|
Вариант
|
Ку
|
Т1
|
Т2
|
|
29
|
0,80
|
4,00
|
5,00
|
Передаточная функция объекта
.
Передаточная функция регулятора
.
Задача 1.
Построение кривой D-разбиения
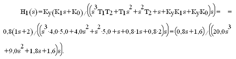
Передаточная функция разомкнутой
системы
.
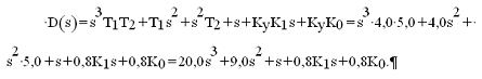
Выходная функция
.
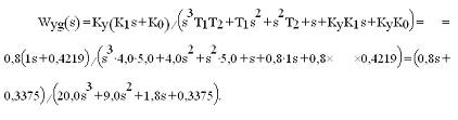
Передаточная функция по задающему воздействию
.
Все методы исследования устойчивости сводятся к определению расположения
корней характеристического уравнения, а именно, для того, чтобы САУ была
устойчива, необходимо, чтобы корни лежали в левой полуплоскости, то есть,
действительные части корней должны быть отрицательны.
В нашем случае характеристическим полиномом является знаменатель
передаточной функции замкнутой системы.
Характеристический полином
Положим:
и приравняем к нулю
Приравнивая действительную и мнимую части к нулю, получим систему
уравнений
Решая относительно w,
получим
Или
Коэффициент передачи
.
Коэффициент
передачи
.
разбиение в плоскости двух действительных параметров показано на рисунке
1.1.
Рисунок 1.1 - D-разбиение в плоскости двух действительных параметров
Задача 2
.1 Определение области устойчивости
Выбираем точку устойчивости
Коэффициент передачи
.
Коэффициент передачи
.
Коэффициент передачи
.
Выбираем точку неустойчивости
Коэффициент передачи
.
Коэффициент передачи
.
.2 Исследование устойчивости по критерию Михайлова
Критерий Михайлова - частотный критерий, позволяющий судить об
устойчивости замкнутой (или разомкнутой) системы по поведению ее
характеристического вектора на комплексной плоскости.
Положим:
.
Вторая
формулировка критерия Михайлова (критерий перемежаемости корней): для
устойчивости системы необходимо и достаточно, чтобы корни уравнений мнимой и
действительной частей и перемежались (чередовались).
Проверяем
точку устойчивости.
Коэффициент передачи
.
Коэффициент
передачи
.
Характеристический
полином
.
Мнимая
часть характеристического полинома

1/с.
1/с.
Действительная часть
характеристического полинома
Корни:
1/с.
1/с.
1/с.
Как легко заметить, корни перемежаются, то есть система устойчива.
.3 Исследование устойчивости по критерию Найквиста
Критерий Найквиста - частотный критерий, позволяющий судить об
устойчивости системы, замкнутой единичной отрицательной обратной связью, по
виду амплитудно-фазовой характеристики разомкнутой системы.
Формулировка
критерия для случая устойчивой разомкнутой системы: замкнутая система будет
устойчивой, если амплитудно-фазовая характеристика устойчивой разомкнутой
системы при изменении частоты w от до ¥ не охватывает точку с координатами .
Проверяем
точку неустойчивости.
Коэффициент передачи
.
Коэффициент передачи
.
Передаточная функция разомкнутой
системы
w× ×w w.
Амплитудно-фазовая характеристика разомкнутой системы показана на рисунке
2.2.
Рисунок 2.2
Как
легко заметить, амплитудно-фазовая характеристика охватывает точку с
координатами , то есть система не устойчива.
Задача 3.
Построение переходных процессов в АСР
Положив G=1/p, F=0, получим передаточную функцию САУ, как реакцию на
единичное воздействие:
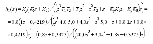
Передаточная функция САУ
.1 ПИ-регулятор
Коэффициент передачи
.
Коэффициент
передачи
.
Передаточная
функция по задающему воздействию
Переходная
функция САУ
× ×.
Переходная
функция САУ
.2
И-регулятор
Коэффициент
передачи
.
Коэффициент
передачи
.
Передаточная
функция по задающему воздействию
× ×.
Переходная функция САУ
× ×.
Переходная функция САУ
.3 П-регулятор
Коэффициент передачи
.
Коэффициент
передачи
.
Передаточная функция по задающему воздействию
.
Переходная функция САУ
.
Выполним обратное преобразование Лапласа, воспользовавшись теоремой вычетов
для интеграла Меллина, что в случае рациональных выражений делается
элементарно, для чего разложим выражение на простые дроби
Переходная функция САУ
.
Переходная
функция САУ
Графики переходных функции АСР показан на рисунке 3.1.
Рисунок 3.1 - Переходные функция АСР, сплошная линия - ПИ, пунктирная -
И, штрихпунктирная - П
Задача 4.
Анализ качества регулирования при использовании различных законов
регулирования
4.1 ПИ-регулятор
График переходной функции САУ показан на рисунке 4.1.
Рисунок 4.1 - Переходная функция АСР
Установившееся значение выходной величины
.
Статическая
ошибка
.
Колебательность
.
Задаём
отклонение от установившегося значения %.
Определяем
по графику:
Наибольшее значение выходной величины
.
Перерегулирование
%.
Время переходного процесса
с.
.2 И-регулятор
График переходной функции САУ показан на рисунке 4.2.
Рисунок 4.2 - Переходная функция АСР
Установившееся значение выходной величины
.
Статическая ошибка
.
Колебательность
.
Задаём
отклонение от установившегося значения %.
Определяем
по графику:
Наибольшее значение выходной величины
.
Перерегулирование
%.
Время переходного процесса
с.
.3 П-регулятор
График переходной функции САУ показан на рисунке 4.3.
Рисунок 4.3 - Переходная функция АСР
Установившееся значение выходной величины
.
Статическая
ошибка
.
Колебательность
.
Задаём
отклонение от установившегося значения %.
Определяем
по графику:
Наибольшее значение выходной величины
.
Перерегулирование
%.
Время
переходного процесса
с.
Список литературы
1. Теория автоматического управления Коновалов. / Электронный
вариант.
. Исследование линейной автоматической системы регулирования.
Методическое руководство к лабораторной работе./Составитель Аязян ПК./
Электронный вариант.
. Бесекерский В.А., Попов Е.П. Теория систем автоматического
регулирования. - М.: Наука, 1975. - 768 с.
. Лекции по курсу ТАУ. Аязян Г.К. Электронный вариант.
. Теория автоматического управления. Под ред. Нетушила А.В.
ч. 1, М.: Высшая школа, 1968. - 424 с.