|
Параметры
|
Rз, Ом
|
Cзс, пФ
|
Cзи,пФ
|
Cси,пФ
|
Rс, Ом
|
So,мА/В
|
|
Ненормированные
|
11
|
1,1
|
4,8
|
2,9
|
980
|
12,3*103
|
|
Нормированные
|
0,11
|
0,011
|
0,05
|
0,03
|
9,8
|
1,23
|
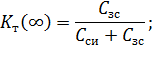
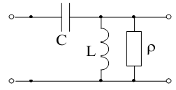
2. Исследование схемы нагрузки
.1 Качественный анализ частотных характеристик
входной функции
Качественный анализ частотных характеристик
будем проводить, отталкиваясь от поведения сопротивления реактивного
двухполюсника.
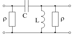
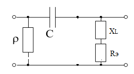
Рисунок 2.1 - Схема заданной нагрузки
щ=0 щ=∞
Рисунок 2.2 - Схемы замещения на крайних
частотах
X(0)= -∞
(разрыв на С);
X(∞)=0
(закорочено на С).
Число независимых реактивностей k=2.
Число возможных резонансов Nр=1.
Рисунок 2.3 - АЧХ и ФЧХ реактивного 4х-полюсника
Учет влияния сопротивлений с на основе
эквивалентных схем для щ=0 и щ=∞ (рисунок 2.4)
щ=0 щ=∞
Рисунок 2.4 - Учет влияния сопротивлений с на
крайних частотах
,
(параллельное соединение 2-х элементов)
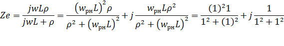
Рассчитаем Rp
и Q через теорию колебательных
контуров [1]. Расчеты производим в нормированном виде:
Рисунок 2.5 - Эквивалентная схема для пересчета L
и с последовательно
В разнормированном виде:
(2.1)
Так как сопротивление с шунтирует выход, то │Zвх│≤
с для любой частоты.
Рисунок 2.6 - Предполагаемый характер АЧХ
входной функции

Плавный характер ФЧХ можно объяснить вносимыми
потерями от активных сопротивлений при смене характера входного сопротивления.
.2 Качественный анализ частотных характеристик
передаточной функции
Схема нагрузки является П-образной, коэффициент
передачи которой не зависит от с. Поэтому для упрощения нахождения АЧХ и ФЧХ
коэффициента передачи можно рассматривать следующую схему:
Рисунок 2.8 - Схема нагрузки без сопротивления
щ=0 , KU(0)
=
0;
щ=∞ , KU(∞)
= с / с =1;
Рисунок 2.9 - Коэффициент передачи на крайних
частотах
При частоте, равной нулю, индуктивность L
закорачивается, а емкость C
запирается. Из рисунка 2.9 наглядно видно, что напряжение на выходе не равно
напряжению на входе, а значит, коэффициент передачи равен нулю.
На бесконечно большой частоте индуктивность L
запирается, чем разрывает цепь, это говорит о том, что напряжение на выходе
равно напряжению на входе, а значит, коэффициент передачи равен единице.
Рисунок 2.10 - Предполагаемый характер АЧХ
передаточной функции
Так как на элементах (L
и С) большое напряжение, но оно в противофазе, суммарное сопротивление равно
нулю. Так как выход снимается с индуктивности, то при щрн ,
коэффициент передачи будет равен добротности .
Что бы найти ФЧХ передаточной функции посторим
векторную диаграмму для эквивалентных схем при щ=0 и щ=∞:

Рисунок 2.11 - Предполагаемый характер ФЧХ
передаточной функции
При резонансе напряжений, выход определяется
индуктивностью, которая дает опережение по фазе + 900
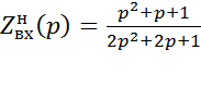
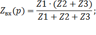
.3 Операторное входное сопротивление
Рисунок 2.12 - Эквивалентная П-образная модель
нагрузки
Где
,
Z2(p)=
;
Проверка по размерности:
Проверка на крайних частотах:
при p=0
Zвх(p)=R;
при p=∞
Zвх(p)=R/2.
Максимальный порядок полиномов функции Zвх(p):
(2.2)
где n, m - максимальные степени в полиномах
числителя и знаменателя соответственно; - число независимых
реактивностей;ЁМ.К - число емкостных контуров;ИНД.С -
число индуктивных сечений.
Числитель дроби определяется при подключении на
вход нагрузки источника напряжения, а знаменатель при подключении источника
тока.
Проведем нормировку функции входного
сопротивления, воспользовавшись таблицей 1.3:
(2.3)
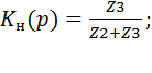
.4 Операторный коэффициент передачи
Рисунок 2.13 - Эквивалентная модель коэффициента
передачи
; (2.4)
Z2(p)=
;
(2.5)
(2.6)
(2.7)
Проверка по размерности:
Проверка на крайних частотах: при p=0
(p)=0,
при p=∞
(p)=1.
Проведем нормировку функции коэффициента
передачи, воспользовавшись таблицей 1.3:
(2.8)
2.5 Нахождение
и
Чтобы найти резонансные частоты, исследуем
входную функцию на экстремумы , для этого возьмем производную от модуля входной
функции :
(2.9)
Вычисляя дифференциал входной функции через
автоматизированную среду Mathcad:
,
После приравниваем числитель к нулю:
0
Получим частоты, которые являются экстремумами:
щр1=0, щр2=1,285, щр3=-1,285, щр4=j0,389,
щр5=- j0,389
Так как нулевая частота является граничной и не
учитывая отрицательную частоту, то резонансной будем считать частоту: щр2=1,285
Определим сопротивление при резонансной частоте,
подставив частоту в выражение
:
=
Ненормированное значение резонансного
сопротивления рассчитаем по формуле:
.
.6 Полоса пропускания цепи
Полоса пропускания цепи - это некоторая полоса
частот, на которых коэффициент передачи отличается от своего максимального
значения не более чем на
Для четырехполюсника, который является фильтром
верхних частот
Рассчитаем добротность, для этого подставим
частоту w=1.285 в модуль
передаточной функции:
Найдем ППЦ, для этого исследуем на экстремумы
выражение:
Решая уравнение, получим:
Полоса пропускания лежит в интервале, учитывая
что фильтр ФВЧ: (0.851;∞)
Рисунок 2.14 - АЧХ и ФЧХ входной и передаточной
функции нагрузки
3. Исследование модели транзистора с обобщенной
нагрузкой
Эквивалентная модель транзистора М4 с обобщенной
нагрузкой Yн
представлена на рисунке 3.1.
Рисунок 3.1 - Эквивалентная модель транзистора с
обобщенной нагрузкой
Выведем операторные выражения входной и
передаточной функции, основываясь на методе узловых потенциалов (МУП). Для того
чтобы воспользоваться МУП подключим на вход пробный источник тока Jпр,
обозначим узлы и пересчитаем сопротивления в проводимости.
Рисунок 3.2 - Модель схемы для МУП
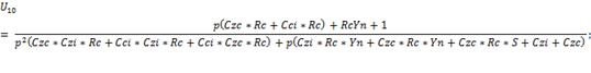
Из рисунка 3.2 видно, что Uвх=U10,
а
Uвых=U20.
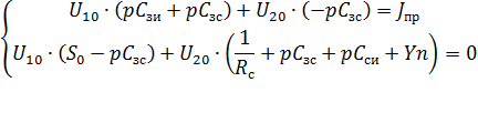
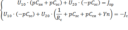
Запишем типовую систему для данной модели схемы:
Выразим зависимый источник тока через узловые
потенциалы.
Jс=S0∙Uз=
S0∙U10
Подставим полученное выражение в систему и
приведем подобные слагаемые по узловым потенциалам.
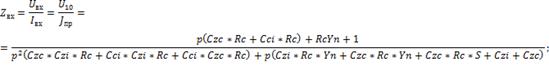
Запишем полученную систему в матричном виде.
По правилу Крамера найдем узловые потенциалы U10
и U30:
Входную и передаточную функцию найдем с помощью
следующих формул:
(3.1)
(3.2)
Таким образом, операторные выражения входной и
передаточной функции на основе МУП имеют следующий вид:
Проверка по размерности:
Проверка на крайних частотах:
Рисунок 4.3 - Эквивалентные модели схемы на
крайних частотах
т.е. в схеме есть инверсии, что совпадает со
схемой.
при p=∞
Проведем нормировку операторных выражений
входной и передаточной функции, используя нормированные параметры из таблицы
1.4:
транзистор частота сопротивление
цепь
4. Исследование модели транзистора с
заданной нагрузкой
На рисунке 4.1 изображена полная модель цепи,
для которой необходимо сделать предположение о характере частотных
характеристик.
Рисунок 4.1 - Полная модель цепи
Частотные характеристики для входного
сопротивления определяются в основном транзистором, потому что нагрузка влияет
слабо или вовсе не влияет.
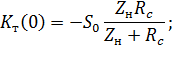
.1 Предполагаемый характер частотных
характеристик передаточной функции полной модели
Выражение для качественной оценки коэффициента
передачи полной модели будет иметь вид:
(4.1)
В нашем случае
,
так как в ТЗ нужно найти коэффициент передачи транзистора, поэтому коэффициент
передачи нагрузки не учитываем.
АЧХ коэффициента передачи полной модели:
При щ=0 K(0)=
S0*Zн(0)=1,23*1=1,23
;
При щр K(щрн)=
S0*Zн(0,707)=1,23*0,417=0,514
При щ=∞ K(∞)=S0*Zн(∞)=1,23*0,5=0,615
Построим графики зависимости крутизны и входного
сопротивления нагрузки от частоты, с помощью этих графиков можно построить
предполагаемый характер АЧХ коэффициента передачи полной модели.
Рисунок 4.2 - а) График крутизны; б) График
входного сопротивления нагрузки; в) Предполагаемый характер АЧХ коэффициента
передачи полной цепи.
ФЧХ коэффициента передачи полной модели:
Так как
в
рабочем диапазоне частот, то

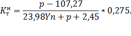
4.2 Расчет АЧХ и ФЧХ передаточной
функции на основе нормированных значений
Определим значение коэффициента передачи на щн=1,2,
используя нормированные выражения.
В выражение
вместо
подставим
и
получим
(4.2)
Определим значение фазы коэффициента передачи
при щн=1,2:
(4.3)
Рисунок 5.4 - АЧХ и ФЧХ передаточной функции
полной цепи
4.3 Расчет АЧХ и ФЧХ входной функции на основе
нормированных выражений
Определим значение входного сопротивления на щн=1,2,
используя нормированные выражения.
(4.4)
Ненормированное значение входного сопротивление
будет равно :
кОм
Вычислим значение фазы входного сопротивления на
щн=1,2 :
(4.5)
Рисунок 4.5 - АЧХ и ФЧХ входной функции полной
цепи
5. Автоматизированный расчет
Автоматизированный расчет проводился в программе
Qucs.
Рисунок 5.1 - Транзистор с заданной нагрузкой
для автоматизированного расчета
Результаты автоматизированного расчета
представлены на рисунках:
Рисунок 5.2 - АЧХ и ФЧХ передаточной функции
полной цепи
Рисунок 5.3 - АЧХ и ФЧХ входной функции полной
цепи
Рисунок 5.4 - АЧХ и ФЧХ передаточной функции
нагрузки
Рисунок 5.5 - АЧХ и ФЧХ входной функции нагрузки
6. Представление входного сопротивления полной
цепи последовательной и параллельной моделями на одной из частот
Цепь любой сложности по отношению к входным
зажимам выступает как двухполюсник с входным сопротивлением
(6.1)
а входная проводимость этого двухполюсника
(6.2)
Выражениям (6.1) и (6.2) соответствуют
последовательная и эквивалентная параллельная модели входного сопротивления.
Рисунок 6.1 - Последовательная модель входного
сопротивления полной цепи.
Рисунок 6.2 - Параллельная модель входного
сопротивления полной цепи.
Заключение
В ходе курсовой работы была исследована схема
нагрузки, модель транзистора с обобщенной и заданной нагрузкой. Для них были
получены предполагаемые характеры частотных характеристик передаточной и
входной функции. Были выведены операторные выражения для входного сопротивления
и коэффициента передачи по схеме и на основе метода узловых потенциалов,
найдены резонансные частоты, сопротивления и полоса пропускания цепи.
Определили АЧХ и ФЧХ передаточной и входной
функции полной цепи на основе нормированных выражений в заданной точке щн=1,2.
Сопротивление полной цепи было представлено в последовательном и параллельном
виде. А также был произведен автоматизированный расчет цепи.
|
Функции
на частоте щн=1,2
|
|
|
|
АЧХ
|
ФЧХ
|
АЧХ
|
ФЧХ
|
|
Нормированные
значения
|
0,492
|
161,052
|
1,246
|
-88,429
|
0,492
|
161
|
1,16
|
-88,4
|
|
АЧХ
передаточной функции полной цепи на резонансных частотах
|
|
|
|
|
Нормированные
значения
|
1,116
|
0,491
|
0
|
|
Автоматизированный
расчет
|
1,12
|
0,491
|
0
|
Список использованной литературы
1. Мельникова И.В. Основы теории цепей.
Схемные функции и частотные характеристики линейных электрических цепей:
Методические указания по выполнению курсовой работы. - Томск: Томский
межвузовский центр дистанционного образования, 2001. -65 с.
2. Мельникова И.В.,
Тельпуховская Л.И. Основы теории цепей. Часть 2: Схемные функции цепей.
Резонансные цепи. Четырехполюсники и LC-фильтры.
Длинные линии: Учебное пособие / Под общей ред. Мельниковой И.В. - Томск:
Томский межвузовский центр дистанционного образования, 2001. - 186с.