Исследование переходных процессов
Специальность
«Микроэлектроника и твердотельная электроника»
Курсовая
работа
по
дисциплине «Теоретические основы электротехники»
Тема:
Исследование
переходных процессов
СОДЕРЖАНИЕ
Задание
Реферат
Введение
1. Расчетная
часть
.1 Расчет
переходного процесса классическим методом
1.2 Расчет
переходного процесса операторным методом
1.3 Изображение
переходного процесса в программе электронного моделирования Electronic
Work BENCH
5.12
Заключение
Список
использованной литературы
ЗАДАНИЕ
В цепи (рисунок 1), питаемой от источника
постоянной ЭДС, замкнут ключ. Необходимо найти напряжение на третьем резисторе
после размыкания ключа при следующих параметрах элементов схемы:
Рисунок 1
Е=100 В
L= 1 мГн
С=10мкФ
R1=50 Ом
R2=10 Oм
R3=40 Oм
Определить UR3
РЕФЕРАТ
Курсовая работа посвящена исследованию
переходных процессов и ее основной целью является приобретение практических
навыков, необходимых в дальнейших инженерных расчетах.
В основу данной работы положена инженерная
задача расчета переходных процессов.
В работе использованы следующие разделы
теоретических основ электротехники:
· расчет переходных процессов классическим
методом;
· расчет переходных процессов
операторным методом.
Знакомство и практические навыки выполнения
курсовой работы позволяет лучше освоить и понять весь материал курса
теоретических основ электротехники.
ВВЕДЕНИЕ
При всех изменениях в электрической цепи:
включении, выключении, коротком замыкании, колебаниях величины какого-либо
параметра и т.п. - в ней возникают переходные процессы, которые не могут
протекать мгновенно, так как невозможно мгновенное изменение энергии,
запасенной в электромагнитном поле цепи. Таким образом, переходный процесс
обусловлен несоответствием величины запасенной энергии в магнитном поле катушки
и электрическом поле конденсатора ее значению для нового состояния цепи.
При переходных процессах могут возникать большие
перенапряжения, сверхтоки, электромагнитные колебания, которые могут нарушить
работу устройства вплоть до выхода его из строя. С другой стороны, переходные
процессы находят полезное практическое применение, например, в различного рода
электронных генераторах. Все это обусловливает необходимость изучения методов
анализа нестационарных режимов работы цепи.
Основные методы анализа переходных процессов в
линейных цепях:
1. Классический метод,
заключающийся в непосредственном интегрировании дифференциальных уравнений,
описывающих электромагнитное состояние цепи.
2. Операторный метод,
заключающийся в решении системы алгебраических уравнений относительно
изображений искомых переменных с последующим переходом от найденных изображений
к оригиналам.
3. Частотный метод,
основанный на преобразовании Фурье и находящий широкое применение при решении
задач синтеза.
4. Метод расчета с помощью
интеграла Дюамеля, используемый при сложной форме
кривой возмущающего воздействия.
5. Метод переменных состояния,
представляющий собой упорядоченный способ определения электромагнитного
состояния цепи на основе решения системы дифференциальных уравнений первого
прядка, записанных в нормальной форме (форме Коши).
1. РАСЧЕТНАЯ
ЧАСТЬ
.1 Расчет
переходного процесса классическим методом
В соответствии со структурной
схемой выполнения курсовой работы на первом этапе производится расчет переходных
процессов в электрических цепях со сосредоточенными параметрами и определяется
напряжение на одном элементов схемы, т.е. происходит формирование сигнала
на
половине периода
По заданному варианту
выбирается электрическая схема, параметры этой схемы, а так же определяется
искомое напряжение на отдельном элементе схемы. Во всех схемах действует
постоянная ЭДС. Необходимо на 1 этапе получить закон изменения во времени
искомого напряжения после коммутации. И на основании полученного аналитического
выражения построить график изменения
на
интервале времени
Переходные процессы в линейных
электрических цепях описываются линейными дифференциальными уравнениями.
Решение таких уравнений представляет собой сумму двух решений: частного и
общего.
При этом частное решение
(принужденная составляющая) определяется напряжением на элементе в
установившемся режиме
Общее решение
(свободная составляющая напряжения) зависит от вида корней характеристического
уравнения, которые могут быть:
·
вещественными
различными,
·
вещественными
равными,
·
комплексно-сопряженными.
Соответственно этим трем видам
корней решение для свободной составляющей напряжения приводится к виду:
Где введены обозначения:
n
- число корней характеристического уравнения (для рассматриваемых схем п = 2)
k
- номер корня характеристического уравнения
bk,wсв
- соответственно-вещественная и мнимая части комплексно-сопряженных корней (bk
- характеризует затухание переходного процесса, wсв
- частоту свободных колебаний переходного процесса).
Ак- постоянные
интегрирования, определяемые из начальныхусловий.
pk
- k-ый корень
характеристического уравнения.
При определении начальных
условий используются законы коммутации и уравнения цепи, составленные по
первому и второму законам Кирхгофа для схемы после коммутации.
Различают два закона
коммутации:
1. Ток в ветви с индуктивным элементом в момент
коммутации
равен току в этой
ветви до коммутации
. Напряжение на емкостном
элементе в момент коммутации
равно напряжению
на этом элементе до коммутации
С учетом изложенного алгоритма
расчета переходного процесса классическим методом имеет вид:
1.
Рассчитывается
электрическая схема до коммутации, и определяются независимые начальные условия
2.
После
коммутации по законам коммутации определяются:

4.
Составляют
характеристическое уравнение электрической цепи для схемы после коммутации. В
простых цепях это уравнение получают с помощью входного сопротивления цепи в
комплексной форме: z(jw).
Заменяя z(jw)
®
p - получаем
характеристическое уравнение: z(p)
= 0. Решая это уравнение, находят корни (р1, р2).
5.
Составляют
в общем виде решение дифференциального уравнения, описывающее переходный
процесс
6.
Для
нахождения постоянных интегрирования переходного процесса составляется система
уравнений по законам Кирхгофа для схемы в момент коммутации (t
= 0+). А также учитываются законы коммутации. Из уравнений находится
зависимое начальное условие искомого напряжения, и для момента времени t
= 0 и зависимых и независимых начальных условий - определяются постоянные
интегрирования.
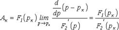
7. В соответствии с полученными
корнями характеристического уравнения и найденными постоянными интегрирования
составляется решение искомого напряжения в аналитической форме:
.1 Корни вещественные
различные:
.2 Корни вещественные равные:
.3 Корни
комплексно-сопряженные:
8. На основании полученного аналитического
выражения строят график U1
= f(t)
в интервале времени от
, при этом
постоянные времени определяются по формулам
1.2 Расчет переходного процесса
операторным методом
Сущность операторного метода заключается в том,
что функции
вещественной
переменной t, которую называют оригиналом, ставится в соответствие функция
комплексной
переменной
, которую называют
изображением. В результате этого производные и интегралы от оригиналов
заменяются алгебраическими функциями от соответствующих изображений
(дифференцирование заменяется умножением на оператор р, а интегрирование -
делением на него), что в свою очередь определяет переход от системы
интегро-дифференциальных уравнений к системе алгебраических уравнений
относительно изображений искомых переменных. При решении этих уравнений
находятся изображения и далее путем обратного перехода - оригиналы. Важнейшим
моментом при этом в практическом плане является необходимость определения
только независимых начальных условий, что существенно облегчает расчет
переходных процессов в цепях высокого порядка по сравнению с классическим
методом.
Изображение
заданной
функции
определяется
в соответствии с прямым преобразованием Лапласа:
(1)
В сокращенной записи соответствие между
изображением и оригиналом обозначается, как:
или
Следует отметить, что если оригинал
увеличивается
с ростом t, то для сходимости интеграла (1) необходимо более быстрое убывание
модуля
.
Функции, с которыми встречаются на практике при расчете переходных процессов,
этому условию удовлетворяют.
В качестве примера в табл. 1 приведены
изображения некоторых характерных функций, часто встречающихся при анализе
нестационарных режимов.
переходный электронный
характеристический коммутация
Таблица
1
Изображения типовых функций
Некоторые свойства изображений
Изображение суммы функций равно сумме
изображений слагаемых:
При умножении оригинала на коэффициент на тот же
коэффициент умножается изображение:
С использованием этих свойств и данных табл. 1,
можно показать, например, что
Изображения производной и интеграла
В курсе математики доказывается, что если
,
то
,
где
-
начальное значение функции
.
Таким образом, для напряжения на индуктивном
элементе можно записать
или при нулевых начальных условиях
Отсюда операторное сопротивление катушки
индуктивности
Аналогично для интеграла: если
, то
С учетом ненулевых начальных условий для
напряжения на конденсаторе можно записать:
Тогда
или при нулевых начальных условиях
откуда операторное сопротивление конденсатора
Закон Ома в операторной форме
Пусть имеем некоторую ветвь
(см.
рис. 1), выделенную из некоторой сложной цепи.

Для мгновенных значений переменных можно
записать:
Тогда на основании приведенных выше соотношений
получим:
Отсюда
(2)
где
-
операторное сопротивление рассматриваемого участка цепи. Следует обратить
внимание, что операторное сопротивление
соответствует
комплексному сопротивлению
ветви в цепи
синусоидального тока при замене оператора р на
.
Уравнение (2) есть математическая запись закона
Ома для участка цепи с источником ЭДС в операторной форме. В соответствии с ним
для ветви на рис. 1 можно нарисовать операторную схему замещения,
представленную на рис. 2.
Законы Кирхгофа в операторной форме
Первый закон Кирхгофа:
алгебраическая сумма изображений токов, сходящихся в узле, равна нулю
Второй закон Кирхгофа:
алгебраическая сумма изображений ЭДС, действующих в контуре, равна
алгебраической сумме изображений напряжений на пассивных элементах этого
контура
При записи уравнений по второму закону Кирхгофа
следует помнить о необходимости учета ненулевых начальных условий (если они
имеют место). С их учетом последнее соотношение может быть переписано в
развернутом виде
Переход от изображений к оригиналам
Переход от изображения искомой величины к
оригиналу может быть осуществлен следующими способами:
1. Посредством обратного преобразования Лапласа
которое представляет собой решение интегрального
уравнения (1) и сокращенно записывается, как:
На практике этот способ применяется редко.
. По таблицам соответствия между оригиналами и
изображениями
В специальной литературе имеется достаточно
большое число формул соответствия, охватывающих практически все задачи
электротехники. Согласно данному способу необходимо получить изображение
искомой величины в виде, соответствующем табличному, после чего выписать из
таблицы выражение оригинала.
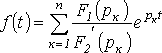
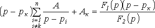
. С использованием формулы разложения
Пусть изображение
искомой
переменной определяется отношением двух полиномов
где
Это выражение может быть представлено в виде
суммы простых дробей
где
-
к-й корень уравнения
Для определения коэффициентов
умножим
левую и правую части соотношения (3) на (
):
При
Рассматривая полученную неопределенность типа
по
правилу Лапиталя, запишем
Таким образом,
Поскольку отношение
есть
постоянный коэффициент, то учитывая, что
окончательно
получаем
Соотношение (4) представляет собой формулу
разложения. Если один из корней уравнения
равен
нулю, т.е.
, то уравнение (4)
сводится к виду
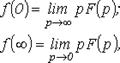
В заключение раздела отметим, что для нахождения
начального
и конечного
значений
оригинала можно использовать предельные соотношения
которые также могут служить для оценки
правильности полученного изображения.
Определяем начальные независимые условия для
момента времени t =0
Рисунок 1
L(0-)=E/(R2+R3)=
2Ac(0-)=
2*50 = 100 B
Записываем законы коммутации для
момента времени t=(0+)
Uc(0-)=
Uc(0+)
iL(0-)=
iL(0+)
Установившийся режим (Рисунок 2):
Рисунок 2
В схеме постоянная ЭДС поэтому с
течением времени в схеме установятся постоянный ток и напряжения
Из-за того что в схеме конденсатор,
на зарядку разрядку которого требуется время
А также катушка индуктивности , на
которой при изменении тока наводится ЭДС индукции
на установление этого процесса нужен
особый переходный период именно его мы и рассчитываем.
Составляем дифференциальное
уравнения. В нашем случае только одно, т.к. одна пара L и C. Оно
получится 2 степени линейное не однородное. Для его решения приходится
составлять характеристическое уравнение. Оказывается само уравнение можно не
составлять а его характеристическим является также комплексное входное
сопротивление схемы Zвх=f(jw);
комплексный аргумент обычно записывается одной буквой Р ищем Zвх(р) (после
коммутации)
z1=zR2,L,R3=R2+R3+рL=50+10-3р;
z2=zR2,R3,L,C

Zвх(p)=0
отсюда
Это значит что, свободная
составляющая напряжения на конденсаторе:
;
B1=-4.8 B
Но нам нужно найти
Для построения графика определим
постоянные времени:
,
.
Таким образом,
и график UL = f(t) необходимо
построить на интервале времени
т. е.
(рисунок.
4).
Рисунок 4
Операторное счисление оперирует понятием
оригинала функции, которая есть функция вещественного аргумента, например U(t)
и изображения этой функции, которая уже функция комплексного переменного jω=p.
Иногда в сложных случаях удобнее и легче работать с изображениями функции, а в
конце переходить к оригиналам.
Операторная схема замещения цепи (Рисунок 5)
Рисунок 5
У нас уже есть операторное
сопротивление цепи, т. е изображение входного сопротивления
Изображением 1 является 1/р
=1/р =>Е(р)=100/р
I(p)=I1(p)
изображение тока
Изображение напряжения на
конденсаторе или же на ветке где R3:
Учитывая, что индуктивности
заменяются не только на операторное сопротивление pL, но и на
источник напряжения с э.д.с. Li(0-), которое
действует в направлении тока получим:
Степень многочлена в числителе ниже
степени многочлена в знаменателе, а также среди корней знаменателя есть , то
принимаем теорему разложения для этого случая которая дает переход от
изображений к оригиналам.
Таким образом, мы получаем закон изменения
напряжения на катушке индуктивности во время переходного процесса. Как видно из
расчетов закон изменения, рассчитанный двумя способами, полностью совпадает.
Рис. 6. Изображение переходного процесса в
программе электронного моделирования Electronic
WorkBENCH 5.12
ЗАКЛЮЧЕНИЕ
Целью курсовой работы являлось изучение
переходных процессов и в частности изучение методов их расчета.
Так по заданной схеме, мы смогли составить
уравнение и построить график переходного процесса, опираясь на основные законы
электротехники, такие как законы коммутации и законы Кирхгофа.
Знакомство и практические навыки выполнения
курсовой работы позволили лучше усвоить и понять весь материал курса
теоретических основ электротехники.
СПИСОК ИСПОЛЬЗОВАННОЙ ЛИТЕРАТУРЫ
1. Бессонов
Л.А., Теоретические основы электротехники. М: Высшая школа, 2009, - 786 с.
2. Меньшова
С.Б., Строкачук С.Н., Исследование переходных процессов и анализ передачи
сигнала в линейных электрических цепях. Кузнецк, 2011 - 40 с.