Расчет на прочность тонкостенных сосудов по безмоментной теории
МИНИСТЕРСТВО
ОБРАЗОВАНИЯ РЕСПУБЛИКИ БЕЛАРУСЬ
Учреждение
образования
"ПОЛОЦКИЙ
ГОСУДАРСТВЕННЫЙ УНИВЕРСИТЕТ"
КАФЕДРА
МЕХАНИКИ
РАСЧЕТНО-ГРАФИЧЕСКАЯ
РАБОТА
ПО
ПРИКЛАДНОЙ МЕХАНИКЕ
НА
ТЕМУ: "Расчет на прочность тонкостенных сосудов по безмоментной теории"
Разработал: ст-ка
гр. 12 ХТ-1
В.И. Горборукова
Проверил:
проф. В.Э.
Завистовский
Новополоцк
2013
Дано:











схема сосуда -
рис.1.
Требуется:
. Определить реакции креплений на сосуд.
2. Определить окружные
и
меридиональные
напряжения на всех
участках сосуда и построить их эпюры.
. Определить толщину стенки сосуда
из
расчета на прочность по теории максимальных касательных напряжений и для
сравнения
по теории
прочности удельной энергии формоизменения.
. Определить площадь A
поперечного сечения подкрепляющего распорного кольца по месту стыка
цилиндрической части сосуда с конической.
. Вычислить изменения диаметра сосуда
на
уровне
.
Расчет:
При расчете собственный вес резервуара учитывать
не будем.
. Определение реакций креплений на сосуд.
Из условий равновесия сил, действующих на сосуд, из уравнения
(рис.
1, а) учитывая, что
, получим
,
Откуда
напряжение сосуд эпюра
меридиональный
Рис. 1. Расчетная схема сосуда:
а
- схема нагружения сосуда; б - эпюры напряжений
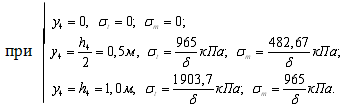
. Определение окружных
и
меридиональных
напряжений на
уровне
в
полусферической части сосуда.
На этом участке:
Т.к. днище сосуда полусферическое, то объем
отсеченной на уровне
части полусферы,
т. е. сферического сегмента, равен:
Для сферы
и
по формуле Лапласа
.
Из условия равновесия нижней отсеченной части
(рис. 2.) меридиональные напряжения равны
а из формулы Лапласа
где
-
только внутреннее давление в сосуде на уровне
.
Рис. 2. К расчету сферического днища
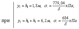
. Определение напряжений цилиндрической
части сосуда ниже уровня крепления.
На этом участке
По формуле Лапласа
.
Нормальное к стенке сосуда давление
на
уровне
(рис.
3) выражается уравнением
тогда
Меридиональные напряжения на том же уровне
получим
из рассмотрения равновесия нижней отсеченной части сосуда (рис. 3).
Рис. 3. К расчету цилиндрической части сосуда
ниже уровня крепления
Подставляя значения внутреннего давления
и
произведя сокращения, получим
Из формул видно, что в нижней части
цилиндрической формы сосуда
а
изменяется
по линейному закону. В эти формулы подставим исходные данные и вычислим
значения напряжений
4. Цилиндрическая часть сосуда выше уровня
жидкости.
На этом участке
сосуд
подвергается только внутреннему давлению газа с постоянной интенсивностью
.
На этом участке
и
по формуле Лапласа
Из условия равновесия верхней отсеченной части
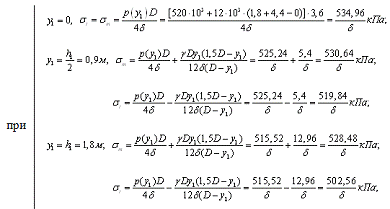
5. Коническая часть сосуда.
В этой части сосуда действует равномерное
давление
.
Для этой части

. Определение толщены стенки сосуда.
По эпюрам
и
видно,
что наиболее напряженными являются точки конической части сосуда по месту стыка
с цилиндрической частью. В этих точках (рис.4) возникает сложное напряженное
состояние, причем
При расчете на прочность не будем учитывать
влияние
ввиду
его малости по сравнению с напряжениями
и
.
Тогда, считая напряженное состояние плоским из
условия прочности по теории максимальных касательных напряжений (третья теория
прочности)
получим
или
Откуда толщена стенки по третьей теории
прочности равна
Для сравнения по теории удельной энергии
формоизменения (четвертой теории прочности) при плоском напряженном состоянии,
полагая, что 
имеем
Подставив значения напряжений, получим
Тогда толщена стенки сосуда
Различие толщины стенки из расчета по третьей и
четвертой теориям прочности составляет примерно 14,7%. С учетом конструкционных
особенностей сосуда, примем
7. Площадь А поперечного сечения
подкрепляющего распорного кольца.
Площадь поперечного сечения подкрепляющего
распорного кольца по месту стыка конической и цилиндрической частей сосуда
определим из расчета на прочность кольца от равномерной радиальной нагрузки
.
Нормальная сжимающая сила в любом поперечном
сечении кольца (рис. 5) будет
По условию прочности
Подставив числовое значения, получим
Полученные из условий прочности размеры толщены
стенки сосуда
и площади А
распорного кольца дополнительно проверяют расчетом на устойчивость.
. Изменение диаметра цилиндрической части
сосуда на заданном уровне.
Определим изменение диаметра
цилиндрической
части сосуда на уровне
, т. е. вдали от
краевого эффекта.
Обозначим диаметр сосуда после деформации через
тогда
окружная деформация сосуда
При плоском напряженном состоянии по закону Гука
где
-
модуль продольной упругости материала сосуда;
- коэффициент
Пуассона.
Следовательно,
На уровне
из
эпюр напряжений при толщине стенки
имеем
тогда изменение диаметра
Литература
. Любошиц, М. И. Справочник
по сопротивлению материалов / М. И. Любошиц, Г. М. Ицкович. - Минск: Высш. шк.,
1969. - 464 с.
2. Расчетные и курсовые работы
по сопротивлению материалов: учеб. пособие / Ф. З. Алмаметов [и др.]. - М.:
Высш. шк., 2003. - 367 с.
. Методические указания по
теме "Расчет осесимметричных тонкостенных оболочек по безмоментной
теории" курса "Сопротивление материалов" / сост. Л. А. Гурьева.
- Новополоцк: НПИ, 1993. - 24 с.