускания цепи;
Исследование транзистора с
обобщенной нагрузкой:
вывод операторных выражений входной
и передаточной функций на основе метода узловых потенциалов, проверка
полученных выражений всеми возможными способами;
нормировка операторных функций.
Исследование транзистора с
избирательной нагрузкой:
предполагаемый характер ЧХ полной
модели и определение ряда численных значений ЧХ в характерных точках (ω=0, ω=ωр. и
т.д.);
получение нормированных выражений
входной и передаточной функций и их проверка всеми способами;
предполагаемый характер ЧХ на основе
карты нулей и полюсов и вычисление значений ЧХ в характерных точках.
получение выражений АЧХ и ФЧХ обеих
функций на основе нормированных выражений и расчет по ним значений ЧХ в
характерных точках
оценка устойчивости и
фазоминимальности цепи по карте нулей и полюсов;
получение АЧХ и ФЧХ входной и
передаточной функций на основе автоматизированного расчета цепи и построение
частотных характеристик (с указанием на них ранее вычислительных значений);
представление входного сопротивления
полной цепи последовательной и параллельной моделями на одной из частот заданного
диапазона (ω¹0 и ω¹ωр).
Перечень графического материала:
схемы нагрузки, транзистора с
обобщенной нагрузкой, полной цепи;
эквивалентные модели на крайних
частотах;
карты нулей и полюсов;
частотные характеристики.
. Дата выдачи задания
__________________________________
Срок сдачи законченной работы
________________________
Руководитель _____
____________________________________
подпись Ф.И.О.
Задание принял к исполнению
_________________________________
дата и подпись студента
Оглавление
. Введение
. Исходные данные
.1 Схема и параметры нагрузки
.2 Схема и параметры транзистора
. Исследование нагрузки
.1 Предполагаемый характер частотных характеристик (ЧХ) на основе
анализа схемы
.2 Вывод операторного выражения входной и передаточной функций и
их проверка
.2.1 Вывод операторного выражения
.2.2 Проверка по размерности
.2.3 Проверка по соответствию модели на крайних частотах
.2.4 Проверка функций по порядку полиномов
.3 Нормировка функций
.4 Предполагаемый вид частотных характеристик для нагрузки на
основе карты нулей и полюсов и вычисление значений частотных характеристик
.5 Расчет резонансных частот и резонансных сопротивлений
.6 Определение полосы пропускания цепи
. Исследование транзистора с обобщенной нагрузкой
.1 Вывод операторных выражений входной и передаточной функции на
основе МУП и их проверка
.2 Нормировка операторных функций
. Исследование транзистора с избирательной нагрузкой
.1 Определение ЧХ полной модели
.2. Проверка выражений входной и передаточной функций по соответствию
модели на крайних частотах
.3 Проверка выражений входной и передаточной функций по порядку
полиномов
.4 Предполагаемые характеры ЧХ на основе карты нулей и полюсов и
вычисления значений ЧХ при некоторых ω
5.4.1 Предполагаемый характер ЧХ для входной функции полной цепи
.4.2 Предполагаемый характер ЧХ для передаточной функции полной
цепи.
.5 Автоматизированный расчет ЧХ
.6 Представление входного сопротивления полной цепи
последовательной и параллельной моделями на Н=1,4
Заключение
Список использованной литературы
1. Введение
Схемные функции бывают входные и
передаточные. Входными называются схемные функции, у которых воздействие и
отклик принадлежит одной паре полюсов. Такими схемными функциями могут быть
входное сопротивление или проводимость. Передаточными называют такие функции, у
которых отклик и воздействие принадлежат разным парам полюсов. Такими функциями
могут быть передаточные сопротивления (проводимости), коэффициенты передачи по
току и напряжению. Для двухполюсника существует только входная функция.
Комплексная функция цепи
используется обычно для определения АЧХ и ФЧХ цепи, так как она несет
информацию как об амплитудных, так и о фазовых соотношениях отклика и
воздействия. Любая комплексная функция цепи может быть представлена в виде двух
характеристик: амплитудно-частототной (АЧХ) и фазо-частотной (ФЧХ).
АЧХ показывает закон изменения
амплитуды отклика от частоты гармонического воздействия с неизменной
амплитудой; АЧХ определяется как модуль комплексной функции цепи. ФЧХ
показывает, как меняется фаза сигнала отклика относительно фазы сигнала
воздействия при изменении частоты воздействия; ФЧХ определяется как аргумент
КФЦ.
Общая методика получения выражения
для частотных характеристики цепи состоит в следующем: получают выражение
интересующей комплексная функция цепи, находят выражения АЧХ как модуль
комплексной функции цепи, находят выражения ФЧХ как аргумент комплексной
функции цепи.
Карту нулей и полюсов операторной
функции цепи используют для определения класса цепи (устойчивая, неустойчивая),
физической реализуемости, фазонеминимальности. По карте нулей и полюсов можно
также определить АЧХ и ФЧХ цепи.
Для упрощения математических
расчетов в данной работе была использована программа MathCad.
2. Исходные данные
линейный цепь нагрузка транзистор
Шифр задания: Сх 5.Т9.ОЭ.М2
Дополнительные данные к заданию: ρ= 200 Ом; m = 0,6; N=0,6; ωНmax=1.4.
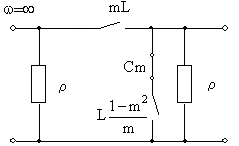
.1 Схема и параметры нагрузки
Схема нагрузки представлена на рис.
2.1.
Рис. 2.1 Схема нагрузки
№5 (Вариант 23)
Ненормированные
параметры нагрузки:
) ρ=
200 Ом
) ωСР
= 2 π fCР
где частота среза
,
-
граничная частота биполярного транзистора
в схеме с общим
эмиттером (ОЭ)
Из таблицы 2.3
транзистора Т9:
тогда
3)
Нормированные параметры
элементов нагрузки:
Полученные параметры
нагрузки представлены в таблице 2.1.
Таблица 2.1 - Параметры
элементов нагрузки
|
Параметры
|
L
|
С
|
ρ
|
ωСР
|
|
Ненормированные
|
7.0736E-6 Гн
|
1.7684E-10 Ф
|
200 Ом
|
2.827E+7 1/c
|
|
Нормированные
|
1
|
1
|
1
|
|
.2 Схема и параметры транзистора
Модель биполярного транзистора М2 с
общим эмиттером представлена на рис 2.2:
Рис. 2.2 Модель биполярного
транзистора М2, включенного по схеме с общим эмиттером
Пронормируем параметры транзистора:
Полученные параметры
транзистора представлены в таблице 2.2.
Таблица 2.2 - Параметры
транзистора
|
Параметры
|
Rэ
|
Rб
|
Сэ
|
S
|
fβ, МГц
|
|
Ненормированные
|
27 (Ом)
|
175 (Ом)
|
19,6 (пФ)
|
36.1 (мА/В)
|
7.5
|
|
Нормированные
|
0,135
|
0,875
|
0,1108
|
7.22
|
|
3. Исследование нагрузки
.1 Предполагаемый характер частотных
характеристик (ЧХ) на основе анализа схемы
Рис. 3.1.1 - Схема нагрузки для
определения характера входной функции
График Xвх(ω) и | Xвх(ω) | для РД (т. е. без ρ) изображен на рис.
3.1.2 а, б
Рис. 3.1.2, а - Предполагаемый характер
входной функции для РД
Рис. 3.1.2, б - Предполагаемый
характер входной функции для РД
Учет влияния сопротивлений на Z(0) и
Z(¥) на основе
эквивалентных схем для w = 0 и w = ¥
показан на следующих рисунках
Рис. 3.1.3 - Эквивалентная схема
нагрузки при ω=0
Рис. 3.1.4 - Эквивалентная схема
нагрузки при ω→∞
В результате
проделанного анализа можно утверждать, что АЧХ входного сопротивления имеет
вид, показанный на рисунке 3.1.5
Рис. 3.1.5 - АЧХ
входного сопротивления
В соответствии с
диаграммой X(w) на рисунке 3.1.2, а ФЧХ реактивного двухполюсника имеет вид,
показанный на рисунке 3.1.6
Рис. 3.1.6 -
Предполагаемый характер ФЧХ входной функции для РД
Учет влияния
сопротивлений для φZ(0) и φZ(¥)
Учитывая ёмкостной
характер цепи при ω < ωP, и индуктивный при ω
> ωP, ФЧХ входной функции для исследуемой нагрузки представлена на рис.
3.1.7
Рис. 3.1.7 -
Предполагаемый характер ФЧХ входной функции для нагрузки
АЧХ передаточной функции
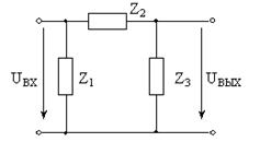
для схемы нагрузки определим на основе рассмотрения П-образной модели
Рисунок. 3.1.8 - П -
образная схема замещения
Для нахождения
коэффициента передачи достаточно рассмотреть часть схемы на рисунке 3.1.8,
соответствующую сопротивлениям Z2 и Z3
Рисунок. 3.1.9
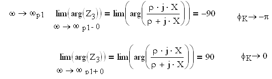
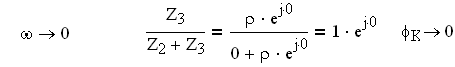
На рисунке 3.1.9, а
изображена рабочая часть заданной схемы, а на рисунках 3.1.9 б, в и г -
эквивалентные модели на крайних частотах и на частоте резонанса колебательного
контура ωр1.
АЧХ коэффициента передачи
имеет вид, показанный на рисунке 3.1.10
Рисунок 3.1.10 - АЧХ
коэффициента передачи цепи нагрузки
ФЧХ коэффициента
передачи
Рисунок 3.1.11 - ФЧХ
коэффициента передачи цепи нагрузки
.2 Вывод операторного
выражения входной и передаточной функций и их проверка
.2.1 Вывод операторного
выражения
а) входная функция
Рисунок 3.2.1 -
Операторная схема замещения цепи нагрузки
Получение операторной
функции аналогично получению функции в комплексной форме, при этом jw
заменяется на p.
Исходя из схемы рис. 3.2.1
получим выражение входной функции:
б) передаточная функция
.2.2 Проверка по
размерности
Известно, что входное
сопротивление должно иметь размерность
. Определим размерность
найденного выражения входной функции нагрузки, учитывая, что произведение
имеет
размерность
,
а произведение
и
R - размерность
.
Проверка по размерности
подтвердила правильность нахождения входной и передаточной функций.
.2.3 Проверка по
соответствию модели на крайних частотах
Найдем значения Zн(p) на
крайних частотах диапазона (на нулевой частоте и на частоте, стремящийся к
бесконечности), используя полученное выражение схемной функции.
а) входная функция
б) передаточная функция
Полученные значения
входного сопротивления нагрузки и передаточной функции на крайних частотах
совпали со значениями полученными на основе схемы и со значениями полученными в
пункте 3.1 при определении предполагаемого характера АЧХ входной функции
нагрузки.
.2.4 Проверка функций по
порядку полиномов
Максимальная степень
полинома числителя и знаменателя входной функции равны порядку цепи
(определяется выражением
,
где
-
число реактивных элементов,
- число индуктивных
сечений в РД,
-
число емкостных контуров в РД) с учетом того, что при определении максимальной
степени числителя к цепи подключается источник ЭДС, а при определении
максимальной степени полинома знаменателя - источник тока.
Из схемы цепи нагрузки
видно, что число независимых реактивностей равно 3 и в схеме нет ни индуктивных
сечений, ни емкостных контуров. Из этого следует, что максимальные порядки
полиномов числителя и знаменателя в выражении Zн(p) равны 3.
.3 Нормировка функций
Если в найденные
выражения входной функции подставить не нормированные значения параметров L, C,
R, S (обычно в радиотехнических цепях порядок этих величин соответственно
,
,
,
),
то числовые коэффициенты при
будут различаться на
много порядков и тем сильнее, чем больше разница между максимальной и
минимальной степенью в полиноме. При этом вычисления существенно затруднены.
Использование нормировки снимает эту проблему. Кроме того, нормировка приводит
к выявлению общих свойств, присущих данной схеме: если сохранить соотношение
параметров L, C, R и частоты неизменным, то схемная функция не изменится при
любых значениях перечисленных параметров.
Нормировка функций производится
путем подстановки в выражения этих функций вместо L, C, R, g, S их численных
нормированных значений.
Для входной функции,
получим:
Где переход от
нормированной функции к истиной осуществляется как
Аналогично для
передаточной функции:
где
.4 Предполагаемый вид
частотных характеристик для нагрузки на основе карты нулей и полюсов и
вычисление значений частотных характеристик
Определим качественный
характер АЧХ входной функции нагрузки по карте нулей и полюсов. Для этого
представим, что частота ωH на ПНИ изменяется по мнимой оси. Анализ показывает, что |Zн(wр)|=
min, так как модуль Н3 принимает наименьшее значение. Таким образом, АЧХ
входной функции нагрузки на основе анализа ПНИ имеет вид на рисунке 3.4.1, б.
ФЧХ входной функции на
основе анализа ПНИ имеют вид 3.4.3.
Рисунок 3.4.1, в - ФЧХ
входной функции нагрузки на основе анализа ПНИ
Полученные графики
сошлись с графиками из пункта 3.1.
.4.2 Передаточная
функция
Нули и полюсы:
Масштабный коэффициент
K0=5/3;
Карта нулей и полюсов
входной функции имеет вид (рисунок 3.4.2, а).
Рисунок 3.4.2, а - ПНИ
передаточной функции нагрузки при ωНmax=1,4
Цепь является
устойчивой, если нули и полюсы входной функции и полюсы передаточной функции
находятся в левой полуплоскости, т.е. являются полиномами Гурвица. Необходимые
условия:
) знаки всех слагаемых
должны быть одинаковы;
) наличие всех степеней.
Для нашей входной функции
эти условия выполнены.
) на частоте ωH
®
¥
Для этого используем ту
же карту нулей и полюсов (рисунок 3.4.1, б), но все векторы от нулей и полюсов
направим вверх, в бесконечность, параллельно мнимой оси координат, видно, что
все модули равны бесконечности, а аргументы 900.
При этом АЧХ стремится к
нулю, так как степень знаменателя выше.
Определим качественный
характер АЧХ и ФЧХ передаточной функции нагрузки по карте нулей и полюсов.
Анализ показывает, что |K(10/8)| = |K(1.25)|= 0, так как модуль Н1 принимает
наименьшее значение. Таким образом, АЧХ входной функции нагрузки на основе
анализа ПНИ имеет вид на рисунке 3.4.2, б.
Рисунок 3.4.2, б - АЧХ
передаточной функции нагрузки на основе анализа ПНИ
Рисунок 3.4.2, в - ФЧХ
передаточной функции нагрузки на основе анализа ПНИ
3.5 Расчет резонансных
частот и резонансных сопротивлений
Заменив в выражении для
входной функции p на jw, получим:
На частоте резонанса
входное сопротивление является чисто активным, то есть его аргумент равен 0.
Значит:
Следовательно:
Откуда:
Из этих двух частот
практическое значение имеет вторая, это частота последовательного резонанса.
При последовательном
резонансе резонансное сопротивление равно:
Полученное резонансное
сопротивление является нормированным, рассчитаем ненормированное значение:р=
RрН×r=0,36×200=72
Ом
ненормированное значение
частоты:
.6 Определение полосы
пропускания цепи
Полосой пропускания цепи
(ППЦ) называют непрерывную область частот, в пределах которой значения АЧХ
отличаются от своего максимального значения не более чем в
раз
или на 3 дБ.
Так как нагрузка
является четырехполюсником, ППЦ определяется по нормированной передаточной
функции:
Заменив в выражении для
передаточной функции p на jw, получим:
) Определяем модуль:
)
Приравняв нулю, получим
и
Походит третье решение:
Ненормированное
значение:
Четвёртое решение не
подходит, так как
< 1.667
определяем нормированные
граничные частоты:

Откуда
Ненормированные значения
граничных частот:
) Полоса пропускания в
нормированных значениях:
(ПП показана на рисунке
3.6.1)
В ненормированных
значениях:
Рисунок 3.6.1 - АЧХ
нагрузки
4. Исследование
транзистора с обобщенной нагрузкой
.1 Вывод операторных
выражений входной и передаточной функции на основе МУП и их проверка
Для вывода схемных
функций подключим на вход транзистора пробный источник тока, а к выходу
нагрузку (рис. 4.1)
Рис. 4.1.1 Модель
транзистора с обобщенной нагрузкой
Составим матрицу
проводимостей по методу узловых потенциалов (МУП):
Проверим размерности
Схема при постоянном
токе изображена на рис. 4.1.2
Рис. 4.1.2 Модель
транзистора с обобщенной нагрузкой при ω=0
Схема при ω=∞
представлена на рис. 4.1.3
Рис. 4.1.3 Модель
транзистора с обобщенной нагрузкой при ω=∞
.2 Нормировка
операторных функций
Рассчитаем нормированную
входную функцию:
Рассчитаем нормированную
передаточную функцию:
5. Исследование
транзистора с избирательной нагрузкой
.1 Определение ЧХ полной
модели
Модель цепи для
исследования транзистора (включенного с общим эмиттером) с избирательной
нагрузкой представлена на рис 5.1.1.
Рис. 5.1.1 - Полная
модель цепи
Так как влияние ZH на
ZВХ отсутствует (в случае модели M2 идеальный источник полностью это
исключает), качественный характер входного сопротивления полной модели можно
определить на основании модели транзистора с обобщенной нагрузкой. То есть АЧХ
и ФЧХ входной функции полной цепи практически совпадает с АЧХ и ФЧХ входной
функции транзистора с обобщенной нагрузкой:
АЧХ входной функции
полной модели цепи изображена на рис. 5.1.2.
Рис. 5.1.2
Предполагаемый характер АЧХ входной функции полной модели
ФЧХ входной функции
полной модели цепи изображена на рис. 5.1.3.
Рис. 5.1.3 Предполагаемый
характер ФЧХ входной функции полной модели
Так как передаточная
функция транзистора с избирательной нагрузкой равна:
,
где
(пункт 4.1)
(пункт
3.3)
(пункт
3.3)
Тогда, нормированная
операторная передаточная функция цепи имеет вид:
(размерность KT и KН
проверена в предыдущих пунктах)после сокращений
заменив p = jω,
получим
АЧХ:
ФЧХ:
Графики:
Рис. 5.1.4 АЧХ
передаточной функции полной модели
Рис. 5.1.5
Предполагаемый характер ФЧХ передаточной функции полной модели
.2 Проверка выражений
входной и передаточной функций по соответствию модели на крайних частотах
Возьмем пределы
найденной входной функции при ω → 0 и ω
→ ∞:
.3 Проверка выражений
входной и передаточной функций по порядку полиномов
Проведем проверку по
максимальным порядкам полиномов (используем тот же метод, что и в пункте
3.2.4):
.
Максимальный порядок
передаточной функции:
.
Максимальные степени
числителя входной и передаточной функций равны соответственно максимальным
степеням знаменателя тех же функций, что не противоречит свойствам операторных
функций.
.4 Предполагаемые
характеры ЧХ на основе карты нулей и полюсов и вычисления значений ЧХ при
некоторых ω
.4.1 Предполагаемый
характер ЧХ для входной функции полной цепи
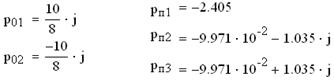
Рассчитаем нули и полюсы
для входной функции полной модели:
Нуль:
Полюс:
Масштабный коэффициент
Карта нулей и полюсов
входной функции представлена на рис. 5.4.1.
Рисунок 5.4.1 - ПНИ
входной функции полной модели для wH=1.4
Цепь является
устойчивой, если нули и полюсы входной функции и полюсы передаточной функции
находятся в левой полуплоскости, т.е. являются полиномами Гурвица. Необходимые
условия:
) знаки всех слагаемых
должны быть одинаковы;
) наличие всех степеней.
Для нашей входной
функции эти условия выполнены.
Определим АЧХ и ФЧХ
входной функции, используя полученную карту и соотношения (по тому же методу,
который использовали в пункте 3.4):
АЧХ:
ФЧХ:
) на частоте w=1:
) при w=
ωнmax=1,4:
Используем ту же карту
нулей и полюсов (рисунок 5.4.1), но все векторы от нулей и полюсов направим в
точку 3 на мнимой оси:
Н=12; П=2,2;
j=0; Q=00;
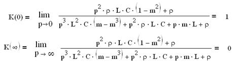
) при w®0:
Для этого используем ту
же карту нулей и полюсов (рисунок 5.4.1), но все векторы от нулей и полюсов
направим в начало координат. Видно, что углы нулей и полюсов равны 0, а модули
равны модулям нулей и полюсов. Значит:
) при w®¥:
Для этого используем ту
же карту нулей и полюсов (рисунок 5.4.1), но все векторы от нулей и полюсов
направим вверх, в бесконечность, параллельно мнимой оси координат, видно, что
все модули равны бесконечности, а аргументы приблизительно 900
Определим качественный
характер АЧХ и ФЧХ входной функции полной цепи по карте нулей и полюсов. Для
этого представим, что частота w на ПНИ изменяется по мнимой оси.
Графики представлены на
рис. 5.4.2 и 5.4.3.
Рисунок 5.4.2 - АЧХ
входной функции для полной цепи на основе ПНИ
Рисунок 5.4.3 - ФЧХ
входной функции для полной цепи на основе ПНИ
.4.2 Предполагаемый
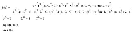
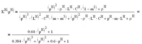
характер ЧХ для передаточной функции полной цепи
Рассчитаем нули и полюсы
для передаточной функции полной модели:
Нули
Полюсы:
Масштабный коэффициент
Карта нулей и полюсов
передаточной функции представлена на рис. 5.4.4.
Рисунок 5.4.4 - ПНИ
передаточной функции полной модели для w=1
Цепь является
устойчивой, если нули и полюсы входной функции и полюсы передаточной функции
находятся в левой полуплоскости, т.е. являются полиномами Гурвица. Необходимые
условия:
) знаки всех слагаемых
должны быть одинаковы;
) наличие всех степеней.
Для нашей входной
функции эти условия выполнены.
Определим АЧХ и ФЧХ
передаточной функции, используя полученную карту и соотношения:
АЧХ:
ФЧХ:
) на частоте w=1:

) при wН
= 1,4 (используя рис. 5.4.4):
) при w®0:
) при w
= wР
= 0.827:
) при w®¥:
Для расчетов используем
ту же карту нулей и полюсов (рисунок 5.4.4), но все векторы от нулей и полюсов
направим вверх, в бесконечность, параллельно мнимой оси координат, видно, что
все модули равны бесконечности, а аргументы 900
АЧХ стремится к нулю,
так как степень знаменателя выше.
Полученные результаты
совпадают с результатами, полученными ранее.
5.5 Автоматизированный
расчет ЧХ
Для расчета использована
программа Electronics Workbench (ver. 5.12).
Модель полной цепи,
собранная в программе Workbench представлена на рис. 5.5.1.
Рисунок 5.5.1 - Модель
полной цепи, собранная в программе Electronics Workbench
Графики АЧХ и ФЧХ
передаточной функции для полной цепи, полученные из данной программы
представлены на рисунке
По показаниям
боде-плоттера получим значения АЧХ и ФЧХ передаточной функции в интервале от 0
до 3ωp
АЧХ и ФЧХ входной
функции
Рисунок 5.5.3- Модель
полной цепи, собранная в программе Electronics Workbench для определения АЧХ и
ФЧХ входной функции
.6 Представление
входного сопротивления полной цепи последовательной и параллельной моделями на w=1,4
Найдем сопротивление
полной цепи на заданной частоте. Для этого подставим во входную функцию цепи
значение w=1,4,
получим:
Последовательная модель:
Параллельная модель:

Заключение
В результате проведенной
работы было проведено исследование транзистора с избирательной нагрузкой. Были
определены АЧХ и ФЧХ входной и передаточной функции полной цепи, АЧХ и ФЧХ
входной функции нагрузки, определены численные значения ЧХ в заданных точках.
Были построены карты нулей и полюсов для входной функции нагрузки, для входной
и передаточной функции полной цепи. Произведен автоматизированный расчет цепи.
Были закреплены навыки
по реализации метода МУП, определению схемных функций цепи, построению карты
нулей и полюсов.
Было установлено, что
определение предполагаемого характера ЧХ непосредственно перед началом расчета
помогает избежать ошибок, предоставляя возможность проверки полученных
выражений. Также оказалось, что предварительный анализ схемы позволяет иногда
упростить ее для определенного диапазона частот и получить довольно точные
значения ЧХ, не прибегая к сложным расчетам.
Список использованной
литературы
1. Мельникова И.В., Тельпуховская Л. И. Основы теории цепей Ч2.
- Томск.: ТМЦДО 2002.
2. Лосев А.К. Теория линейных электрических цепей. - Москва,
Высш. Шк., 1987
. Мельникова И.В., Тельпуховская Л. И. Схемные функции.
Методические указания по выполнению курсовой работы. - Томск.: ТМЦДО 2002.
. Попов. В.П. Основы теории цепей: Учебник для вузов. - 3-е
изд., испр. - М.: Высш. шк., 2000
. Чернышев А.А. Общие требования и правила оформления. -
ТУСУР 2003.