Эпюры нормальных и касательных напряжений
Для 5 задач выбираются последние 5 цифр, т.е.
09733.
эпюра балка сечение стержень
Задача 1
Стальной стержень (Е=2·105 МПа) находится под
действием продольной силы Р. Постройте эпюры продольных сил N, напряжений
σ,
перемещений Δ. Проверьте
прочность стержня.
Дано: схема III,F=19 cм2, a=2.7 м,
b=2,3 м, c=1,3 м, P=170 кH
Решение. В заделках возникают реакции RA и RD
(направление произвольное).
Уравнение статики:
Уравнение - одно, неизвестных - два.
Задача один раз статически неопределима.
Надо использовать условие совместности
деформации: перемещение сечения D отсутствует, ΔD=0.
Заменяем заделку реакцией RD.
От действия сил Р стержень удлиняется и сечение
D перемещается вниз ΔPD.
От действия реакции RD стержень сжимается и
сечение D перемещается вверх
.
В действительности сечение D не перемещается
Далее:
Таким образом, раскрыли статическую
неопределимость. Задача стала статически определимой.
Строим эпюру продольных сил N:
=-RD =-60.4 кН (сжатие)=-RD =-60.4 кН
(сжатие)=-RD +P =-60.4+170=109.6 кН (растяжение)
Напряжения σ на
каждом участке равны:
Строим эпюру перемещений:
ΔА=0 (заделка).
Далее:
Задача 5
К стальному валу приложены три известных
момента: М1 М2 М3. Требуется:
) установить, при каком значении момента X угол
поворота правого концевого сечения вала равен нулю;
) для найденного значения X построить эпюру
крутящих моментов;
) при заданном значении [τ]
определить диаметр вала из расчета на прочность и округлить его значение до
ближайшего, равного: 10, 35, 40, 45, 50, 60, 70, 80, 90, 100 мм;
) построить эпюру углов закручивания;
) найти наибольший относительный угол
закручивания (на 1 м).
Дано: схема III,
=1,7 м, b=1,3 м, c=1.3 м,
1700
Н∙м,
1300 Н∙м,
1300
Н∙м,
75МПа,
Решение:
1. Из условия задачи известно
В соответствии с принципом независимости
действия сил имеем:
Вычислим значения крутящихся моментов на
участках вала.
Наибольший крутящий момент:
936,67Н∙м.
2. Определим диаметр вала из условия
прочности.
,
Где
.
Откуда
Принимаем D=40мм.
Крутильная жесткость вала
3. Определяем углы закручивания сечений a,
b, c, d, e рад,
Наибольший относительный угол закручивания на
участке a-b
Задача 7
Для заданного в поперечного сечения, состоящего
из швеллера и равнобокого уголка требуется:
) определить положение центра тяжести;
) найти осевые (экваториальные) и центробежный
моменты инерции относительно случайных осей, проходящих через центр тяжести (zc
и ус);
) определить направление главных центральных
осей (и и υ);
) найти моменты инерции относительно главных
центральных осей
) вычертить сечение в масштабе 1:2 и указать на
нем все размеры в числах и все оси.
Дано: схема III,
Швеллер № 27:
270
мм,
95
мм,
6
мм,
35,2
см2,
=4160 см4,
262
см4, z0I=2,47 см.
Уголок равнополочный №9 (90х90х8)
90 мм,
13.93
см2, 
106,11 см4,
Jx0max = 168 см4, Jy0min = 43.8 см4
62,3
см4, z0=2,51 см.
Решение:
1. Определяем координаты центра тяжести
сечения в системе координат X*OY*
так как
Центр тяжести лежит на прямой С1С2.
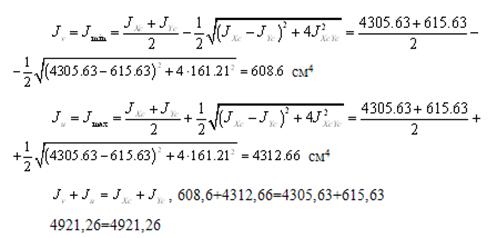
2. Вычисляем Jxc, Jyc Jxcус сечения
где
,
.
Проверка:
3. Определим угол наклона главных
центральных осей
Так как угол отрицательный, ось ХсОУс необходимо
повернуть по часовой стрелки на угол
.
Задача 8
Для заданных двух схем балок требуется написать
выражения Q и М для каждого участка в общем виде, построить эпюры Q и М, найти
Мmax и подобрать: а) для схемы (а) деревянную балку круглого поперечного
сечения при [σ]=8 МПа; (б при [σ]=
180 МПа
Дано: l1=1,3 м, l2=3 м,
,
7 кН∙м,
3 кН,
3
кН/м.
Решение:
1. Определим внутренние усилия
,
с
помощью метода сечений.
Запишем для каждого выделенного участка балки
выражения внутренних усилий и найдем их значения на границах участков.
,
кН,
кН
,
кН∙м,
кН∙м.
2. Второй участок
м.
,
кН,
кН.
,
кН∙м,
кН∙м
3.
м.
кН, поперечная
сила постоянна на все участке.
,
кН∙м.,
кН∙м.
Определим размеры сечения балки из условия
прочности.
Наиболее опасным является сечение
,
в котором изгибающий момент достигает максимального по модулю значения
кН∙м.
Из условия прочности при изгибе
определим
максимальную величину момента сопротивления:
,
м3.
Круглое сечение
.
,
м.
Принимаем
63
cм.
Расчет на прочность двутавровой балки.
Подобрать стальную балку двутаврового
поперечного сечения.
Дано: l1=1,3 м, l2=3 м,
,
7 кН∙м,
3 кН,
3
кН/м.
Решение:
1. Из уравнений статики:
:
,
:
,
Проверка.
.
2. Определим внутренние усилия
,
с
помощью метода сечений.
Запишем для каждого выделенного участка балки
выражения внутренних усилий и найдем их значения на границах участков.
в сечении С
кН,
Mx=0
в сечении A(слева)
кН,
Mx=-1,22кНм
в сечении А(спарва)
кН,
кНм
в сечении D
3.51кН,
Mx=1,94кНм
в сечении Е(слева)
-0,09кН,
Mx=4кНм
в сечении Е(справа)
-3,09кН,
Mx=4кНм
в сечении В
-5,79кН,
Mx= 0кНм
Найдем на участке DE точку
,
где
3,51-q·z0,
м.
кНм
Опасное сечение , где изгибающий момент
принимает максимальное по модулю значение
кН∙м,
Подберем двутавр из условия прочности по нормальным напряжениям.
Из условия прочности при изгибе
определим
максимальную величину момента сопротивления:
,
м3.
Принимаем двутавр №10 с моментом сопротивления
39.7
см3,
Задача 15
Шкив с диаметром D1 и с углом наклона ветвей
ремня к горизонту α1 делает п
оборотов в минуту и передает мощность N кВт. Два других шкива имеют одинаковый
диаметр D2 и одинаковые углы наклона ветвей ремня к горизонту α2
и каждый из них передает мощность N/2.
Требуется:
) определить моменты, приложенные к шкивам, по
заданным N и п;
) построить эпюру крутящих моментов Мкр,
) определить окружные усилия t1 и t2,
действующие на шкивы, по найденным моментам и заданным диаметрам шкивов D1 и D2
) определить давления на вал, принимая их
равными трем окружным усилиям;
) определить силы, изгибающие вал в
горизонтальной и вертикальной плоскостях (вес шкивов и вала не учитывать);
) построить эпюру суммарных изгибающих моментов,
пользуясь формулой
(для каждого
поперечного сечения вала имеется своя плоскость действия суммарного изгибающего
момента, но для круглого сечения можно совместить плоскости Мигг для всех
поперечных сечений и построить суммарную эпюру в плоскости чертежа; при
построении эпюры надо учесть, что для некоторых участков вала она не будет
прямолинейной);
) при помощи эпюр Мкр и Мизг найти опасное
сечение и определить максимальный расчетный момент (по третьей теории
прочности);
) подобрать диаметр вала d при [σ]
= 70 МПа и округлить его значение (см. задачу 5).
Схема 3
= 30кВт, n = 300 об/мин, a = 1,7 м, b = 1,3 м, c
= 1,3 м, D1 = 1.3 м, D2 = 1,3 м, α1 = 30˚,
α2 = 30˚.
Решение
Определим моменты, приложенные к шкивам, по
заданным N и п
Построим эпюру крутящих моментов Мкр,
Участок СD Мкр= 0,955кНм
Участок DE Mкр= 0.955-0.477=0.477кНм
Определим окружные усилия t1 и t2, действующие
на шкивы, по найденным моментам и заданным диаметрам шкивов D1 и D2
Определим давления на вал, принимая их равными
трем окружным усилиям
Определим силы, изгибающие вал в горизонтальной
и вертикальной плоскостях (вес шкивов и вала не учитывать)
Построим эпюры изгибающих моментов от
горизонтальных сил Mгор и от вертикальных сил Мверт
Построим эпюру суммарных изгибающих моментов,
пользуясь формулой
При помощи эпюр Мкр и Мизг видно, что опасное
сечение в точке А. Определим максимальный расчетный момент (по третьей теории
прочности)
Подберем диаметр вала d при [σ]
= 70 МПа
Принимаем d=105мм.