Расчёт тонкостенной конструкции с однозамкнутым контуром поперечного сечения
Министерство
образования и науки Российской Федерации
ФЕДЕРАЛЬНОЕ
ГОСУДАРСТВЕННОЕ БЮДЖЕТНОЕ ОБРАЗОВАТЕЛЬНОЕ УЧРЕЖДЕНИЕ ВЫСШЕГО ПРОФЕССИОНАЛЬНОГО
ОБРАЗОВАНИЯ
«САМАРСКИЙ
ГОСУДАРСТВЕННЫЙ АЭРОКОСМИЧЕСКИЙ УНИВЕРСИТЕТ ИМЕНИ АКАДЕМИКА С.П.КОРОЛЕВА
Кафедра
Прочности ЛА
Курсовая
работа
по курсу
«Строительная механика летательных аппаратов»
Расчёт
тонкостенной конструкции с однозамкнутым контуром поперечного сечения
Выполнил: Владимирова Д.
Руководитель: Скворцов Ю.В
Самара 2013
Реферат
Курсовая работа.
ТОНКОСТЕННАЯ КОНСТРУКЦИЯ, ОДНОЗАМКНУТЫЙ КОНТУР, ПОПЕРЕЧНОЕ СЕЧЕНИЕ, ЦЕНТР
ТЯЖЕСТИ, МОМЕНТ ИНЕРЦИИ СЕЧЕНИЯ, НОРМАЛЬНЫЕ НАПРЯЖЕНИЯ, ПОГОННЫЕ КАСАТЕЛЬНЫЕ
СИЛЫ, СТАТИЧЕСКИЙ МОМЕНТ
Производится расчёт тонкостенной конструкции с однозамкнутым контуром
поперечного сечения. Определяется положение центра тяжести сечения, момент
инерции, нормальные напряжения в поясах и обшивке при изгибе конструкции.
Выводится закон изменения статического момента по контуру разомкнутого сечения.
Рассчитываются погонные касательные силы.
Содержание
Введение
. Определение положения центра тяжести сечения
. Подсчет момента инерции сечения Irx
. Определение нормальных напряжений в поясах и обшивке
. Расчет погонных касательных сил T в сечении конструкции
.1 Вывод закона изменения статического момента
по контуру разомкнутого сечения и
эпюру
.2 Расчет погонных касательных сил T* для разомкнутого
сечения и эпюра этих сил
.3 Проверка равенства погонных касательных сил перерезывающей
силе
.4 Расчет постоянной составляющей Т0 погонных
касательных сил
.5 Расчет и эпюра суммарных погонных касательных сил
Заключение
Список использованных источников
Введение
На практике широко используются разного рода тонкостенные конструкции, к
примеру, однозамкнутый контур подкреплённый рёбрами жёсткости работающий в
самых разнообразных условиях. В связи с этим необходимо чётко представлять
возможности конструкции, для чего производится ряд расчётов, направленных на
определение их характеристик.
сечение
инерция обшивка статический
1. Определение положения центра тяжести сечения
Определим редукционные коэффициенты:
где
- момент
приведенного сечения относительно Х0,
-
площадь приведенного сечения.
Разобьем
сечение на участки как показано на рис. 1
Рисунок
1 - Схема конструкции
Определим
главную центральную ось:
,
,
,
.
Найдем
момент приведенного сечения относительно Х0
.
Рассмотрим
участок 1-2 (рис. 2).
Рисунок
2
,
Рассмотрим участок 2-3 (рис. 3).
Рисунок 3
,
Рассмотрим участок 3-4 (рис. 4).
Рисунок 4
,

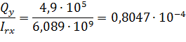
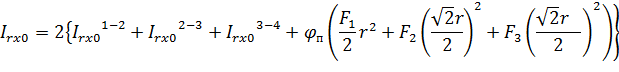
2. Подсчет момента инерции сечения
Момент инерции относительно центральных осей координат, определяется формулой:
где n - число поясов.
В нашем случае момент инерции удобнее вычислить следующим образом:
,
Где
- момент инерции относительно оси Х0.
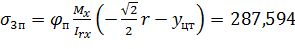
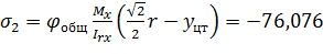
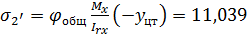
3. Расчет нормальных напряжений в поясах и обшивке при изгибе
конструкции
Нормальные напряжения в поясах и обшивке найдём по формуле:
,
где
-0,154.
Па
МПа
МПа
МПа
МПа
МПа
МПа
Мпа
Рисунок 5 - Эпюра нормальных напряжений
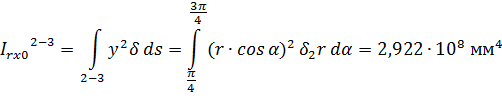
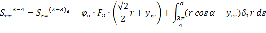
4. Расчет погонных касательных сил T в сечении конструкции
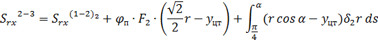
.1 Вывод закона изменения статического момента
по контуру разомкнутого сечения и
эпюру
Началом отсчета дуг выбираем точку 1
Проверка эпюры
.
Рисунок 6 - Эпюра статического момента
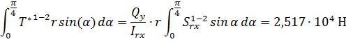
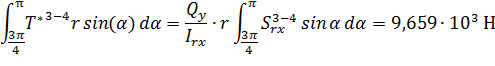
4.2 Расчет погонных касательных сил для разомкнутого сечения
и эпюру этих сил
Погонные касательные силы Т* найдём по формуле:
здесь
тогда все Т* определяться по:
Построим эпюру значений Т*
Рисунок 7 - Эпюра погонных касательных сил Т*
4.3 Проверка равентства погонных касательных сил
перерезывающей силе
Проверку равенства произведём по формуле:
Определим погрешность
4.4 Расчет постоянной составляющей погонной касательной силы
Выбираем полюс на оси симметрии тогда
. Найдём удвоенную площадь фигуры
ограниченной средней линией контура:
Рисунок 8 - Эпюра постоянной составляющей погонных касательных сил
4.5 Расчет и эпюра суммарных погонных касательных сил Т
Проведём расчёт погонных касательных сил Т, и построим их эпюру
Рисунок 9 - Эпюра погонных касательных сил
Заключение
В процессе выполнения курсовой работы выполнены следующие этапы.
Произведён расчёт тонкостенной конструкции с однозамкнутым контуром поперечного
сечения. Определено положение центра тяжести сечения, момент инерции,
нормальные напряжения в поясах и обшивке при изгибе конструкции. Выведен закон
изменения статического момента по контуру разомкнутого сечения. Рассчитаны
погонные касательные силы.
Список литературы
1 Зацепина
М.В. Балочная теория расчета тонкостенных конструкций. Самара: СГАУ, 1993. -
46с.
Плоские
фермы. Тонкостненный контсрукции: Учебное задание по курсу «Строительная
механика летательных аппаратов и теория упругости»/ СГАУ; Сост. В.М. Дуплякин,
В.И. Леонов. Самара, 1993. - 40 с.
Кан С.Н.,
Пановко Я.Г. Элементы строительной механики тонкостенных конструкций. - М.:
Оборнгиз, 1952, - 160с.
Уманский А.А.
Строительная механика самолета. - М.: Оборонгиз, 1961.529 с.
СТП СГАУ
6.1.4-97. Общие требования к оформлению учебных текстовых документов. - Самара:
СГАУ, 1997. - 17с.