2) Составить
для каждого участка бруса в сечении аналитические выражения изменения
продольного усилия N, напряжений у и перемещений поперечных сечений бруса 
;
) Построить
эпюры продольных усилий N, напряжений у и перемещений поперечных сечений бруса 
;
|
P1, кН
|
P2, кН
|
a, м
|
b, м
|
c, м
|
A1, см2
|
A2, см2
|
A3, см2
|
[у],
МПа
|
E, МПа
|
|
10
|
11
|
0,5
|
0,8
|
0,5
|
2,1
|
2,0
|
2,1
|
160
|
2∙105
|
Решение:
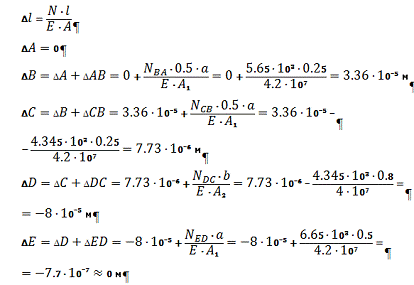
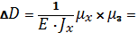
1)Для составления уравнений перемещения отбросим одну из заделок и
заменим её действие на брус соответствующей силой.
Применяя принцип независимости действия сил, получим:

;
Согласно
закону Гука:
,
где
Дli - перемещение,
Ni -
усилие действующее на участке,
li - длина участка,
E -
модуль продольной упругости,
Ai - площадь поперечного сечения.

кН
)
Построим эпюру продольных сил. Применим метод сечений (начинаем от свободного
края)

кН

кН

кН

кН
)
Построим эпюру нормальных напряжений
)Строим
эпюру перемещений поперечных сечений
5)
Проверим прочность стержня при допускаемом напряжении
Следовательно, условие прочности выполняется.
Недогруз
стержня составляет 
Задача
№2
Требуется:
1) Сделать чертеж вала по заданным размерам в масштабе;
) Построить эпюру крутящих моментов Т;
) Построить эпюру касательных напряжений ф;
) Построить эпюру углов закручивания ц;
Исходные данные:
|
T1 кН∙м
|
T2 кН∙м
|
a, мм
|
b, мм
|
c, мм
|
d1, мм
|
d2, мм
|
d3, мм
|
[ф], МПа
|
G, МПа
|
|
1.0
|
0.1
|
100
|
500
|
100
|
60
|
20
|
60
|
50
|
|
Решение
1)
Отбросим заделку в сечении E. Ее действие заменим реактивным моментом ТE
= X. Угол поворота в сечении Е в ходе решения задачи
считаем равным нулю: 
Применим
принцип независимости действия сил, согласно которому
2) Построим эпюры крутящих моментов:
3) Построим эпюры касательных напряжений:
5) Построим эпюру углов поворота.
Начинаем с закрепленного края (сечение А)
6) Проверка прочности
Следовательно, условие прочности выполняется.
Недогруз стержня составляет
Задача №3
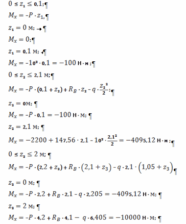
Для заданной балки требуется:
1. Написать выражения поперечной силы Q и изгибающего момента М для каждого участка в общем виде;
. Построить эпюры поперечной илы Q и изгибающего момента М;
3.
Найти
и подобрать стальную балку двутаврового поперечного
сечения при [у]=160 МПа.
Исходные данные:
|
P1, кН
|
q, кН/м
|
a, м
|
b, м
|
c, м
|
d, м
|
М, кН∙м
|
[у], МПа
|
|
1,0
|
1,0
|
0,1
|
2,0
|
2,1
|
0,1
|
10
|
160
|
Решение:
1) Определим неизвестные опорные реакции:
Проверка:
2) Построим эпюру поперечных сил:
3) Построим эпюру изгибающих моментов:
Задача №4
Для заданной балки требуется подобрать стальную балку двутаврового
поперечного сечения при [у]=160 МПа.
|
a, мм
|
b, мм
|
М, кН∙м
|
[у], МПа
|
|
28
|
30
|
10
|
160
|
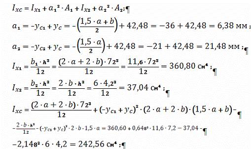
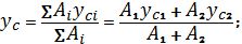
1) Определим положение центра тяжести данного сечения относительно
нейтральной оси Ох:
) Нормальное напряжение при изгибе по высоте сечения распределяется по
линейному закону и определяется в любой точке сечения по формуле:
3) Строим эпюру нормальных напряжений для опасного сечения:
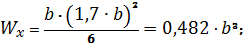
) Определим размеры поперечного сечения балки в форме двутавра:
По условию прочности:
По ГОСТ 8239 - 72 № 14
Из ГОСТ для данного двутавра:
) Определим поперечное сечение балки в форме круга:
6) Определим поперечное сечение балки в форме кольца:
7) Подберем сечение балки в форме прямоугольника:
|
№
|
Форма сечения
|
Ai , см Аi/A
|
|
|
1
|
|
17,4
|
1,0
|
|
2
|
|
63,6
|
3,66
|
|
3
|
|
31,16
|
1,79
|
|
|
2,54
|
Задача №5
Для заданной статически неопределенной балки построить эпюры поперечной
силы и изгибающего момента, сделать дифференциальную проверку, определить
прогиб в сечении D.
[у]=160 МПа.
|
P, кН
|
M,  с, м[у], МПа
|
|
|
|
1
|
10
|
2.1
|
160
|
.Определим степень статической неопределимости балки как разность между
числом неизвестных опор реакций и числом независимых уравнений равновесия:
. Выбираем основную систему
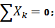
. Составим каноническое уравнение метода сил, оно имеет вид

,
где

- это
перемещение точки приложения единичной силы от действия этой же силы, 
-
перемещение точки приложения единичной силы от действия внешних нагрузок,

-
неизвестная сила.
Для
определения 
нагрузим
первую о.с. только силой 
Строим
для данной балки единичную эпюру 
.
.
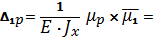
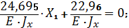
Ищем единичное перемещение 
, находим
перемножение эпюр:

5.
Определим перемещение 
перемножение
эпюр 
где 



Определяем 
Изобразим
заданную балку вместе с найденным значением 
поменяв
его направление на противоположное.
Строим
результирующие эпюры поперечных сил 
и
изгибающих моментов 
для
заданной балки.
Сделаем
проверку т.е. проверим верность найденного значения
Нагрузим
только единичным моментом.
Запишем
уравнение равновесия:

Строим
эпюру от единичного момента 

Проведем
дифференциальную проверку.
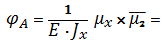
Найдем
линейное перемещение сечения точки D.
Для
этого нагрузим первую основную систему единичной силой 
Построим
единичную эпюру 
В
точке 
В
точке 
В
точке 
В
точке 
Запишем
условие прочности на изгиб:
Подберем
сечение в виде двутавра по ГОСТ 8237-72;
Задача №6
Стальной
вал вращается с постоянной частотой 
и
передает мощность 
.
Требуется:
.
Определить нагрузки, действующие на вал;
.
Построить эпюру крутящих моментов, эпюры изгибающих моментов в двух плоскостях
(вертикальной и горизонтальной);
.
Подобрать диаметр вала, используя третью теорию прочности (теорию наибольших
касательных напряжений) или пятую теорию прочности (энергетическую теорию),
если известно допускаемое напряжение 
.
|

|

|
|
Теория прочности
|

|

|
Диаметры зубчатых колес
|
|
|
|
|
|
|
|
|
|
12
|
700
|
160
|
треть
|
200
|
100
|
80
|
160
|
1.Определим
крутящий момент:
2. Определим опорные реакции в плоскости
2.1
В горизонтальной плоскости 
2.2 В
вертикальной плоскости 

.Построим
эпюры изгибающих и крутящих моментов.
.1.
Эпюра моментов действующих в вертикальной плоскости слева сечения 1:

;
Справа
сечения 3:
.2.
Эпюра моментов действующих в горизонтальной плоскости слева сечения 1:

;
Справа
сечения 3:
.Определим
крутящий момент:
эпюра крутящий момент стержень
5.Определим
диаметр вала с помощью критерия Мезиса:

;

;
Опасное
сечение 1;