Исследование переходных процессов в механической системе

  • Вид работы:
    Курсовая работа (т)
  • Предмет:
    Информационное обеспечение, программирование
  • Язык:
    Русский
    ,
    Формат файла:
    MS Word
    2,39 Мб
  • Опубликовано:
    2012-08-26
Вы можете узнать стоимость помощи в написании студенческой работы.
Помощь в написании работы, которую точно примут!

Исследование переходных процессов в механической системе

1. Постановка задачи

коши эйлер excel механический система

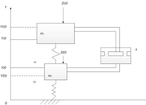
Схема взаимодействия элементов двухмассовой механической системы вибрационного типа с упругими и демпфирующими элементами приведена на рисунке


Схема включает:

·    m1, m2 - массы деталей;

·        c1, с2 - коэффициенты жесткости упругих элементов.

·        k- коэффициент демпфирования элемента системы гасящего колебания (вибрации)

·        f1(t), f2(t) - внешние воздействия на систему, как функции времени, которые называются динамическими нагрузками на первую и вторую деталь (элемент) соответственно.

·        Y10, Y20 - абсолютные координаты в единице длины (м) состояния равновесия системы, относительно уровня фундамента или дороги.

·        Y1(t), Y2(t), y1(t), y2(t) - абсолютные и относительные координаты в единице длины (м) деталей при их перемещении вдоль вертикальной оси относительно состояния равновесия Y10, Y20 под воздействием динамических нагрузок f1(t) и f2(t).

Пусть заданы:

1.   Параметры системы m1, m2, c1, c2, k;

2.      Начальное состояние системы по координатам y10, y20 и по скоростям перемещения деталей V10, V20 в момент времени t=0 примем для определенности нулевыми;

.        Динамические нагрузки в виде сил, действующих на детали, как функции времени f1(t) и f2(t) соответственно.

Требуется:

1.   Исследовать переходные процессы в механической системе (решение задачи Коши);

2.      Провести аппроксимацию переходных процессов по функциям скоростей системы;

.        Вычислить кинетическую энергию, рассеиваемую на демпфере в единицу времени.

2. Этапы выполнения курсовой работы

 

.1 Исследование переходных процессов в механической системе


Для вычисления данного этапа необходимо найти:

1.      Координаты центра масс первой и второй деталей как функции времени y1(t) и y2(t) относительно состояния равновесия y10=0 и y20=0при

.        Скорости вертикального перемещения деталей V1(t), V2(t) на промежутке изменения

.        Построить графики функций y1(t), y2(t), V1(t), V2(t), где

.        Амплитуды (максимальные по модулю отклонения) от состояния равновесия и соответствующие моменты времени для каждой из четырех переменных (координат и скоростей деталей):


2.2 Аппроксимация переходных процессов


Средствами программ Mathcad Professional и Excel следует выполнить аппроксимацию переходных процессов по одной из функций у1(t), V1(t), y2(t), V2(t)

Предусмотреть выбор типа аппроксимирующей или аппроксимирующих функций (в случае кусочной аппроксимации) в зависимости от графика переходного процесса при изменении t [0;T], полученного на предыдущем этапе в системе Mathcad Professional. Данные для аппроксимации в Excel переслать (конвертировать) из документа Mathcad по согласованию с преподавателем для y1(t) или V1 (t) или у2(t) или V2(t). В каждом варианте курсовой работы задается для аппроксимации только одна функция, точнее один набор данных из указанных четырех, полученных на предыдущем этапе.

Получение аналитических (символьных) выражений для искомой функции y1(t) или VI(t) или y2(t) или V2(t) на каждом из выбранных временных интервалов из [0; Т] выполняется с использованием средства аппроксимации Excel (линия тренда), а также путем решения задачи оптимизации, точнее минимизации суммы квадратов отклонений подбором неопределенных коэффициентов (Сервис - Поиск решения).

.3 Интеграл энергии

На этом этапе необходимо вычислить кинетическую энергию, рассеиваемую на демпфере в единицу времени (мощность), по формуле:


Для расчета интеграла используются разные методы (по вариантам). Значение интеграла энергии вычисляется для трех вариантов изменяемого параметра (опорное расчетное значение, половинное и удвоенное).

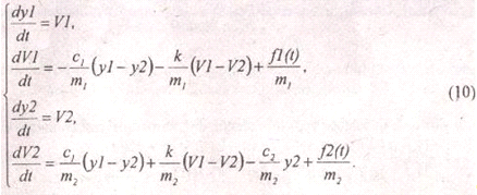
. Вывод системы дифференциальных уравнений

В соответствии со вторым законом Ньютона для первой и второй детали можно записать следующие дифференциальные уравнения


где в правой части первого уравнения - сумма сил, действующих на первую деталь, а во втором - сумма сил, действующих на вторую деталь, в проекции на вертикальную ось OY. Учитывая, что упругие силы пружин согласно закону Гука пропорциональны относительному перемещению тел (сжатию или растяжению упругих элементов, пружин), а силы, действующие на демпфер, пропорциональны скорости относительного перемещения деталей, получим из (1) систему двух дифференциальных уравнений второго порядка в виде


Для состояния равновесия механической системы характерно Y\ = Y2=Y1-Y2 = О, равенство нулю скоростей и ускорений при отсутствии внешних нагрузок f1(t) = f2(t) = 0. Тогда абсолютные координаты состояния равновесия можно найти из решения соответствующей системы статических уравнений.

Введем новые координаты относительных перемещений.


Проведя необходимые преобразования, получим систему двух дифференциальных уравнений второго порядка, описывающих относительные перемещения деталей


Вводя новые переменные (скорости перемещений) VI и V2 запишем систему двух дифференциальных уравнений второго порядка в виде нормализованной системы четырех дифференциальных уравнений первого порядка


Вводя обозначение функций - правых частей дифференциальных уравнений имеем

2.1.1 Вывод системы дифференциальных уравнений

В соответствии со вторым законом Ньютона для первой и второй детали можно записать следующие дифференциальные уравнения


где в правой части первого уравнения - сумма сил, действующих на первую деталь, а во втором - сумма сил, действующих на вторую деталь, в проекции на вертикальную ось OY. Учитывая, что упругие силы пружин согласно закону Гука пропорциональны относительному перемещению тел (сжатию или растяжению упругих элементов, пружин), а силы, действующие на демпфер, пропорциональны скорости относительного перемещения деталей, получим систему двух дифференциальных уравнений второго порядка в виде

,

.

Для состояния равновесия механической системы характерно , равенство нулю скоростей и ускорений при отсутствии внешних нагрузок f1(t)=f2(t)=0. Тогда абсолютные координаты состояния равновесия можно найти из решения соответствующей системы статических уравнений.

Введем новые координаты относительных перемещений.

Y1=Y1-Y10, Y1=Y10+y1,=Y2-Y20, Y2=Y20+y2.

Проведя необходимые преобразования, получим систему двух дифференциальных уравнений второго порядка, описывающих относительные перемещения деталей:

,

.

Вводя новые переменные (скорости перемещений) V1 и V2 запишем систему двух дифференциальных уравнений второго порядка в виде нормализованной системы четырех дифференциальных уравнений первого порядка:


Вводя обозначение функций - правых частей дифференциальных уравнений имеем:


Где fy1(V1)=V1;

fV1(y1,y2,V1,V2,t)=(-c1(y1-y2)-k(V1-V2)+f1(t))/m1;(V2)=V2;(y1,y2,V1,V2,t)=(c1(y1-y2)+k(V1-V2)-c2y2+f2(t))/m2.

2.1.2 Вычисление исходных параметров для решения задачи Коши

Функции f1(t) и f2(t) выбираем в качестве динамических нагрузок на интервале наблюдения переходных процессов t[0,T] такими, чтобы ненулевые силовые внешние воздействия были только на первой половине интервала наблюдения [0;T/2], а на второй половине [T/2;T] нагрузки отсутствовали, и при этом система совершала только собственные затухающие колебания.

Тогда выберем:


Согласно варианту:

F1(t)=P1sin3t, F2(t)=0,

m1=1000(кг), m2=100(кг),

d1=0.05, d2=0.03,

где - собственная частота колебаний усредненной массы при усредненной жесткости упругого элемента;

Pi=mig - вес первой и второй детали соответственно.

di- опорные перемещения.

Задав массы деталей m1 иm2, а также опорные перемещения d1иd2, определим опорные значения жесткости упругих элементов из уравнений m1g=c1d1, (m1+m2)g=c2d2в виде

, .

Для определения опорного значения коэффициента kдемпфирующего усилия F=k(-) воспользуемся формулой для грубой оценки этого коэффициента


Величину времени наблюдения за переходным процессом T оценим грубо по формуле T=3max{Tm1;Tm2}, где Tm1, Tm2 - периоды собственных колебаний первой и второй детали вычисляются по формуле:

, .

3. Обработка исходных данных и получение необходимых значений в MathCADProfessional

 

.1 Исходные данные




3.2 Решение задачи Коши Методом Эйлера в MathCAD



График изменения координат центра масс первого тела

График изменения координат центра масс второго тела

График изменения скорости второго тела


Максимальные отклонения от состояния равновесия


3.3 Решение задачи Коши Модифицированным Методом Эйлера в MathCAD




График изменения координат центра масс первого тела


График изменения координат центра масс второго тела

График изменения скорости первого тела


График изменения скорости второго тела


Максимальные отклонения от состояния равновесия

4. Обработка исходных данных и получение необходимых значений в EXCEL

 

4.1  Исходные данные


Вводим исходные данные:




m1=

1000

масса первого груза


m2=

200

масса второго груза


d1=

0,05

опорное перемещение 1 груза


d2=

0,03

опорное перемещение 2 груза


g=

9,8

ускорение свободного падения







Определим жесткость пружин



C1=

196000





C2=

392000











Вычисляем коэффициент демпфирования


k=

6640,78309











Периоды собственных колебаний равны


Tm1=

0,44857





Tm2=

0,14185











Определим величину времени Т



T=

1,34571











Определим собственную частоту колебаний 1 тела

w3=

22,13594












4.2 Решение задачи Коши Методом Эйлера в EXCEL


ht=

0,00673




t

f1(t)

f2(t)

y2

V1

V2

0,00000

0,00000

0

0,00000

0,00000

0,00000

0,00673

1454,25329

0

0,00000

0,00000

0,00000

0,01346

2876,30488

0

0,00000

0,00979

0,00000

0,02019

4234,66610

0

0,00000

0,02870

0,00219

0,02691

5499,25861

0

0,00001

0,05592

0,00854

0,03364

6642,08038

0

0,00007

0,09049

0,02055

0,04037

7637,82577

0

0,00021

0,13131

0,03893

0,04710

8464,44588

0

0,00047

0,17721

0,06361

0,05383

9103,63676

0

0,00090

0,22691

0,09368

0,06056

9541,24472

0

0,00153

0,27902

0,12752

0,06729

9767,57976

0

0,00239

0,33207

0,16305

0,07401

9777,63012

0

0,00349

0,38452

0,19789

0,08074

9571,17325

0

0,00482

0,43476

0,22971

0,08747

9152,78075

0

0,00636

0,48112

0,25635

0,09420

8531,71714

0

0,00809

0,52197

0,27612

0,10093

7721,73470

0

0,00995

0,55570

0,28782

0,10766

6740,76897

0

0,01188

0,58082

0,29085

0,11439

5610,54158

0

0,01384

0,59597

0,28516

0,12111

4356,07931

0

0,01576

0,60002

0,27118

0,12784

3005,15985

0

0,01758

0,59206

0,24972

0,13457

1587,69679

0

0,01926

0,57149

0,14130

135,07716

0

0,02076

0,53801

0,18855

0,14803

-1320,53350

0

0,02202

0,49167

0,15108

0,15476

-2746,90343

0

0,02304

0,43283

0,11040

0,16149

-4112,44834

0

0,02378

0,36218

0,06738

0,16821

-5386,93083

0

0,02424

0,28071

0,02268

0,17494

-6542,12986

0

0,02439

0,18970

-0,02312

0,18167

-7552,46573

0

0,02423

0,09065

-0,06959

0,18840

-8395,56646

0

0,02377

-0,01474

-0,11632

0,19513

-9052,76315

0

0,02298

-0,12461

-0,16286

0,20186

-9509,50343

0

0,02189

-0,23697

-0,20873

0,20859

-9755,67365

0

0,02048

-0,34977

-0,25330

0,21531

-9785,82282

0

0,01878

-0,46093

-0,29584

0,22204

-9599,28335

0

0,01679

-0,56837

-0,33552

0,22877

-9200,18581

0

0,01453

-0,67006

-0,37141

0,23550

-8597,36745

0

0,01203

-0,76406

-0,40256

0,24223

-7804,17657

0

0,00932

-0,84854

-0,42804

0,24896

-6838,17687

0

0,00644

-0,92184

-0,44703

0,25569

-5720,75861

0

0,00343

-0,98249

-0,45882

0,26241

-4476,66491

0

0,00035

-1,02922

-0,46292

0,26914

-3133,44388

0

-0,00277

-1,06103

-0,45907

0,27587

-1720,83863

0

-0,00586

-1,07718

-0,44724

0,28260

-270,12865

0

-0,00887

-1,07723

-0,42762

0,28933

1186,56282

0

-0,01174

-1,06106

-0,40067

0,29606

2616,98009

0

-0,01444

-1,02884

-0,36700

0,30279

3989,44926

0

-0,01691

-0,98106

-0,32740

0,30951

5273,57958

0

-0,01911

-0,91855

-0,28277

0,31624

6440,93640

0

-0,02101

-0,84239

-0,23410

0,32297

7465,67079

0

-0,02259

-0,75397

-0,18240

0,32970

8325,09195

0

-0,02382

-0,65489

-0,12871

0,33643

9000,16961

0

-0,02468

-0,54699

-0,07406

0,34316

9475,95543

0

-0,02518

-0,43225

-0,01943

0,34989

9741,91405

0

-0,02531

-0,31281

0,03421

0,35661

9792,15631

0

-0,02508

-0,19085

0,08597

0,36334

9625,56968

0

-0,02450

-0,06861

0,13497

0,37007

9245,84291

0

-0,02359

0,05170

0,18043

0,37680

8661,38435

0

-0,02238

0,16791

0,22160

0,38353

7885,13571

0

-0,02089

0,27797

0,25781

0,39026

6934,28558

0

-0,01915

0,37999

0,28848

0,39699

5829,88874

0

-0,01721

0,47225

0,31310

0,40371

4596,39998

0

-0,01511

0,55324

0,33130

0,41044

3261,13258

0

-0,01288

0,62171

0,34280

0,41717

1853,65354

0

-0,01057

0,67669

0,34748

0,42390

405,12882

0

-0,00823

0,71747

0,34535

0,43063

-1052,36671

0

-0,00591

0,74366

0,33658

0,43736

-2486,55955

0

-0,00364

0,75519

0,32149

0,44409

-3865,69222

0

-0,00148

0,75226

0,30054

0,45081

-5159,22640

0

0,00054

0,73540

0,27433

0,45754

-6338,51922

0

0,00239

0,70541

0,24358

0,46427

-7377,45745

0

0,00403

0,66336

0,20911

0,47100

-8253,03576

0

0,00543

0,61056

0,17183

0,47773

-8945,86611

0

0,00659

0,54853

0,13268

0,48446

-9440,60709

0

0,00748

0,47896

0,09263

0,49119

-9726,30358

0

0,00810

0,40370

0,05267

0,49791

-9796,62937

0

0,00846

0,32467

0,01374

0,50464

-9650,02724

0

0,00855

0,24383

-0,02325

0,51137

-9289,74339

0

0,00840

0,16319

-0,05745

0,51810

-8723,75566

0

0,00801

0,08467

-0,08812

0,52483

-7964,59676

0

0,00742

0,01015

-0,11459

0,53156

-7029,07685

0,00664

-0,05866

-0,13631

0,53829

-5937,91125

0

0,00573

-0,12017

-0,15285

0,54501

-4715,26178

0

0,00470

-0,17302

-0,16390

0,55174

-3388,20170

0

0,00360

-0,21607

-0,16927

0,55847

-1986,11627

0

0,00246

-0,24842

-0,16892

0,56520

-540,05203

0

0,00132

-0,26947

-0,16293

0,57193

917,97065

0

0,00022

-0,27886

-0,15152

0,57866

2355,66659

0

-0,00080

-0,27658

-0,13503

0,58539

3741,20073

0

-0,00170

-0,26285

-0,11391

0,59211

5043,89301

0

-0,00247

-0,23822

-0,08875

0,59884

6234,89777

0

-0,00307

-0,20347

-0,06020

0,60557

7287,84245

0

-0,00347

-0,15967

-0,02903

0,61230

8179,41156

0

-0,00367

-0,10807

0,00395

0,61903

8889,86299

0

-0,00364

-0,05014

0,03788

0,62576

9403,46512

0

-0,00339

0,01249

0,07184

0,63249

9708,84521

0

-0,00290

0,07807

0,10494

0,63921

9799,24117

0

-0,00220

0,14478

0,13629

0,64594

9672,65138

0

-0,00128

0,21076

0,16504

0,65267

9331,87891

0

-0,00017

0,27415

0,19039

0,65940

8784,46954

0

0,00111

0,33314

0,21162

0,66613

8042,54461

0

0,00254

0,38602

0,22811

0,67286

7122,53265

0

0,00407

0,43120

0,23934

0,67959

0,00000

0

0,00568

0,46727

0,24492

0,68631

0,00000

0

0,00733

0,45236

0,24459

0,69304

0,00000

0

0,00897

0,43612

0,22913

0,69977

0,00000

0

0,01052

0,41807

0,20101

0,70650

0,00000

0

0,01187

0,39774

0,16400

0,71323

0,00000

0

0,01297

0,37473

0,12250

0,71996

0,00000

0

0,01380

0,34882

0,08095

0,72669

0,00000

0

0,01434

0,31998

0,04322

0,73341

0,00000

0

0,01463

0,28836

0,01218

0,74014

0,00000

0

0,01471

0,25432

-0,01055

0,74687

0,00000

0

0,01464

0,21832

-0,02464

0,75360

0,00000

0

0,01448

0,18096

-0,03093

0,76033

0,00000

0

0,01427

0,14283

-0,03119

0,76706

0,00000

0

0,01406

0,10451

-0,02777

0,77379

0,00000

0

0,01387

0,06651

-0,02319

0,78051

0,00000

0

0,01372

0,02924

-0,01979

0,78724

0,00000

0

0,01358

-0,00701

-0,01943

0,79397

0,00000

0

0,01345

-0,04206

-0,02333

0,80070

0,00000

0

0,01330

-0,07582

-0,03190

0,80743

0,00000

0

0,01308

-0,10830

-0,04487

0,81416

0,00000

0

0,01278

-0,13951

-0,06131

0,82089

0,00000

0

0,01237

-0,16950

-0,07989

0,82761

0,00000

0

0,01183

-0,19829

-0,09904

0,83434

0,00000

0

0,01116

-0,22585

-0,11723

0,84107

0,00000

0

0,01037

-0,25211

-0,13314

0,84780

0,00000

0

0,00948

-0,27694

-0,14577

0,85453

0,00000

0

0,00850

-0,30018

-0,15459

0,86126

0,00000

0

0,00746

-0,32160

-0,15952

0,86799

0,00000

0

0,00638

-0,34100

-0,16087

0,87471

0,00000

0

0,00530

-0,35815

-0,15930

0,88144

0,00000

0

0,00423

-0,37287

-0,15562

0,88817

0,00000

0

0,00318

-0,38500

-0,15074

0,89490

0,00000

0

0,00217

-0,39444

-0,14549

0,90163

0,00000

0

0,00119

-0,40115

-0,14054

0,90836

0,00000

0

0,00024

-0,40513

-0,13633

0,91509

0,00000

0

-0,00067

-0,40643

-0,13304

0,92181

0,00000

0

-0,00157

-0,40514

0,92854

0,00000

0

-0,00245

-0,40137

-0,12875

0,93527

0,00000

0

-0,00331

-0,39525

-0,12706

0,94200

0,00000

0

-0,00417

-0,38691

-0,12505

0,94873

0,00000

0

-0,00501

-0,37647

-0,12225

0,95546

0,00000

0

-0,00583

-0,36405

-0,11826

0,96219

0,00000

0

-0,00663

-0,34975

-0,11283

0,96891

0,00000

0

-0,00739

-0,33367

-0,10582

0,97564

0,00000

0

-0,00810

-0,31589

-0,09729

0,98237

0,00000

0

-0,00875

-0,29650

-0,08740

0,98910

0,00000

0

-0,00934

-0,27560

-0,07647

0,99583

0,00000

0

-0,00986

-0,25328

-0,06482

1,00256

0,00000

0

-0,01029

-0,22968

-0,05284

1,00929

0,00000

0

-0,01065

-0,20492

-0,04088

1,01601

0,00000

0

-0,01092

-0,17917

-0,02921

1,02274

0,00000

0

-0,01112

-0,15258

-0,01805

1,02947

0,00000

0

-0,01124

-0,12536

-0,00750

1,03620

0,00000

0

-0,01129

-0,09769

0,00240

1,04293

0,00000

0

-0,01128

-0,06977

0,01172

1,04966

0,00000

0

-0,01120

-0,04179

0,02053

1,05639

0,00000

0

-0,01106

-0,01394

0,02897

1,06311

0,00000

0

-0,01086

0,01359

0,03716

1,06984

0,00000

0

-0,01061

0,04064

0,04520

1,07657

0,00000

0

-0,01031

0,06705

0,05314

1,08330

0,00000

0

-0,00995

0,09267

0,06099

1,09003

0,00000

0

-0,00954

0,11738

0,06872

1,09676

0,00000

0

-0,00908

0,14105

0,07623

1,10349

0,00000

0

-0,00857

0,16356

0,08342

1,11021

0,00000

0

-0,00801

0,18481

0,09013

1,11694

0,00000

0

-0,00740

0,20471

0,09625

1,12367

0,00000

0

-0,00675

0,22314

0,10165

1,13040

0,00000

0

-0,00607

0,24004

0,10624

1,13713

0,00000

0

-0,00535

0,25530

0,10994

1,14386

0,00000

0

-0,00461

0,26886

0,11273

1,15059

0,00000

0

-0,00385

0,28065

0,11463

1,15731

0,00000

0

-0,00308

0,29061

0,11566

1,16404

0,00000

0

-0,00231

0,29870

0,11587

1,17077

0,00000

0

-0,00153

0,30488

0,11535

1,17750

0,00000

0

-0,00075

0,30915

0,11415

1,18423

0,00000

0

0,00002

0,31148

0,11235

1,19096

0,00000

0

0,00077

0,31191

0,11000

1,19769

0,00000

0

0,00151

0,31044

0,10713

1,20441

0,00000

0

0,00224

0,30711

0,10377

1,21114

0,00000

0

0,00293

0,30198

0,09993

1,21787

0,00000

0

0,00361

0,29511

0,09562

1,22460

0,00000

0

0,00425

0,28655

0,09083

1,23133

0,00000

0

0,00486

0,27640

0,08557

1,23806

0,00000

0

0,00544

0,26472

0,07984

1,24479

0,00000

0

0,00597

0,25162

0,07365

1,25151

0,00000

0

0,00647

0,23719

0,06704

1,25824

0,00000

0

0,00692

0,22152

0,06004

1,26497

0,00000

0

0,00732

0,20474

0,05270

1,27170

0,00000

0

0,00768

0,18694

0,04510

1,27843

0,00000

0

0,00798

0,16825

0,03728

1,28516

0,00000

0

0,00823

0,14879

0,02932

1,29189

0,00000

0

0,00843

0,12868

0,02130

1,29861

0,00000

0

0,00857

0,10804

0,01328

1,30534

0,00000

0

0,00866

0,08702

0,00531

1,31207

0,00000

0

0,00870

0,06574

-0,00255

1,31880

0,00000

0,00868

0,04434

-0,01025

1,32553

0,00000

0

0,00861

0,02294

-0,01776

1,33226

0,00000

0

0,00849

0,00168

-0,02504

1,33899

0,00000

0

0,00832

-0,01932

-0,03206

1,34571

0,00000

0

0,00811

-0,03993

-0,03879


Определим амплитудные показания исследуемых величин

f1(t)max

f2(t)max

y1max

y2max

V1max

V2max

9799,241

0,000

0,061

0,024

1,077

0,463


График изменения координат центра масс первого тела


График изменения координат центра масс второго тела


График изменения скорости первого тела


График изменения скорости второго тела

4.3 Решение задачи Коши Модифицированным Методом Эйлера в EXCEL


ht=

0,0134571










t

f1(t)

f2(t)

y1

y2

V1

V2

y1i+1

y2i+1

V1i+1

V2i+1

0,000

0,000

0

0,000

0,000

0,000

0,000

0,000

0,000

0,000

0,000

0,013

2918,244

0

0,000

0,000

0,020

0,000

0,000

0,000

0,057

0,016

0,027

5571,713

0

0,001

0,000

0,074

0,028

0,002

0,000

0,144

0,071

0,040

7719,655

0

0,002

0,001

0,157

0,081

0,004

0,002

0,251

0,137

0,054

9167,185

0

0,005

0,002

0,258

0,139

0,008

0,004

0,365

0,193

0,067

9782,968

0

0,009

0,004

0,365

0,190

0,014

0,007

0,471

0,233

0,081

9511,133

0

0,015

0,007

0,463

0,227

0,021

0,010

0,553

0,255

0,094

8376,344

0

0,021

0,011

0,539

0,248

0,029

0,014

0,600

0,258

0,108

6481,561

0

0,029

0,014

0,580

0,249

0,037

0,017

0,600

0,239

0,121

3998,700

0

0,037

0,017

0,577

0,229

0,045

0,020

0,550

0,196

0,135

1153,033

0

0,045

0,020

0,525

0,186

0,052

0,023

0,448

0,132

0,148

-1797,250

0

0,051

0,022

0,423

0,123

0,057

0,024

0,299

0,051

0,161

-4584,466

0

0,056

0,023

0,277

0,043

0,060

0,024

0,110

-0,042

0,175

-6955,730

0

0,059

0,023

0,094

-0,047

0,060

0,023

-0,104

-0,139

0,188

-8695,893

0

0,059

0,022

-0,114

-0,141

0,057

0,020

-0,329

-0,233

0,202

-9647,070

0

0,056

0,020

-0,331

-0,232

0,051

0,017

-0,548

-0,316

0,215

-9722,960

0

0,050

0,016

-0,541

-0,312

0,042

0,012

-0,742

-0,381

0,229

-8916,675

0

0,041

0,011

-0,727

-0,374

0,031

0,006

-0,897

-0,423

0,242

-7301,373

0

0,030

0,006

-0,875

-0,413

0,018

0,000

-0,999

-0,437

0,256

-5023,609

0

0,017

0,000

-0,972

-0,425

0,004

-0,005

-1,041

-0,423

0,269

-2290,049

0

0,004

-0,005

-1,010

-0,411

-0,010

-0,011

-1,017

-0,382

0,283

651,289

0

-0,010

-0,011

-0,985

-0,369

-0,023

-0,016

-0,930

-0,315

0,296

3533,535

0

-0,023

-0,015

-0,899

-0,304

-0,035

-0,020

-0,785

-0,229

0,310

6095,181

0

-0,034

-0,019

-0,758

-0,220

-0,044

-0,022

-0,594

-0,130

0,323

8103,804

0

-0,043

-0,021

-0,574

-0,124

-0,051

-0,023

-0,371

-0,026

0,336

9377,162

0

-0,049

-0,022

-0,359

-0,023

-0,054

-0,023

-0,134

0,074

0,350

9799,721

0

-0,022

-0,130

0,074

-0,054

-0,021

0,099

0,164

0,363

9333,142

0

-0,053

-0,020

0,094

0,160

-0,052

-0,018

0,310

0,237

0,377

8019,758

0

-0,050

-0,018

0,297

0,229

-0,046

-0,015

0,485

0,286

0,390

5978,734

0

-0,045

-0,014

0,465

0,277

-0,039

-0,011

0,611

0,311

0,404

3395,254

0

-0,038

-0,010

0,586

0,299

-0,030

-0,006

0,681

0,308

0,417

503,719

0

-0,029

-0,006

0,653

0,296

-0,020

-0,002

0,691

0,281

0,431

-2433,519

0

-0,020

-0,002

0,663

0,269

-0,011

0,001

0,645

0,232

0,444

-5149,962

0

-0,011

0,001

0,619

0,222

-0,003

0,004

0,550

0,168

0,458

-7399,143

0

-0,003

0,004

0,529

0,160

0,004

0,006

0,418

0,094

0,471

-8976,993

0

0,003

0,005

0,403

0,090

0,008

0,007

0,263

0,019

0,484

-9740,352

0

0,007

0,006

0,255

0,018

0,011

0,006

0,102

-0,050

0,498

-9619,960

0

0,010

0,006

0,102

-0,048

0,011

0,005

-0,050

-0,107

0,511

-8626,739

0

0,010

0,005

-0,042

-0,102

0,010

0,003

-0,177

-0,147

0,525

-6850,807

0

0,009

0,003

-0,163

-0,139

0,006

0,001

-0,268

-0,165

0,538

-4453,294

0

0,006

0,001

-0,248

-0,156

0,002

-0,001

-0,313

-0,160

0,552

-1651,729

0

0,002

-0,001

-0,290

-0,150

-0,002

-0,003

-0,309

-0,134

0,565

1299,698

0

-0,002

-0,003

-0,285

-0,124

-0,006

-0,005

-0,257

-0,088

0,579

4133,203

0

-0,006

-0,004

-0,235

-0,079

-0,009

-0,005

-0,163

-0,028

0,592

6591,698

0

-0,008

-0,005

-0,144

-0,022

-0,010

-0,005

-0,037

0,039

0,606

8452,122

0

-0,010

-0,005

-0,024

0,043

-0,010

-0,004

0,107

0,108

0,619

9545,677

0

-0,009

-0,004

0,113

0,109

-0,008

-0,002

0,254

0,170

0,632

9773,144

0

-0,007

-0,002

0,252

0,168

-0,003

0,000

0,389

0,219

0,646

9113,884

0

-0,002

0,001

0,380

0,214

0,003

0,003

0,496

0,250

0,659

7627,713

0

0,004

0,004

0,480

0,242

0,010

0,007

0,563

0,259

0,673

5449,472

0

0,011

0,007

0,542

0,249

0,018

0,010

0,582

0,243

0,686

0,000

0

0,018

0,010

0,538

0,233

0,025

0,013

0,493

0,189

0,700

0,000

0

0,025

0,013

0,487

0,167

0,032

0,015

0,430

0,106

0,713

0,000

0

0,031

0,015

0,424

0,110

0,037

0,016

0,355

0,070

0,727

0,000

0

0,037

0,016

0,351

0,078

0,041

0,017

0,275

0,053

0,740

0,000

0

0,041

0,017

0,272

0,055

0,044

0,018

0,192

0,030

0,754

0,000

0

0,044

0,018

0,191

0,029

0,046

0,018

0,108

-0,001

0,767

0,000

0

0,046

0,018

0,108

-0,003

0,047

0,018

0,025

-0,035

0,781

0,000

0,047

0,018

0,025

-0,035

0,047

0,017

-0,057

-0,066

0,794

0,000

0

0,047

0,017

-0,056

-0,064

0,046

0,016

-0,135

-0,092

0,807

0,000

0

0,045

0,016

-0,133

-0,090

0,044

0,015

-0,208

-0,114

0,821

0,000

0

0,043

0,014

-0,205

-0,113

0,040

0,013

-0,273

-0,134

0,834

0,000

0

0,040

0,013

-0,269

-0,132

0,036

0,011

-0,329

-0,150

0,848

0,000

0

0,036

0,011

-0,325

-0,149

0,031

0,009

-0,377

-0,163

0,861

0,000

0

0,031

0,009

-0,372

-0,161

0,026

0,007

-0,414

-0,171

0,875

0,000

0

0,026

0,007

-0,408

-0,169

0,020

0,004

-0,440

-0,175

0,888

0,000

0

0,020

0,004

-0,434

-0,172

0,014

0,002

-0,455

-0,174

0,902

0,000

0

0,014

0,002

-0,450

-0,172

0,008

0,000

-0,459

-0,170

0,915

0,000

0

0,008

0,000

-0,454

-0,168

0,002

-0,003

-0,453

-0,162

0,929

0,000

0

0,002

-0,003

-0,447

-0,160

-0,004

-0,005

-0,436

-0,150

0,942

0,000

0

-0,004

-0,005

-0,431

-0,148

-0,010

-0,007

-0,410

-0,135

0,955

0,000

0

-0,010

-0,007

-0,405

-0,134

-0,015

-0,008

-0,375

-0,118

0,969

0,000

0

-0,015

-0,008

-0,371

-0,117

-0,020

-0,010

-0,332

-0,099

0,982

0,000

0

-0,020

-0,010

-0,329

-0,098

-0,024

-0,011

-0,284

-0,078

0,996

0,000

0

-0,024

-0,011

-0,281

-0,077

-0,028

-0,012

-0,230

-0,055

1,009

0,000

0

-0,027

-0,012

-0,228

-0,055

-0,030

-0,013

-0,173

-0,033

1,023

0,000

0

-0,030

-0,012

-0,171

-0,032

-0,032

-0,013

-0,113

-0,010

1,036

0,000

0

-0,032

-0,013

-0,112

-0,010

-0,033

-0,013

-0,053

0,013

1,050

0,000

0

-0,033

-0,013

-0,053

0,012

-0,034

-0,012

0,006

0,034

1,063

0,000

0

-0,033

-0,012

0,006

0,033

-0,033

-0,012

0,063

0,054

1,077

0,000

0

-0,033

-0,012

0,062

0,053

-0,032

-0,011

0,117

0,071

1,090

0,000

0

-0,032

-0,011

0,115

0,071

-0,030

-0,010

0,166

0,087

1,103

0,000

0

-0,030

-0,010

0,164

0,086

-0,028

-0,009

0,210

0,100

1,117

0,000

0

-0,027

-0,009

0,208

0,099

-0,024

-0,007

0,248

0,111

1,130

0,000

0

-0,024

-0,007

0,245

0,109

-0,021

-0,006

0,279

0,118

1,144

0,000

0

-0,021

-0,006

0,275

0,117

-0,017

-0,004

0,302

0,123

1,157

0,000

0

-0,017

-0,004

0,298

0,121

-0,013

-0,002

0,318

0,124

1,171

0,000

0

-0,013

-0,002

0,314

0,123

-0,008

-0,001

0,325

0,123

1,184

0,000

0

-0,008

-0,001

0,322

0,121

-0,004

0,001

0,325

0,119

1,198

0,000

0

-0,004

0,001

0,322

0,117

0,000

0,002

0,318

0,112

1,211

0

0,000

0,002

0,314

0,111

0,005

0,004

0,303

0,103

1,225

0,000

0

0,005

0,004

0,300

0,102

0,009

0,005

0,282

0,092

1,238

0,000

0

0,008

0,005

0,279

0,091

0,012

0,006

0,255

0,079

1,252

0,000

0

0,012

0,006

0,252

0,078

0,015

0,007

0,223

0,064

1,265

0,000

0

0,015

0,007

0,221

0,064

0,018

0,008

0,187

0,049

1,278

0,000

0

0,018

0,008

0,185

0,048

0,020

0,009

0,148

0,033

1,292

0,000

0

0,020

0,009

0,146

0,033

0,022

0,009

0,106

0,017

1,305

0,000

0

0,022

0,009

0,105

0,017

0,023

0,009

0,064

0,001

1,319

0,000

0

0,023

0,009

0,063

0,001

0,024

0,009

0,021

-0,015

1,332

0,000

0

0,024

0,009

0,021

-0,015

0,024

0,009

-0,020

-0,030

1,346

0,000

0

0,024

0,009

-0,020

-0,029














f1(t)max

f2(t)max

y1max

y2max

V1max

V2max


9799,721

0

0,059

0,023

1,010

0,425


График изменения координат центра масс первого тела



График изменения координат центра масс второго тела


График изменения скорости первого тела



График изменения скорости второго тела



5. Определение времени полного затухания колебаний системы в EXCEL


ht=

0,0134571










t

f1(t)

f2(t)

y1

y2

V1

V2

y1i+1

y2i+1

V1i+1

V2i+1

0,000

0,000

0

0,000

0,000

0,000

0,000

0,000

0,000

0,000

0,000

0,013

2918,244

0

0,000

0,000

0,020

0,000

0,000

0,000

0,057

0,016

0,027

5571,713

0

0,001

0,000

0,074

0,028

0,002

0,000

0,144

0,071

0,040

7719,655

0

0,002

0,001

0,157

0,081

0,004

0,002

0,251

0,137

0,054

9167,185

0

0,005

0,002

0,258

0,139

0,008

0,004

0,365

0,193

0,067

9782,968

0

0,009

0,004

0,365

0,190

0,014

0,007

0,471

0,233

0,081

9511,133

0

0,015

0,007

0,463

0,227

0,021

0,010

0,553

0,255

0,094

8376,344

0

0,021

0,011

0,539

0,248

0,029

0,014

0,600

0,258

0,108

6481,561

0

0,029

0,014

0,580

0,249

0,037

0,017

0,600

0,239

0,121

3998,700

0

0,037

0,017

0,577

0,229

0,045

0,020

0,550

0,196

0,135

1153,033

0

0,045

0,020

0,525

0,186

0,052

0,023

0,448

0,132

0,148

-1797,250

0

0,051

0,022

0,423

0,123

0,057

0,024

0,299

0,051

0,161

-4584,466

0

0,056

0,023

0,277

0,043

0,060

0,024

0,110

-0,042

0,175

-6955,730

0

0,059

0,023

0,094

-0,047

0,060

0,023

-0,104

-0,139

0,188

-8695,893

0

0,059

0,022

-0,114

-0,141

0,057

0,020

-0,329

-0,233

0,202

-9647,070

0

0,056

0,020

-0,331

-0,232

0,051

0,017

-0,548

-0,316

0,215

-9722,960

0

0,050

0,016

-0,541

-0,312

0,042

0,012

-0,742

-0,381

0,229

-8916,675

0

0,041

0,011

-0,727

-0,374

0,031

0,006

-0,897

-0,423

0,242

-7301,373

0

0,006

-0,875

-0,413

0,018

0,000

-0,999

-0,437

0,256

-5023,609

0

0,017

0,000

-0,972

-0,425

0,004

-0,005

-1,041

-0,423

0,269

-2290,049

0

0,004

-0,005

-1,010

-0,411

-0,010

-0,011

-1,017

-0,382

0,283

651,289

0

-0,010

-0,011

-0,985

-0,369

-0,023

-0,016

-0,930

-0,315

0,296

3533,535

0

-0,023

-0,015

-0,899

-0,304

-0,035

-0,020

-0,785

-0,229

0,310

6095,181

0

-0,034

-0,019

-0,758

-0,220

-0,044

-0,022

-0,594

-0,130

0,323

8103,804

0

-0,043

-0,021

-0,574

-0,124

-0,051

-0,023

-0,371

-0,026

0,336

9377,162

0

-0,049

-0,022

-0,359

-0,023

-0,054

-0,023

-0,134

0,074

0,350

9799,721

0

-0,053

-0,022

-0,130

0,074

-0,054

-0,021

0,099

0,164

0,363

9333,142

0

-0,053

-0,020

0,094

0,160

-0,052

-0,018

0,310

0,237

0,377

8019,758

0

-0,050

-0,018

0,297

0,229

-0,046

-0,015

0,485

0,286

0,390

5978,734

0

-0,045

-0,014

0,465

0,277

-0,039

-0,011

0,611

0,311

0,404

3395,254

0

-0,038

-0,010

0,586

0,299

-0,030

-0,006

0,681

0,308

0,417

503,719

0

-0,029

-0,006

0,653

0,296

-0,020

-0,002

0,691

0,281

0,431

-2433,519

0

-0,020

-0,002

0,663

0,269

-0,011

0,001

0,645

0,232

0,444

-5149,962

0

-0,011

0,001

0,619

0,222

-0,003

0,004

0,550

0,168

0,458

-7399,143

0

-0,003

0,004

0,529

0,160

0,004

0,006

0,418

0,094

0,471

-8976,993

0

0,003

0,005

0,403

0,090

0,008

0,007

0,263

0,019

0,484

-9740,352

0

0,007

0,006

0,255

0,018

0,011

0,006

0,102

-0,050

0,498

-9619,960

0

0,010

0,006

0,102

-0,048

0,011

0,005

-0,050

-0,107

0,511

-8626,739

0

0,010

0,005

-0,042

-0,102

0,010

0,003

-0,177

-0,147

0,525

-6850,807

0

0,009

0,003

-0,163

-0,139

0,006

0,001

-0,268

-0,165

0,538

-4453,294

0

0,006

0,001

-0,248

-0,156

0,002

-0,001

-0,313

-0,160

0,552

-1651,729

0

0,002

-0,001

-0,290

-0,150

-0,002

-0,003

-0,309

-0,134

0,565

1299,698

0

-0,002

-0,003

-0,285

-0,124

-0,006

-0,005

-0,257

-0,088

0,579

4133,203

0

-0,006

-0,004

-0,235

-0,079

-0,009

-0,005

-0,163

-0,028

0,592

6591,698

0

-0,008

-0,005

-0,144

-0,022

-0,010

-0,005

-0,037

0,039

0,606

8452,122

0

-0,010

-0,005

-0,024

0,043

-0,010

-0,004

0,107

0,108

0,619

9545,677

0

-0,009

-0,004

0,113

0,109

-0,008

-0,002

0,254

0,170

0,632

9773,144

0

-0,007

-0,002

0,252

0,168

-0,003

0,000

0,389

0,219

0,646

9113,884

0

-0,002

0,001

0,380

0,214

0,003

0,003

0,496

0,250

0,659

7627,713

0

0,004

0,004

0,480

0,242

0,010

0,007

0,563

0,259

0,673

5449,472

0,011

0,007

0,542

0,249

0,018

0,010

0,582

0,243

0,686

0,000

0

0,018

0,010

0,538

0,233

0,025

0,013

0,493

0,189

0,700

0,000

0

0,025

0,013

0,487

0,167

0,032

0,015

0,430

0,106

0,713

0,000

0

0,031

0,015

0,424

0,110

0,037

0,016

0,355

0,070

0,727

0,000

0

0,037

0,016

0,351

0,078

0,041

0,017

0,275

0,053

0,740

0,000

0

0,041

0,017

0,272

0,055

0,044

0,018

0,192

0,030

0,754

0,000

0

0,044

0,018

0,191

0,029

0,046

0,018

0,108

-0,001

0,767

0,000

0

0,046

0,018

0,108

-0,003

0,047

0,018

0,025

-0,035

0,781

0,000

0

0,047

0,018

0,025

-0,035

0,047

0,017

-0,057

-0,066

0,794

0,000

0

0,047

0,017

-0,056

-0,064

0,046

0,016

-0,135

-0,092

0,807

0,000

0

0,045

0,016

-0,133

-0,090

0,044

0,015

-0,208

-0,114

0,821

0,000

0

0,043

0,014

-0,205

-0,113

0,040

0,013

-0,273

-0,134

0,834

0,000

0

0,040

0,013

-0,269

-0,132

0,036

0,011

-0,329

-0,150

0,848

0,000

0

0,036

0,011

-0,325

-0,149

0,031

0,009

-0,377

-0,163

0,861

0,000

0

0,031

0,009

-0,372

-0,161

0,026

0,007

-0,414

-0,171

0,875

0,000

0

0,026

0,007

-0,408

-0,169

0,020

0,004

-0,440

-0,175

0,888

0,000

0

0,020

0,004

-0,434

-0,172

0,014

0,002

-0,455

-0,174

0,902

0,000

0

0,014

0,002

-0,450

-0,172

0,008

0,000

-0,459

-0,170

0,915

0,000

0

0,008

0,000

-0,454

-0,168

0,002

-0,003

-0,453

-0,162

0,929

0,000

0

0,002

-0,003

-0,447

-0,160

-0,004

-0,005

-0,436

-0,150

0,942

0,000

0

-0,004

-0,005

-0,431

-0,148

-0,010

-0,007

-0,410

-0,135

0,955

0,000

0

-0,010

-0,007

-0,405

-0,134

-0,015

-0,008

-0,375

-0,118

0,969

0,000

0

-0,015

-0,008

-0,371

-0,117

-0,020

-0,010

-0,332

-0,099

0,982

0,000

0

-0,020

-0,010

-0,329

-0,098

-0,024

-0,011

-0,284

-0,078

0,996

0,000

0

-0,024

-0,011

-0,281

-0,077

-0,028

-0,012

-0,230

-0,055

1,009

0,000

0

-0,027

-0,012

-0,228

-0,055

-0,030

-0,013

-0,173

-0,033

1,023

0,000

0

-0,030

-0,012

-0,171

-0,032

-0,032

-0,013

-0,113

-0,010

1,036

0,000

0

-0,032

-0,013

-0,112

-0,010

-0,033

-0,013

-0,053

0,013

1,050

0,000

0

-0,033

-0,013

-0,053

0,012

-0,034

-0,012

0,006

0,034

1,063

0,000

0

-0,033

-0,012

0,006

0,033

-0,033

-0,012

0,063

0,054

1,077

0,000

0

-0,033

-0,012

0,062

0,053

-0,032

-0,011

0,117

0,071

1,090

0,000

0

-0,032

-0,011

0,115

0,071

-0,030

-0,010

0,166

0,087

1,103

0

-0,030

-0,010

0,164

0,086

-0,028

-0,009

0,210

0,100

1,117

0,000

0

-0,027

-0,009

0,208

0,099

-0,024

-0,007

0,248

0,111

1,130

0,000

0

-0,024

-0,007

0,245

0,109

-0,021

-0,006

0,279

0,118

1,144

0,000

0

-0,021

-0,006

0,275

0,117

-0,017

-0,004

0,302

0,123

1,157

0,000

0

-0,017

-0,004

0,298

0,121

-0,013

-0,002

0,318

0,124

1,171

0,000

0

-0,013

-0,002

0,314

0,123

-0,008

-0,001

0,325

0,123

1,184

0,000

0

-0,008

-0,001

0,322

0,121

-0,004

0,001

0,325

0,119

1,198

0,000

0

-0,004

0,001

0,322

0,117

0,000

0,002

0,318

0,112

1,211

0,000

0

0,000

0,002

0,314

0,111

0,005

0,004

0,303

0,103

1,225

0,000

0

0,005

0,004

0,300

0,102

0,009

0,005

0,282

0,092

1,238

0,000

0

0,008

0,005

0,279

0,091

0,012

0,006

0,255

0,079

1,252

0,000

0

0,012

0,006

0,252

0,078

0,015

0,007

0,223

0,064

1,265

0,000

0

0,015

0,007

0,221

0,064

0,018

0,008

0,187

0,049

1,278

0,000

0

0,018

0,008

0,185

0,048

0,020

0,009

0,148

0,033

1,292

0,000

0

0,020

0,009

0,146

0,033

0,022

0,009

0,106

0,017

1,305

0,000

0

0,022

0,009

0,105

0,017

0,023

0,009

0,064

0,001

1,319

0,000

0

0,023

0,009

0,063

0,001

0,024

0,009

0,021

-0,015

1,332

0,000

0

0,024

0,009

0,021

-0,015

0,024

0,009

-0,020

-0,030

1,346

0,000

0

0,024

0,009

-0,020

-0,029

0,023

0,008

-0,060

-0,043

1,359

0,000

0

0,023

0,008

-0,059

-0,043

0,022

0,008

-0,097

-0,055

1,373

0,000

0

0,022

0,007

-0,096

-0,055

0,021

0,007

-0,131

-0,066

1,386

0,000

0

0,020

0,007

-0,129

-0,065

0,019

0,006

-0,161

-0,074

1,400

0,000

0

0,019

0,006

-0,159

-0,074

0,016

0,005

-0,186

-0,081

1,413

0,000

0

0,016

0,005

-0,183

-0,080

0,014

0,004

-0,205

-0,086

1,426

0,000

0

0,014

0,004

-0,203

-0,084

0,011

0,002

-0,220

-0,088

1,440

0,000

0

0,011

0,002

-0,217

-0,087

0,008

0,001

-0,229

-0,088

1,453

0,000

0

0,008

0,001

-0,226

-0,087

0,005

0,000

-0,232

-0,086

1,467

0,000

0

0,005

0,000

-0,229

-0,085

0,002

-0,001

-0,230

-0,083

1,480

0,000

0

0,002

-0,001

-0,227

-0,082

-0,001

-0,002

-0,222

-0,077

1,494

0,000

0

-0,001

-0,002

-0,220

-0,076

-0,004

-0,003

-0,210

-0,070

1,507

0,000

0

-0,004

-0,003

-0,208

-0,069

-0,007

-0,004

-0,193

-0,062

1,521

0,000

0

-0,007

-0,004

-0,191

-0,061

-0,010

-0,005

-0,173

-0,052

0,000

0

-0,009

-0,005

-0,171

-0,051

-0,012

-0,005

-0,149

-0,041

1,548

0,000

0

-0,012

-0,005

-0,147

-0,041

-0,014

-0,006

-0,122

-0,030

1,561

0,000

0

-0,013

-0,006

-0,121

-0,030

-0,015

-0,006

-0,093

-0,019

1,574

0,000

0

-0,015

-0,006

-0,092

-0,019

-0,016

-0,006

-0,064

-0,007

1,588

0,000

0

-0,016

-0,006

-0,063

-0,007

-0,017

-0,006

-0,033

0,004

1,601

0,000

0

-0,017

-0,006

-0,033

0,004

-0,017

-0,006

-0,003

0,015

1,615

0,000

0

-0,017

-0,006

-0,003

0,015

-0,017

-0,006

0,026

0,025

1,628

0,000

0

-0,017

-0,006

0,025

0,025

-0,016

-0,006

0,054

0,034

1,642

0,000

0

-0,016

-0,006

0,053

0,034

-0,015

-0,005

0,079

0,042

1,655

0,000

0

-0,015

-0,005

0,078

0,042

-0,014

-0,005

0,102

0,049

1,669

0,000

0

-0,014

-0,004

0,101

0,049

-0,013

-0,004

0,122

0,055

1,682

0,000

0

-0,013

-0,004

0,120

0,054

-0,011

-0,003

0,138

0,059

1,696

0,000

0

-0,011

-0,003

0,136

0,058

-0,009

-0,002

0,150

0,062

1,709

0,000

0

-0,009

-0,002

0,149

0,061

-0,007

-0,001

0,159

0,063

1,723

0,000

0

-0,007

-0,001

0,157

0,062

-0,005

-0,001

0,164

0,062

1,736

0,000

0

-0,005

-0,001

0,162

0,062

-0,002

0,000

0,165

0,061

1,749

0,000

0

-0,002

0,000

0,163

0,060

0,000

0,001

0,162

0,057

1,763

0,000

0

0,000

0,001

0,160

0,057

0,002

0,002

0,155

0,053

1,776

0,000

0

0,002

0,002

0,153

0,052

0,004

0,003

0,145

0,048

1,790

0,000

0

0,004

0,002

0,143

0,047

0,006

0,003

0,132

0,041

1,803

0,000

0

0,006

0,003

0,130

0,041

0,007

0,004

0,116

0,034

1,817

0,000

0

0,007

0,004

0,115

0,034

0,009

0,004

0,098

0,026

1,830

0,000

0

0,009

0,004

0,097

0,026

0,010

0,004

0,079

0,018

1,844

0,000

0

0,010

0,004

0,078

0,018

0,011

0,005

0,058

0,010

1,857

0,000

0

0,011

0,004

0,058

0,010

0,012

0,005

0,037

0,002

1,871

0,000

0

0,012

0,005

0,036

0,002

0,012

0,005

0,015

-0,006

1,884

0,000

0

0,012

0,005

0,015

-0,006

0,012

0,004

-0,006

-0,013

1,897

0,000

0

0,012

0,004

-0,006

-0,013

0,012

0,004

-0,026

-0,020

1,911

0,000

0

0,012

0,004

-0,026

-0,020

0,011

0,004

-0,045

-0,027

1,924

0,000

0

0,011

0,004

-0,045

-0,026

0,011

0,003

-0,063

-0,032

1,938

0,000

0

0,011

0,003

-0,062

-0,032

0,010

0,003

-0,078

-0,037

1,951

0,000

0

0,010

0,003

-0,077

-0,036

0,009

0,003

-0,091

1,965

0,000

0

0,008

0,002

-0,090

-0,040

0,007

0,002

-0,102

-0,043

1,978

0,000

0

0,007

0,002

-0,101

-0,042

0,006

0,001

-0,110

-0,044

1,992

0,000

0

0,006

0,001

-0,108

-0,044

0,004

0,001

-0,115

-0,045

2,005

0,000

0

0,004

0,001

-0,113

-0,044

0,003

0,000

-0,117

-0,044

2,019

0,000

0

0,003

0,000

-0,116

-0,043

0,001

0,000

-0,116

-0,042

2,032

0,000

0

0,001

0,000

-0,115

-0,042

0,000

-0,001

-0,113

-0,040

2,045

0,000

0

0,000

-0,001

-0,112

-0,039

-0,002

-0,001

-0,108

-0,036

2,059

0,000

0

-0,002

-0,001

-0,106

-0,036

-0,003

-0,002

-0,100

-0,032

2,072

0,000

0

-0,003

-0,002

-0,098

-0,032

-0,005

-0,002

-0,090

-0,027

2,086

0,000

0

-0,005

-0,002

-0,089

-0,027

-0,006

-0,003

-0,078

-0,022

2,099

0,000

0

-0,006

-0,003

-0,077

-0,022

-0,007

-0,003

-0,065

-0,017

2,113

0,000

0

-0,007

-0,003

-0,064

-0,016

-0,007

-0,003

-0,050

-0,011

2,126

0,000

0

-0,007

-0,003

-0,050

-0,011

-0,008

-0,003

-0,035

-0,005

2,140

0,000

0

-0,008

-0,003

-0,035

-0,005

-0,008

-0,003

-0,020

0,001

2,153

0,000

0

-0,008

-0,003

-0,020

0,001

-0,009

-0,003

-0,005

0,006

2,167

0,000

0

-0,008

-0,003

-0,005

0,006

-0,009

-0,003

0,010

0,012

2,180

0,000

0

-0,008

-0,003

0,010

0,011

-0,008

-0,003

0,024

0,016

2,194

0,000

0

-0,008

-0,003

0,024

0,016

-0,008

-0,003

0,037

0,021

2,207

0,000

0

-0,008

-0,003

0,037

0,020

-0,007

-0,002

0,049

0,024

2,220

0,000

0

-0,007

-0,002

0,048

0,024

-0,007

-0,002

0,059

0,027

2,234

0,000

0

-0,007

-0,002

0,059

0,027

-0,006

-0,002

0,068

0,029

2,247

0,000

0

-0,006

-0,002

0,067

0,029

-0,005

-0,001

0,075

0,031

2,261

0,000

0

-0,005

-0,001

0,074

0,031

-0,004

-0,001

0,080

0,032

2,274

0,000

0

-0,004

-0,001

0,079

0,031

-0,003

0,000

0,082

0,032

2,288

0,000

0

-0,003

0,000

0,081

0,031

-0,001

0,000

0,083

0,031

2,301

0,000

0

-0,001

0,000

0,082

0,030

0,000

0,000

0,082

0,029

2,315

0,000

0

0,000

0,000

0,081

0,029

0,001

0,001

0,079

0,027

2,328

0,000

0

0,001

0,001

0,078

0,027

0,002

0,001

0,074

0,025

2,342

0,000

0

0,002

0,001

0,074

0,024

0,003

0,002

0,068

0,021

2,355

0,000

0

0,003

0,001

0,067

0,021

0,004

0,002

0,060

0,018

2,368

0,000

0

0,004

0,002

0,060

0,018

0,004

0,002

0,052

0,014

2,382

0,000

0

0,004

0,002

0,051

0,014

0,005

0,002

0,010

2,395

0,000

0

0,005

0,002

0,041

0,010

0,005

0,002

0,032

0,006

2,409

0,000

0

0,005

0,002

0,031

0,006

0,006

0,002

0,021

0,002

2,422

0,000

0

0,006

0,002

0,021

0,002

0,006

0,002

0,010

-0,002

2,436

0,000

0

0,006

0,002

0,010

-0,002

0,006

0,002

-0,001

-0,006

2,449

0,000

0

0,006

0,002

-0,001

-0,006

0,006

0,002

-0,011

-0,010

2,463

0,000

0

0,006

0,002

-0,011

-0,009

0,006

0,002

-0,021

-0,013

2,476

0,000

0

0,006

0,002

-0,021

-0,013

0,005

0,002

-0,030

-0,016

2,490

0,000

0

0,005

0,002

-0,030

-0,016

0,005

0,002

-0,038

-0,018

2,503

0,000

0

0,005

0,002

-0,037

-0,018

0,004

0,001

-0,045

-0,020

2,516

0,000

0

0,004

0,001

-0,044

-0,020

0,004

0,001

-0,050

-0,021

2,530

0,000

0

0,004

0,001

-0,050

-0,021

0,003

0,001

-0,055

-0,022

2,543

0,000

0

0,003

0,001

-0,054

-0,022

0,002

0,000

-0,058

-0,023

2,557

0,000

0

0,002

0,000

-0,057

-0,022

0,002

0,000

-0,059

-0,022

2,570

0,000

0

0,002

0,000

-0,058

-0,022

0,001

0,000

-0,059

-0,022

2,584

0,000

0

0,001

0,000

-0,058

-0,021

0,000

0,000

-0,058

-0,020

2,597

0,000

0

0,000

0,000

-0,057

-0,020

-0,001

-0,001

-0,055

-0,019

2,611

0,000

0

-0,001

-0,001

-0,054

-0,018

-0,002

-0,001

-0,051

-0,017

2,624

0,000

0

-0,002

-0,001

-0,051

-0,016

-0,002

-0,001

-0,046

-0,014

2,638

0,000

0

-0,002

-0,001

-0,046

-0,014

-0,003

-0,001

-0,041

-0,012

2,651

0,000

0

-0,003

-0,001

-0,040

-0,012

-0,003

-0,001

-0,034

-0,009

2,665

0,000

0

-0,003

-0,001

-0,034

-0,009

-0,004

-0,002

-0,027

-0,006

2,678

0,000

0

-0,004

-0,002

-0,027

-0,006

-0,004

-0,002

-0,019

-0,003

2,691

0,000

0

-0,004

-0,002

-0,019

-0,003

-0,004

-0,002

-0,012

0,000

2,705

0,000

0

-0,004

-0,002

-0,012

0,000

-0,004

-0,002

-0,004

0,003

2,718

0,000

0

-0,004

-0,002

-0,004

0,003

-0,004

-0,002

0,004

0,005

2,732

0,000

0

-0,004

-0,002

0,003

0,005

-0,004

-0,001

0,011

0,008

2,745

0,000

0

-0,004

-0,001

0,011

0,008

-0,004

-0,001

0,017

0,010

2,759

0,000

0

-0,004

-0,001

0,017

0,010

-0,004

-0,001

0,024

0,012

2,772

0,000

0

-0,004

-0,001

0,023

0,012

-0,003

-0,001

0,029

0,013

2,786

0,000

0

-0,003

-0,001

0,029

0,013

-0,003

-0,001

0,034

0,015

2,799

0,000

0

-0,003

-0,001

0,033

0,014

-0,003

-0,001

0,037

0,015

2,813

0,000

0

-0,002

-0,001

0,037

0,015

-0,002

0,040

0,016

2,826

0,000

0

-0,002

0,000

0,039

0,016

-0,001

0,000

0,041

0,016

2,839

0,000

0

-0,001

0,000

0,041

0,016

-0,001

0,000

0,042

0,016

2,853

0,000

0

-0,001

0,000

0,042

0,015

0,000

0,000

0,042

0,015

2,866

0,000

0

0,000

0,000

0,041

0,015

0,000

0,000

0,040

0,014

2,880

0,000

0

0,000

0,000

0,040

0,014

0,001

0,001

0,038

0,013

2,893

0,000

0

0,001

0,001

0,038

0,013

0,001

0,001

0,035

0,011

2,907

0,000

0

0,001

0,001

0,035

0,011

0,002

0,001

0,031

0,009

2,920

0,000

0

0,002

0,001

0,031

0,009

0,002

0,001

0,027

0,008

2,934

0,000

0

0,002

0,001

0,027

0,007

0,002

0,001

0,022

0,006

2,947

0,000

0

0,002

0,001

0,022

0,005

0,003

0,001

0,017

0,003

2,961

0,000

0

0,003

0,001

0,017

0,003

0,003

0,001

0,012

0,001

2,974

0,000

0

0,003

0,001

0,012

0,001

0,003

0,001

0,006

-0,001

2,987

0,000

0

0,003

0,001

0,006

-0,001

0,003

0,001

0,001

-0,003

3,001

0,000

0

0,003

0,001

0,001

-0,003

0,003

0,001

-0,005

-0,004

3,014

0,000

0

0,003

0,001

-0,004

-0,004

0,003

0,001

-0,010

-0,006

3,028

0,000

0

0,003

0,001

-0,009

-0,006

0,003

0,001

-0,014

-0,008

3,041

0,000

0

0,003

0,001

-0,014

-0,008

0,003

0,001

-0,018

-0,009

3,055

0,000

0

0,003

0,001

-0,018

-0,009

0,002

0,001

-0,022

-0,010

3,068

0,000

0

0,002

0,001

-0,022

-0,010

0,002

0,001

-0,025

-0,011

3,082

0,000

0

0,002

0,001

-0,025

-0,011

0,002

0,000

-0,027

-0,011

3,095

0,000

0

0,002

0,000

-0,027

-0,011

0,001

0,000

-0,029

-0,011

3,109

0,000

0

0,001

0,000

-0,028

-0,011

0,001

0,000

-0,030

-0,011

3,122

0,000

0

0,001

0,000

-0,029

-0,011

0,000

0,000

-0,030

-0,011

3,136

0,000

0

0,000

0,000

-0,029

-0,011

0,000

0,000

-0,029

-0,010

3,149

0,000

0

0,000

0,000

-0,029

-0,010

0,000

0,000

-0,028

-0,010

3,162

0,000

0

0,000

0,000

-0,028

-0,010

-0,001

0,000

-0,026

-0,009

3,176

0,000

0

-0,001

0,000

-0,026

-0,009

-0,001

-0,001

-0,024

-0,007

3,189

0,000

0

-0,001

-0,001

-0,024

-0,007

-0,001

-0,001

-0,021

-0,006

3,203

0,000

0

-0,001

-0,001

-0,021

-0,006

-0,002

-0,001

-0,018

-0,005

3,216

0,000

0

-0,002

-0,001

-0,018

-0,005

-0,002

-0,001

-0,014

-0,003

3,230

0,000

0

-0,002

-0,001

-0,014

-0,003

-0,002

-0,001

-0,011

-0,002

3,243

0,000

0

-0,002

-0,001

-0,011

-0,002

-0,001

-0,007

0,000

3,257

0,000

0

-0,002

-0,001

-0,007

0,000

-0,002

-0,001

-0,003

0,001

3,270

0,000

0

-0,002

-0,001

-0,003

0,001

-0,002

-0,001

0,001

0,002

3,284

0,000

0

-0,002

-0,001

0,001

0,002

-0,002

-0,001

0,005

0,004

3,297

0,000

0

-0,002

-0,001

0,005

0,004

-0,002

-0,001

0,008

0,005

3,310

0,000

0

-0,002

-0,001

0,008

0,005

-0,002

-0,001

0,011

0,006

3,324

0,000

0

-0,002

-0,001

0,011

0,006

-0,002

-0,001

0,014

0,007

3,337

0,000

0

-0,002

-0,001

0,014

0,007

-0,002

0,000

0,016

0,007

3,351

0,000

0

-0,002

0,000

0,016

0,007

-0,001

0,000

0,018

0,008

3,364

0,000

0

-0,001

0,000

0,018

0,008

-0,001

0,000

0,020

0,008

3,378

0,000

0

-0,001

0,000

0,020

0,008

-0,001

0,000

0,021

0,008

3,391

0,000

0

-0,001

0,000

0,021

0,008

0,000

0,000

0,021

0,008

3,405

0,000

0

0,000

0,000

0,021

0,008

0,000

0,000

0,021

0,008

3,418

0,000

0

0,000

0,000

0,021

0,008

0,000

0,000

0,021

0,007

3,432

0,000

0

0,000

0,000

0,020

0,007

0,000

0,000

0,020

0,007

3,445

0,000

0

0,000

0,000

0,019

0,007

0,001

0,000

0,018

0,006

3,458

0,000

0

0,001

0,000

0,018

0,006

0,001

0,000

0,016

0,005

3,472

0,000

0

0,001

0,000

0,016

0,005

0,001

0,000

0,014

0,004

3,485

0,000

0

0,001

0,000

0,014

0,004

0,001

0,001

0,012

0,003

3,499

0,000

0

0,001

0,001

0,012

0,003

0,001

0,001

0,009

0,002

3,512

0,000

0

0,001

0,001

0,009

0,002

0,001

0,001

0,006

0,001

3,526

0,000

0

0,001

0,001

0,006

0,001

0,002

0,001

0,004

0,000

3,539

0,000

0

0,002

0,001

0,004

0,000

0,002

0,001

0,001

-0,001

3,553

0,000

0

0,002

0,001

0,001

-0,001

0,002

0,001

-0,002

-0,002

3,566

0,000

0

0,002

0,001

-0,002

-0,002

0,002

0,001

-0,004

-0,003

3,580

0,000

0

0,001

0,001

-0,004

-0,003

0,001

0,000

-0,007

-0,004

3,593

0,000

0

0,001

0,000

-0,007

-0,004

0,001

0,000

-0,009

-0,004

3,607

0,000

0

0,001

0,000

-0,009

-0,004

0,001

0,000

-0,011

-0,005

3,620

0,000

0

0,001

0,000

-0,011

-0,005

0,001

0,000

-0,012

-0,005

3,633

0,000

0

0,001

0,000

-0,012

-0,005

0,001

0,000

-0,014

-0,006

3,647

0,000

0

0,001

0,000

-0,013

-0,006

0,001

0,000

-0,014

-0,006

3,660

0,000

0

0,001

0,000

-0,014

-0,006

0,000

0,000

-0,015

-0,006

3,674

0,000

0

0,000

0,000

-0,015

0,000

0,000

-0,015

-0,006

3,687

0,000

0

0,000

0,000

-0,015

-0,006

0,000

0,000

-0,015

-0,005

3,701

0,000

0

0,000

0,000

-0,015

-0,005

0,000

0,000

-0,014

-0,005

3,714

0,000

0

0,000

0,000

-0,014

-0,005

0,000

0,000

-0,014

-0,004

3,728

0,000

0

0,000

0,000

-0,013

-0,004

0,000

0,000

-0,012

-0,004

3,741

0,000

0

0,000

0,000

-0,012

-0,004

-0,001

0,000

-0,011

-0,003

3,755

0,000

0

-0,001

0,000

-0,011

-0,003

-0,001

0,000

-0,009

-0,003

3,768

0,000

0

-0,001

0,000

-0,009

-0,003

-0,001

0,000

-0,008

-0,002

3,781

0,000

0

-0,001

0,000

-0,008

-0,002

-0,001

0,000

-0,006

-0,001

3,795

0,000

0

-0,001

0,000

-0,006

-0,001

-0,001

0,000

-0,004

0,000

3,808

0,000

0

-0,001

0,000

-0,004

0,000

-0,001

0,000

-0,002

0,000

3,822

0,000

0

-0,001

0,000

-0,002

0,000

-0,001

0,000

0,000

0,001

3,835

0,000

0

-0,001

0,000

0,000

0,001

-0,001

0,000

0,002

0,002

3,849

0,000

0

-0,001

0,000

0,002

0,002

-0,001

0,000

0,004

0,002

3,862

0,000

0

-0,001

0,000

0,004

0,002

-0,001

0,000

0,005

0,003

3,876

0,000

0

-0,001

0,000

0,005

0,003

-0,001

0,000

0,007

0,003

3,889

0,000

0

-0,001

0,000

0,007

0,003

-0,001

0,000

0,008

0,004

3,903

0,000

0

-0,001

0,000

0,008

0,004

-0,001

0,000

0,009

0,004

3,916

0,000

0

-0,001

0,000

0,009

0,004

-0,001

0,000

0,010

0,004

3,929

0,000

0

-0,001

0,000

0,010

0,004

0,000

0,000

0,010

0,004

3,943

0,000

0

0,000

0,000

0,010

0,004

0,000

0,000

0,011

0,004

3,956

0,000

0

0,000

0,000

0,011

0,004

0,000

0,000

0,011

0,004

3,970

0,000

0

0,000

0,000

0,011

0,004

0,000

0,000

0,010

0,004

3,983

0,000

0

0,000

0,000

0,010

0,004

0,000

0,000

0,010

0,003

3,997

0,000

0

0,000

0,000

0,010

0,003

0,000

0,000

0,009

0,003

4,010

0,000

0

0,000

0,000

0,009

0,003

0,000

0,000

0,008

0,003

4,024

0,000

0

0,000

0,000

0,008

0,003

0,001

0,000

0,007

0,002

4,037

0,000

0

0,000

0,000

0,007

0,002

0,001

0,000

0,006

0,002

4,051

0,000

0

0,001

0,000

0,006

0,002

0,001

0,000

0,005

0,001

4,064

0,000

0

0,001

0,000

0,005

0,001

0,001

0,000

0,004

0,001

4,078

0,000

0

0,001

0,000

0,004

0,001

0,001

0,000

0,002

0,000

4,091

0,000

0

0,001

0,000

0,002

0,000

0,001

0,000

0,001

0,000

4,104

0,000

0

0,001

0,000

0,000

0,001

0,000

-0,001

-0,001

4,118

0,000

0

0,001

0,000

-0,001

-0,001

0,001

0,000

-0,002

-0,001

4,131

0,000

0

0,001

0,000

-0,002

-0,001

0,001

0,000

-0,003

-0,002

4,145

0,000

0

0,001

0,000

-0,003

-0,002

0,001

0,000

-0,004

-0,002

4,158

0,000

0

0,001

0,000

-0,004

-0,002

0,001

0,000

-0,005

-0,002

4,172

0,000

0

0,001

0,000

-0,005

-0,002

0,001

0,000

-0,006

-0,003

4,185

0,000

0

0,001

0,000

-0,006

-0,003

0,000

0,000

-0,007

-0,003

4,199

0,000

0

0,000

0,000

-0,007

-0,003

0,000

0,000

-0,007

-0,003

4,212

0,000

0

0,000

0,000

-0,007

-0,003

0,000

0,000

-0,007

-0,003

4,226

0,000

0

0,000

0,000

-0,007

-0,003

0,000

0,000

-0,008

-0,003

4,239

0,000

0

0,000

0,000

-0,008

-0,003

0,000

0,000

-0,008

-0,003

4,252

0,000

0

0,000

0,000

-0,007

-0,003

0,000

0,000

-0,007

-0,003

4,266

0,000

0

0,000

0,000

-0,007

-0,003

0,000

0,000

-0,007

-0,002

4,279

0,000

0

0,000

0,000

-0,007

-0,002

0,000

0,000

-0,006

-0,002

4,293

0,000

0

0,000

0,000

-0,006

-0,002

0,000

0,000

-0,006

-0,002

4,306

0,000

0

0,000

0,000

-0,006

-0,002

0,000

0,000

-0,005

-0,001

4,320

0,000

0

0,000

0,000

-0,005

-0,001

0,000

0,000

-0,004

-0,001

4,333

0,000

0

0,000

0,000

-0,004

-0,001

0,000

0,000

-0,003

-0,001

4,347

0,000

0

0,000

0,000

-0,003

-0,001

-0,001

0,000

-0,002

0,000

4,360

0,000

0

-0,001

0,000

-0,002

0,000

-0,001

0,000

-0,001

0,000

4,374

0,000

0

-0,001

0,000

-0,001

0,000

-0,001

0,000

0,000

0,000

4,387

0,000

0

-0,001

0,000

0,000

0,000

-0,001

0,000

0,001

0,001

4,400

0,000

0

-0,001

0,000

0,001

0,001

-0,001

0,000

0,002

0,001

4,414

0,000

0

-0,001

0,000

0,002

0,001

-0,001

0,000

0,003

0,001

4,427

0,000

0

-0,001

0,000

0,003

0,001

0,000

0,000

0,003

0,002

4,441

0,000

0

0,000

0,000

0,003

0,002

0,000

0,000

0,004

0,002

4,454

0,000

0

0,000

0,000

0,004

0,002

0,000

0,000

0,005

0,002

4,468

0,000

0

0,000

0,000

0,004

0,002

0,000

0,000

0,005

0,002

4,481

0,000

0

0,000

0,000

0,005

0,002

0,000

0,000

0,005

0,002

4,495

0,000

0

0,000

0,000

0,005

0,002

0,000

0,000

0,005

0,002

4,508

0,000

0

0,000

0,000

0,005

0,002

0,000

0,000

0,005

0,002

4,522

0,000

0

0,000

0,000

0,005

0,002

0,000

0,000

0,005

0,002

4,535

0,000

0

0,000

0,005

0,002

0,000

0,000

0,005

0,002

4,549

0,000

0

0,000

0,000

0,005

0,002

0,000

0,000

0,005

0,002

4,562

0,000

0

0,000

0,000

0,005

0,002

0,000

0,000

0,004

0,001

4,575

0,000

0

0,000

0,000

0,004

0,001

0,000

0,000

0,004

0,001

4,589

0,000

0

0,000

0,000

0,004

0,001

0,000

0,000

0,003

0,001

4,602

0,000

0

0,000

0,000

0,003

0,001

0,000

0,000

0,003

0,001

4,616

0,000

0

0,000

0,000

0,003

0,001

0,000

0,000

0,002

0,000

4,629

0,000

0

0,000

0,000

0,002

0,000

0,000

0,000

0,001

0,000

4,643

0,000

0

0,000

0,000

0,001

0,000

0,000

0,000

0,001

0,000

4,656

0,000

0

0,000

0,000

0,001

0,000

0,000

0,000

0,000

0,000

4,670

0,000

0

0,000

0,000

0,000

0,000

0,000

0,000

-0,001

-0,001

4,683

0,000

0

0,000

0,000

-0,001

-0,001

0,000

0,000

-0,001

-0,001

4,697

0,000

0

0,000

0,000

-0,001

-0,001

0,000

0,000

-0,002

-0,001

4,710

0,000

0

0,000

0,000

-0,002

-0,001

0,000

0,000

-0,003

-0,001

4,723

0,000

0

0,000

0,000

-0,003

-0,001

0,000

0,000

-0,003

-0,001

4,737

0,000

0

0,000

0,000

-0,003

-0,001

0,000

0,000

-0,003

-0,001

4,750

0,000

0

0,000

0,000

-0,003

-0,001

0,000

0,000

-0,004

-0,001

4,764

0,000

0

0,000

0,000

-0,004

-0,001

0,000

0,000

-0,004

-0,001

4,777

0,000

0

0,000

0,000

-0,004

-0,001

0,000

0,000

-0,004

-0,001

4,791

0,000

0

0,000

0,000

-0,004

-0,001

0,000

0,000

-0,004

-0,001

4,804

0,000

0

0,000

0,000

-0,004

-0,001

0,000

0,000

-0,004

-0,001

4,818

0,000

0

0,000

0,000

-0,004

-0,001

0,000

0,000

-0,004

-0,001

4,831

0,000

0

0,000

0,000

-0,004

-0,001

0,000

0,000

-0,003

-0,001

4,845

0,000

0

0,000

0,000

-0,003

-0,001

0,000

0,000

-0,003

-0,001

4,858

0,000

0

0,000

0,000

-0,003

-0,001

0,000

0,000

-0,003

-0,001

4,871

0,000

0

0,000

0,000

-0,003

-0,001

0,000

0,000

-0,002

-0,001

4,885

0,000

0

0,000

0,000

-0,002

-0,001

0,000

0,000

-0,002

0,000

4,898

0,000

0

0,000

0,000

-0,002

0,000

0,000

0,000

-0,001

0,000

4,912

0,000

0

0,000

0,000

-0,001

0,000

0,000

0,000

-0,001

0,000

4,925

0,000

0

0,000

0,000

-0,001

0,000

0,000

0,000

0,000

0,000

4,939

0,000

0

0,000

0,000

0,000

0,000

0,000

0,000

0,000

0,000

4,952

0,000

0

0,000

0,000

0,000

0,000

0,000

0,000

0,001

0,001

4,966

0,000

0

0,000

0,001

0,001

0,000

0,000

0,001

0,001

4,979

0,000

0

0,000

0,000

0,001

0,001

0,000

0,000

0,002

0,001

4,993

0,000

0

0,000

0,000

0,002

0,001

0,000

0,000

0,002

0,001

5,006

0,000

0

0,000

0,000

0,002

0,001

0,000

0,000

0,002

0,001

5,020

0,000

0

0,000

0,000

0,002

0,001

0,000

0,000

0,002

0,001

5,033

0,000

0

0,000

0,000

0,002

0,001

0,000

0,000

0,003

0,001

5,046

0,000

0

0,000

0,000

0,003

0,001

0,000

0,000

0,003

0,001

5,060

0,000

0

0,000

0,000

0,003

0,001

0,000

0,000

0,003

0,001

5,073

0,000

0

0,000

0,000

0,003

0,001

0,000

0,000

0,003

0,001

5,087

0,000

0

0,000

0,000

0,003

0,001

0,000

0,000

0,003

0,001

5,100

0,000

0

0,000

0,000

0,003

0,001

0,000

0,000

0,002

0,001

5,114

0,000

0

0,000

0,000

0,002

0,001

0,000

0,000

0,002

0,001

5,127

0,000

0

0,000

0,000

0,002

0,001

0,000

0,000

0,002

0,001

5,141

0,000

0

0,000

0,000

0,002

0,001

0,000

0,000

0,002

0,000

5,154

0,000

0

0,000

0,000

0,002

0,000

0,000

0,000

0,001

0,000

5,168

0,000

0

0,000

0,000

0,001

0,000

0,000

0,000

0,001

0,000

5,181

0,000

0

0,000

0,000

0,001

0,000

0,000

0,000

0,001

0,000

5,194

0,000

0

0,000

0,000

0,001

0,000

0,000

0,000

0,000

0,000

5,208

0,000

0

0,000

0,000

0,000

0,000

0,000

0,000

0,000

0,000


Как видно из таблицы, полное затухание колебаний происходит на пятой секунде. Это время в 3,8 превышает время нашего наблюдения за системой. Предлагаю убедиться в полном затухании колебаний системы с помощью графиков.

коши excel механический система

График изменения координат центра масс первого тела


График изменения координат центра масс второго тела


График изменения скорости первого тела


График изменения скорости второго тела


6. Обработка исходных данных и получение необходимых значений в PASCAL

 

.1 Файл ввода


- m1

- m2

.05 - d1

.03 - d2

- начальные условия

- начальные условия

- начальные условия

- начальные условия

- количество шагов

6.2 Программа “Метод Эйлера”


program Eiler;odnmas = array [1..201] of real;ht,y10,y20,V10,V20,C1,C2,k,m1,m2,w3,g,d1,d2,T1,T2,T0,di:real;,y1,y2,V1,V2:odnmas;i,n:integer;f1,f2:text;fv1(y1,y2,V1,V2,t:real):real;t<T0/2 then:=(-C1*(y1-y2)-k*(V1-V2)+m1*g*sin(w3*t))/m1fv1:=(-C1*(y1-y2)-k*(V1-V2))/m1;;fv2(y1,y2,V1,V2,t:real):real;t<T0/2 then:=(C1*(y1-y2)+k*(V1-V2)-C2*y2)/m2fv2:=(C1*(y1-y2)+k*(V1-V2)-C2*y2)/m2;;(f1,'dan.txt');reset(f1);(f2,'rez1.txt');rewrite(f2);(f1,m1,m2,d1,d2,y10,y20,V10,V20,n);:=9.8;:=m1*g/d1;C2:=(m1+m2)*g/d2;:=(m1+m2)*g/((d1+d2)*sqrt((C1+C2)/(m1+m2)));:=sqrt((C1+C2)/(m1+m2));:=2*3.14*sqrt(m1/C1);T2:=2*3.14*sqrt(m2/C2);T1>T2 then T0:=3*T1T0:=3*T2;:=T0/n;:=1;[i]:=0;[i]:=y10;y2[i]:=y20;[i]:=V10;V2[i]:=V20;(f2,' t y1 y2 V1 V2');[i+1]:=t[i]+ht;[i+1]:=y1[i]+ht*V1[i];[i+1]:=V1[i]+ht*fv1(y1[i],y2[i],V1[i],V2[i],t[i]);[i+1]:=y2[i]+ht*V2[i];[i+1]:=V2[i]+ht*fv2(y1[i],y2[i],V1[i],V2[i],t[i]);

{di:=i/10;(frac(di)=0)or(frac(di)=0.1) then }(f2,t[i]:3:3,y1[i]:8:3,y2[i]:8:3,V1[i]:8:3,V2[i]:8:3);:=i+1;i>n+1;:=y1[1];:=y2[1];:=V1[1];:=V2[1];

i:=2 to n doAbs(y1[i])>maxy1 then:=Abs(y1[i]);Abs(y2[i])>maxy2 then:=Abs(y2[i]);Abs(V1[i])>maxV1 then:=Abs(V1[i]);Abs(V2[i])>maxV2 then:=Abs(V2[i]);;(f2);(f2,' maxy1 ','maxy2 ','maxV1 ','maxV2 ');(f2,maxy1:8:3,maxy2:8:3,maxV1:8:3,maxV2:8:3);(f1);(f2);.

(f1);(f2);.

6.3 Файл вывода результата


ty1 y2 V1 V2

.000 0.000 0.000 0.000 0.000

.007 0.000 0.000 0.000 0.000

.014 0.000 0.000 0.010 0.000

.020 0.000 0.000 0.029 0.004

.027 0.000 0.000 0.058 0.015

.034 0.001 0.000 0.093 0.035

.041 0.001 0.000 0.136 0.062

.047 0.002 0.001 0.184 0.095

.054 0.003 0.001 0.237 0.131

.061 0.005 0.002 0.292 0.166

.068 0.007 0.003 0.348 0.197

.074 0.009 0.005 0.403 0.222

.081 0.012 0.006 0.456 0.241

.088 0.015 0.008 0.503 0.253

.095 0.019 0.010 0.544 0.259

.101 0.022 0.011 0.577 0.260

.108 0.026 0.013 0.600 0.258

.115 0.030 0.015 0.612 0.251

.122 0.034 0.017 0.612 0.240

.128 0.039 0.018 0.600 0.225

.135 0.043 0.020 0.574 0.205

.142 0.046 0.021 0.536 0.179

.149 0.050 0.022 0.485 0.148

.156 0.053 0.023 0.421 0.111

.162 0.056 0.024 0.346 0.069

.169 0.059 0.025 0.260 0.023

.176 0.060 0.025 0.164 -0.026

.183 0.061 0.024 0.062 -0.076

.189 0.062 0.024 -0.047 -0.126

.196 0.062 0.023 -0.160 -0.175

.203 0.060 0.022 -0.275 -0.223

.210 0.059 0.020 -0.389 -0.267

.216 0.056 0.019 -0.501 -0.308

.223 0.053 0.017 -0.608 -0.345

.230 0.048 0.014 -0.708 -0.377

.237 0.044 0.012 -0.800 -0.403

.243 0.038 0.009 -0.881 -0.424

.250 0.032 0.006 -0.949 -0.439

.257 0.026 0.003 -1.004 -0.446

.264 0.019 0.000 -1.044 -0.446

.270 0.012 -0.003 -1.068 -0.439

.277 0.005 -0.006 -1.076 -0.425

.284 -0.002 -0.009 -1.067 -0.404

.291 -0.010 -0.012 -1.042 -0.376

.298 -0.017 -0.014 -1.001 -0.343

.304 -0.024 -0.016 -0.945 -0.304

.311 -0.030 -0.018 -0.874 -0.261

.318 -0.036 -0.020 -0.791 -0.214

.325 -0.041 -0.022 -0.697 -0.165

.331 -0.046 -0.023 -0.593 -0.114

.338 -0.050 -0.024 -0.482 -0.062

.345 -0.053 -0.024 -0.366 -0.011

.352 -0.056 -0.024 -0.247 0.040

.358 -0.057 -0.024 -0.128 0.087

.365 -0.058 -0.023 -0.009 0.132

.372 -0.058 -0.022 0.105 0.173

.379 -0.058 -0.021 0.213 0.210

.385 -0.056 -0.020 0.314 0.241

.392 -0.054 -0.018 0.405 0.266

.399 -0.051 -0.016 0.485 0.285

.406 -0.048 -0.014 0.553 0.297

.413 -0.044 -0.012 0.607 0.303

.419 -0.040 -0.010 0.647 0.303

.426 -0.036 -0.008 0.673 0.297

.433 -0.031 -0.006 0.685 0.284

.440 -0.027 -0.004 0.682 0.267

.446 -0.022 -0.002 0.666 0.244

.453 -0.017 -0.001 0.637 0.218

.460 -0.013 0.001 0.596 0.188

.467 -0.009 0.002 0.546 0.155

.473 -0.005 0.003 0.487 0.121

.480 -0.002 0.004 0.421 0.087

.487 0.001 0.004 0.350 0.052

.494 0.003 0.005 0.277 0.019

.500 0.005 0.005 0.203 -0.013

.507 0.006 0.005 0.129 -0.042

.514 0.007 0.004 0.059 -0.067

.521 0.008 0.004 -0.006 -0.088

.527 0.008 0.003 -0.065 -0.105

.534 0.007 0.003 -0.115 -0.117

.541 0.006 0.002 -0.157 -0.124

.548 0.005 0.001 -0.188 -0.125

.555 0.004 0.000 -0.208 -0.121

.561 0.003 -0.001 -0.216 -0.112

.568 0.001 -0.001 -0.213 -0.098

.575 -0.000 -0.002 -0.199 -0.079

.582 -0.002 -0.003 -0.174 -0.057

.588 -0.003 -0.003 -0.138 -0.031

.595 -0.004 -0.003 -0.094 -0.002

.602 -0.004 -0.003 -0.042 0.028

.609 -0.005 -0.003 0.017 0.060

.615 -0.005 -0.003 0.080 0.091

.622 -0.004 -0.002 0.146 0.122

.629 -0.003 -0.001 0.213 0.151

.636 -0.002 -0.000 0.280 0.178

.642 0.000 0.001 0.343 0.201

.649 0.003 0.002 0.402 0.221

.656 0.005 0.004 0.454 0.236

.663 0.008 0.006 0.498 0.246

.669 0.012 0.007 0.532 0.250

.676 0.015 0.009 0.556 0.249

.683 0.019 0.011 0.535 0.242

.690 0.023 0.012 0.511 0.216

.697 0.026 0.014 0.485 0.177

.703 0.030 0.015 0.456 0.135

.710 0.033 0.016 0.424 0.096

.717 0.035 0.016 0.388 0.067

.724 0.038 0.017 0.350 0.049

.730 0.040 0.017 0.310 0.040

.737 0.043 0.018 0.268 0.038

.744 0.044 0.018 0.225 0.037

.751 0.046 0.018 0.183 0.034

.757 0.047 0.018 0.140 0.025

.764 0.048 0.018 0.097 0.011

.771 0.049 0.019 0.054 -0.009

.778 0.049 0.018 0.011 -0.033

.784 0.049 0.018 -0.031 -0.057

.791 0.049 0.018 -0.073 -0.079

.798 0.048 0.017 -0.115 -0.097

.805 0.048 0.017 -0.155 -0.112

.811 0.047 0.016 -0.195 -0.122

.825 0.044 0.014 -0.269 -0.137

.832 0.042 0.013 -0.302 -0.143

.839 0.040 0.012 -0.334 -0.150

.845 0.038 0.011 -0.363 -0.157

.852 0.035 0.010 -0.390 -0.166

.859 0.033 0.009 -0.414 -0.174

.866 0.030 0.008 -0.435 -0.181

.872 0.027 0.007 -0.454 -0.188

.879 0.024 0.005 -0.470 -0.192

.886 0.021 0.004 -0.483 -0.194

.893 0.017 0.003 -0.493 -0.193

.899 0.014 0.002 -0.500 -0.191

.906 0.011 0.000 -0.504 -0.188

.913 0.007 -0.001 -0.505 -0.184

.920 0.004 -0.002 -0.503 -0.179

.926 0.000 -0.004 -0.498 -0.174

.933 -0.003 -0.005 -0.490 -0.169

.940 -0.006 -0.006 -0.479 -0.162

.947 -0.010 -0.007 -0.465 -0.155

.953 -0.013 -0.008 -0.449 -0.147

.960 -0.016 -0.009 -0.431 -0.138

.967 -0.019 -0.010 -0.410 -0.128

.974 -0.021 -0.011 -0.387 -0.118

.981 -0.024 -0.012 -0.362 -0.106

.987 -0.026 -0.012 -0.335 -0.094

.994 -0.029 -0.013 -0.307 -0.081

.001 -0.031 -0.013 -0.276 -0.068

.008 -0.033 -0.014 -0.245 -0.055

.014 -0.034 -0.014 -0.212 -0.042

.021 -0.036 -0.015 -0.179 -0.029

.028 -0.037 -0.015 -0.145 -0.016

.035 -0.038 -0.015 -0.110 -0.003

.041 -0.039 -0.015 -0.075 0.010

.048 -0.039 -0.015 -0.040 0.022

.055 -0.039 -0.015 -0.005 0.035

.062 -0.040 -0.014 0.029 0.047

.068 -0.039 -0.014 0.063 0.059

.075 -0.039 -0.014 0.096 0.071

.082 -0.038 -0.013 0.129 0.082

.089 -0.037 -0.013 0.160 0.092

.096 -0.036 -0.012 0.190 0.101

.102 -0.035 -0.011 0.218 0.110

.109 -0.034 -0.011 0.245 0.118

.116 -0.032 -0.010 0.270 0.126

.123 -0.030 -0.009 0.294 0.132

.129 -0.028 -0.008 0.315 0.138

.136 -0.026 -0.007 0.334 0.142

.143 -0.024 -0.006 0.351 0.146

.150 -0.021 -0.005 0.366 0.149

.156 -0.019 -0.004 0.379 0.152

.163 -0.016 -0.003 0.389 0.153

.170 -0.014 -0.002 0.397 0.153

.177 -0.011 -0.001 0.402 0.152

.183 -0.008 -0.000 0.405 0.151

.190 -0.006 0.001 0.405 0.148

.197 -0.003 0.002 0.403 0.145

.204 -0.000 0.003 0.399 0.141

.210 0.003 0.004 0.393 0.136

.217 0.005 0.005 0.384 0.131

.224 0.008 0.006 0.373 0.124

.231 0.010 0.007 0.360 0.117

.238 0.013 0.007 0.345 0.110

.244 0.015 0.008 0.328 0.102

.251 0.017 0.009 0.309 0.093

.258 0.020 0.009 0.289 0.084

.265 0.021 0.010 0.267 0.074

.271 0.023 0.010 0.244 0.064

.278 0.025 0.011 0.220 0.054

.285 0.026 0.011 0.194 0.044

.292 0.028 0.012 0.168 0.033

.298 0.029 0.012 0.141 0.023

.305 0.030 0.012 0.114 0.012

.312 0.031 0.012 0.086 0.002

.319 0.031 0.012 0.058 -0.009

.325 0.032 0.012 0.030 -0.019

.332 0.032 0.012 0.002 -0.029

.339 0.032 0.012 -0.026 -0.039

.346 0.032 0.011 -0.053 -0.049

maxy1 maxy2 maxV1 maxV2

.062 0.025 1.076 0.446

6.4 Программа “Модифицированный метод Эйлера” program ModEiler

 

typeodnmas = array [1..201] of real;

var ht,y10,y20,V10,V20,C1,C2,k,m1,m2,,g,d1,d2,T1,T2,T0,di,maxy1,maxy2,maxV1,maxV2:real;,y1,y2,V1,V2:odnmas;,n:integer;,f2:text;fv1(y1,y2,V1,V2,t:real):real;t<T0/2 then:=(-C1*(y1-y2)-k*(V1-V2)+m1*g*sin(w3*t))/m1fv1:=(-C1*(y1-y2)-k*(V1-V2))/m1;;fv2(y1,y2,V1,V2,t:real):real;t<T0/2 then:=(C1*(y1-y2)+k*(V1-V2)-C2*y2)/m2fv2:=(C1*(y1-y2)+k*(V1-V2)-C2*y2)/m2;;(f1,'dan.txt');(f1);(f2,'rez2.txt');(f2);(f1,m1,m2,d1,d2,y10,y20,V10,V20,n);:=9.8;:=m1*g/d1;C2:=(m1+m2)*g/d2;:=(m1+m2)*g/((d1+d2)*sqrt((C1+C2)/(m1+m2)));:=sqrt((C1+C2)/(m1+m2));:=2*3.14*sqrt(m1/C1);T2:=2*3.14*sqrt(m2/C2);T1>T2 then T0:=3*T1T0:=3*T2;:=T0/n;:=1;[i]:=0;[i]:=y10;y2[i]:=y20;[i]:=V10;V2[i]:=V20;(f2,' t y1 y2 V1 V2');[i+1]:=t[i]+ht;[i+1]:=y1[i]+ht*(V1[i]+V1[i]+ht*fv1(y1[i],y2[i],V1[i],V2[i], t[i]))/2;[i+1]:=V1[i]+ht*(fv1(y1[i],y2[i],V1[i],V2[i],t[i])+fv1(y1[i]+

+ht*V1[i],y2[i]+ht*V2[i],V1[i]+ht*fv1(y1[i],y2[i],V1[i],V2[i],t[i]),V2[i]+ht*fv2(y1[i],y2[i],V1[i],V2[i],t[i]),t[i]+ht))/2;[i+1]:=y2[i]+ht*(V2[i]+V2[i]+ht*fv2(y1[i],y2[i],V1[i],V2[i],t[i]))/2;[i+1]:=V2[i]+ht*(fv2(y1[i],y2[i],V1[i],V2[i],t[i])+fv2(y1[i]+ht*V1[i],y2[i]+ht*V2[i],V1[i]+ht*fv1(y1[i],y2[i],V1[i],V2[i],t[i]),V2[i]+ht*fv2(y1[i],y2[i],V1[i],V2[i],t[i]),t[i]+ht))/2;

{di:=i/10;(frac(di)=0)or(frac(di)=0.1) then}(f2,t[i]:3:3,y1[i]:8:3,y2[i]:8:3,V1[i]:8:3,V2[i]:8:3);:=i+1;i>n+1;

:=y1[1];:=y2[1];:=V1[1];:=V2[1];

i:=2 to n doAbs(y1[i])>maxy1 then:=Abs(y1[i]);Abs(y2[i])>maxy2 then:=Abs(y2[i]);Abs(V1[i])>maxV1 then:=Abs(V1[i]);Abs(V2[i])>maxV2 then:=Abs(V2[i]);;(f2);(f2,' maxy1 ','maxy2 ','maxV1 ','maxV2 ');(f2,maxy1:8:3,maxy2:8:3,maxV1:8:3,maxV2:8:3);(f1);(f2);.

 

6.5 Файл вывода результата

y1 y2 V1 V2

.000 0.000 0.000 0.000 0.000

.007 0.000 0.000 0.005 0.000

.014 0.000 0.000 0.020 0.004

.020 0.000 0.000 0.043 0.014

.027 0.001 0.000 0.075 0.030

.034 0.001 0.000 0.113 0.052

.041 0.002 0.001 0.158 0.079

.047 0.003 0.002 0.208 0.107

.054 0.005 0.002 0.260 0.136

.061 0.007 0.003 0.314 0.164

.068 0.009 0.005 0.368 0.189

.074 0.012 0.006 0.419 0.211

.081 0.015 0.007 0.466 0.229

.088 0.018 0.009 0.507 0.242

.095 0.022 0.011 0.541 0.250

.101 0.026 0.012 0.566 0.253

.108 0.029 0.014 0.581 0.250

.115 0.033 0.016 0.585 0.242

.122 0.037 0.017 0.577 0.228

.128 0.041 0.019 0.556 0.209

.135 0.045 0.020 0.522 0.184

.142 0.048 0.021 0.477 0.155

.149 0.051 0.022 0.419 0.120

.156 0.054 0.023 0.349 0.082

.162 0.056 0.023 0.269 0.040

.169 0.058 0.024 0.180 -0.005

.176 0.058 0.023 0.084 -0.051

.183 0.059 0.023 -0.019 -0.099

.189 0.058 0.022 -0.126 -0.146

.196 0.057 0.021 -0.235 -0.192

.203 0.055 0.019 -0.344 -0.237

.210 0.052 0.018 -0.451 -0.278

.216 0.049 0.016 -0.554 -0.316

.223 0.045 0.013 -0.650 -0.349

.230 0.040 0.011 -0.738 -0.377

.237 0.035 0.008 -0.817 -0.399

.243 0.029 0.006 -0.883 -0.415

.250 0.023 0.003 -0.937 -0.423

.257 0.016 -0.000 -0.976 -0.425

.264 0.010 -0.003 -1.001 -0.420

.270 0.003 -0.006 -1.009 -0.408

.277 -0.004 -0.009 -1.002 -0.390

.284 -0.011 -0.011 -0.979 -0.364

.291 -0.017 -0.014 -0.941 -0.333

.298 -0.023 -0.016 -0.887 -0.297

.304 -0.029 -0.018 -0.821 -0.256

.311 -0.034 -0.019 -0.741 -0.211

.318 -0.039 -0.020 -0.651 -0.164

.325 -0.043 -0.021 -0.552 -0.114

.331 -0.047 -0.022 -0.446 -0.064

.338 -0.049 -0.022 -0.335 -0.014

.345 -0.051 -0.022 -0.221 0.036

.352 -0.052 -0.022 -0.106 0.083

.358 -0.053 -0.021 0.007 0.127

.365 -0.052 -0.020 0.117 0.168

.372 -0.051 -0.019 0.221 0.204

.379 -0.049 -0.017 0.317 0.235

.385 -0.047 -0.016 0.403 0.260

.392 -0.044 -0.014 0.479 0.280

.399 -0.040 -0.012 0.543 0.292

.406 -0.036 -0.010 0.593 0.299

.413 -0.032 -0.008 0.629 0.299

.419 -0.028 -0.006 0.652 0.292

.426 -0.023 -0.004 0.660 0.280

.433 -0.019 -0.002 0.654 0.262

.440 -0.015 -0.000 0.634 0.239

.446 -0.010 0.001 0.602 0.212

.453 -0.006 0.003 0.559 0.182

.460 -0.003 0.004 0.506 0.148

.467 0.000 0.005 0.444 0.113

.473 0.003 0.005 0.375 0.077

.480 0.005 0.006 0.302 0.041

.487 0.007 0.006 0.226 0.005

.494 0.008 0.006 0.149 -0.028

.500 0.009 0.005 0.073 -0.059

.507 0.009 0.005 0.000 -0.087

.514 0.009 0.004 -0.067 -0.110

.521 0.009 0.003 -0.128 -0.130

.527 0.008 0.003 -0.181 -0.144

.534 0.006 0.002 -0.225 -0.152

.541 0.004 0.000 -0.258 -0.156

.548 0.003 -0.001 -0.280 -0.153

.555 0.001 -0.002 -0.290 -0.146

.561 -0.001 -0.003 -0.288 -0.133

.568 -0.003 -0.003 -0.275 -0.115

.575 -0.005 -0.004 -0.250 -0.093

.582 -0.007 -0.005 -0.215 -0.067

.588 -0.008 -0.005 -0.170 -0.038

.595 -0.009 -0.005 -0.116 -0.007

.602 -0.009 -0.005 -0.056 0.026

.609 -0.010 -0.005 0.010 0.059

.615 -0.009 -0.004 0.079 0.092

.622 -0.009 -0.004 0.150 0.124

.629 -0.007 -0.003 0.220 0.154

.636 -0.006 -0.001 0.288 0.181

.642 -0.003 -0.000 0.353 0.205

.649 -0.001 0.001 0.411 0.224

.656 0.002 0.003 0.462 0.239

.663 0.005 0.004 0.504 0.248

.669 0.009 0.006 0.535 0.252

.676 0.013 0.008 0.538 0.249

.683 0.016 0.010 0.519 0.229

.690 0.020 0.011 0.497 0.198

.697 0.023 0.012 0.472 0.165

.703 0.026 0.013 0.444 0.135

.710 0.029 0.014 0.413 0.110

.717 0.032 0.015 0.380 0.091

.724 0.034 0.015 0.345 0.076

.730 0.036 0.016 0.308 0.063

.737 0.038 0.016 0.271 0.052

.744 0.040 0.016 0.232 0.041

.751 0.041 0.017 0.193 0.029

.757 0.043 0.017 0.153 0.016

.764 0.043 0.017 0.114 0.002

.771 0.044 0.017 0.074 -0.013

.778 0.044 0.017 0.035 -0.028

.784 0.045 0.017 -0.004 -0.042

.791 0.044 0.016 -0.043 -0.057

.798 0.044 0.016 -0.080 -0.070

.805 0.043 0.015 -0.117 -0.083

.811 0.042 0.015 -0.152 -0.094

.818 0.041 0.014 -0.186 -0.105

.825 0.040 0.013 -0.218 -0.115

.832 0.038 0.012 -0.248 -0.124

.839 0.037 0.012 -0.277 -0.132

.845 0.035 0.011 -0.303 -0.140

.852 0.032 0.010 -0.327 -0.146

.859 0.030 0.009 -0.349 -0.151

.866 0.028 0.008 -0.368 -0.156

.872 0.025 0.007 -0.385 -0.160

.879 0.023 0.005 -0.399 -0.162

.886 0.020 0.004 -0.411 -0.164

.893 0.017 0.003 -0.420 -0.164

.899 0.014 0.002 -0.426 -0.164

.906 0.011 0.001 -0.430 -0.163

.913 0.008 -0.000 -0.432 -0.160

.920 0.005 -0.001 -0.431 -0.157

.926 0.002 -0.002 -0.427 -0.153

.933 -0.000 -0.003 -0.421 -0.148

.940 -0.003 -0.004 -0.412 -0.143

.947 -0.006 -0.005 -0.402 -0.136

.953 -0.009 -0.006 -0.389 -0.129

.960 -0.011 -0.007 -0.374 -0.121

.967 -0.014 -0.008 -0.357 -0.113

.974 -0.016 -0.008 -0.338 -0.104

.981 -0.018 -0.009 -0.318 -0.095

.987 -0.020 -0.010 -0.296 -0.085

.994 -0.022 -0.010 -0.272 -0.075

.001 -0.024 -0.011 -0.248 -0.065

.008 -0.026 -0.011 -0.222 -0.054

.014 -0.027 -0.011 -0.196 -0.044

.021 -0.028 -0.012 -0.169 -0.033

.028 -0.029 -0.012 -0.141 -0.022

.035 -0.030 -0.012 -0.113 -0.011

.041 -0.031 -0.012 -0.085 -0.001

.048 -0.031 -0.012 -0.056 0.010

.055 -0.032 -0.012 -0.028 0.020

.062 -0.032 -0.012 -0.000 0.030

.068 -0.032 -0.012 0.027 0.039

.075 -0.031 -0.011 0.054 0.049

.082 -0.031 -0.011 0.080 0.057

.089 -0.030 -0.010 0.105 0.066

.096 -0.029 -0.010 0.129 0.073

.102 -0.029 -0.009 0.152 0.081

.109 -0.027 -0.009 0.174 0.087

.116 -0.026 -0.008 0.194 0.093

.123 -0.025 -0.008 0.213 0.099

.129 -0.023 -0.007 0.230 0.103

.136 -0.022 -0.006 0.246 0.107

.143 -0.020 -0.006 0.260 0.111

.150 -0.018 -0.005 0.272 0.113

.156 -0.016 -0.004 0.283 0.115

.163 -0.014 -0.003 0.291 0.116

.170 -0.012 -0.002 0.298 0.117

.177 -0.010 -0.002 0.303 0.117

.183 -0.008 -0.001 0.306 0.116

.190 -0.006 -0.000 0.307 0.114

.197 -0.004 0.001 0.306 0.112

.204 -0.002 0.001 0.304 0.109

.210 0.000 0.002 0.300 0.106

.217 0.002 0.003 0.294 0.102

.224 0.004 0.004 0.287 0.098

.231 0.006 0.004 0.278 0.093

.238 0.008 0.005 0.267 0.087

.244 0.010 0.005 0.255 0.081

.251 0.011 0.006 0.242 0.075

.258 0.013 0.006 0.228 0.068

.265 0.014 0.007 0.212 0.062

.271 0.016 0.007 0.196 0.054

.278 0.017 0.008 0.178 0.047

.285 0.018 0.008 0.160 0.040

.292 0.019 0.008 0.142 0.032

.298 0.020 0.008 0.122 0.024

.305 0.021 0.008 0.103 0.017

.312 0.021 0.009 0.083 0.009

.319 0.022 0.009 0.063 0.002

.325 0.022 0.009 0.042 -0.006

.332 0.022 0.009 0.022 -0.013

.339 0.023 0.008 0.003 -0.020

.346 0.022 0.008 -0.017 -0.027maxy2 maxV1 maxV2

.059 0.024 1.009 0.425

Вывод

Мы получили одинаковые по виду графики и при решении системы ДУ методом Эйлера и при решении модифицированным методом Эйлера. Но можно заметить, что при различных способах решения значения максимальных отклонений получились различными. Это объясняется грубостью подсчета в методе Эйлера, ведущей к накоплению ошибки. Стоит также заметить, что при любом использованном методе точных значений мы не получаем.

7. Выбор оптимального параметра


С целью исследования создаваемой информационной модели переходных процессов механической системы задаю изменяемый параметр k по трем вариантам: 1) опорное расчетное значение, 2) удвоенное, 3) половинное. Оцениваю качество переходных процессов для каждого варианта по рассчитываемым показателям, стремясь минимизировать максимальные отклонения координат и скоростей движущихся деталей системы y1max, V1max, y2max, V2max.

 

.1 Половинный коэффициент демпфирования



f1(t)max

f2(t)max

y1max

y2max

V1max

V2max


9799,721

0

0,062

0,024

1,060

0,412

 

.2Удвоенный коэффициент демпфирования



f1(t)max

f2(t)max

y1max

y2max

V1max

V2max


9799,721

0

0,054

0,025

0,944

0,493




Вывод


При половинном значении изменяемого параметра механическая система является более устойчивой, так как максимальные отклонения координат и скоростей движущихся деталей системы y1max, V1max, y2max, V2max будут наименьшими, похожие результаты получены и при опорном значении, а при удвоенном значении параметра механическая система будет неустойчивой.

7.3 Определение времени полного затухания колебаний системы при половинном коэффициенте демпфирования


5,208

0,000

0

0,003

0,001

0,016

0,004

0,004

0,001

0,010

0,002

5,221

0,000

0

0,004

0,001

0,010

0,002

0,004

0,001

0,004

0,000

5,235

0,000

0

0,004

0,001

0,003

0,000

0,004

0,001

-0,003

5,248

0,000

0

0,004

0,001

-0,003

-0,003

0,004

0,001

-0,009

-0,005

5,262

0,000

0

0,004

0,001

-0,009

-0,005

0,003

0,001

-0,015

-0,007

5,275

0,000

0

0,003

0,001

-0,015

-0,007

0,003

0,001

-0,020

-0,009

5,289

0,000

0

0,003

0,001

-0,020

-0,009

0,003

0,001

-0,025

-0,010

5,302

0,000

0

0,003

0,001

-0,025

-0,010

0,003

0,001

-0,029

-0,012

5,316

0,000

0

0,003

0,001

-0,029

-0,012

0,002

0,001

-0,033

-0,013

5,329

0,000

0

0,002

0,001

-0,032

-0,013

0,002

0,000

-0,036

-0,014

5,342

0,000

0

0,002

0,000

-0,035

-0,013

0,001

0,000

-0,037

-0,014

5,356

0,000

0

0,001

0,000

-0,037

-0,014

0,001

0,000

-0,038

-0,014

5,369

0,000

0

0,001

0,000

-0,038

-0,014

0,000

0,000

-0,038

-0,014

5,383

0,000

0

0,000

0,000

-0,038

-0,014

0,000

0,000

-0,038

-0,013

5,396

0,000

0

0,000

0,000

-0,037

-0,013

-0,001

0,000

-0,036

-0,013

5,410

0,000

0

-0,001

0,000

-0,036

-0,012

-0,001

-0,001

-0,033

-0,011

5,423

0,000

0

-0,001

-0,001

-0,033

-0,011

-0,002

-0,001

-0,030

-0,010

5,437

0,000

0

-0,002

-0,001

-0,030

-0,010

-0,002

-0,001

-0,027

-0,009

5,450

0,000

0

-0,002

-0,001

-0,026

-0,008

-0,002

-0,001

-0,022

-0,007

5,464

0,000

0

-0,002

-0,001

-0,022

-0,007

-0,003

-0,001

-0,017

-0,005

5,477

0,000

0

-0,003

-0,001

-0,017

-0,005

-0,003

-0,001

-0,012

-0,003

5,491

0,000

0

-0,003

-0,001

-0,012

-0,003

-0,003

-0,001

-0,007

-0,001

5,504

0,000

0

-0,003

-0,001

-0,007

-0,001

-0,003

-0,001

-0,002

0,001

5,517

0,000

0

-0,003

-0,001

-0,002

0,001

-0,003

-0,001

0,004

0,003

5,531

0,000

0

-0,003

-0,001

0,004

0,003

-0,003

-0,001

0,009

0,005

5,544

0,000

0

-0,003

-0,001

0,009

0,005

-0,003

-0,001

0,014

0,006

5,558

0,000

0

-0,003

-0,001

0,014

0,006

-0,003

-0,001

0,018

0,008

5,571

0,000

0

-0,003

-0,001

0,018

0,008

-0,002

-0,001

0,022

0,009

5,585

0,000

0

-0,002

-0,001

0,022

0,009

-0,002

-0,001

0,026

0,010

5,598

0,000

0

-0,002

-0,001

0,025

0,010

-0,002

-0,001

0,028

0,011

5,612

0,000

0

-0,002

-0,001

0,028

0,011

-0,001

0,000

0,030

0,012

5,625

0,000

0

-0,001

0,000

0,030

0,011

-0,001

0,000

0,032

0,012

5,639

0,000

0

-0,001

0,000

0,031

0,012

0,000

0,000

0,032

0,012

5,652

0,000

0

0,000

0,000

0,032

0,012

0,000

0,000

0,032

0,012

5,665

0,000

0

0,000

0,000

0,032

0,011

0,000

0,031

0,011

5,679

0,000

0

0,000

0,000

0,031

0,011

0,001

0,000

0,030

0,010

5,692

0,000

0

0,001

0,000

0,029

0,010

0,001

0,001

0,028

0,009

5,706

0,000

0

0,001

0,001

0,027

0,009

0,002

0,001

0,025

0,008

5,719

0,000

0

0,002

0,001

0,024

0,008

0,002

0,001

0,021

0,007

5,733

0,000

0

0,002

0,001

0,021

0,007

0,002

0,001

0,018

0,005

5,746

0,000

0

0,002

0,001

0,017

0,005

0,002

0,001

0,014

0,004

5,760

0,000

0

0,002

0,001

0,013

0,004

0,003

0,001

0,009

0,002

5,773

0,000

0

0,002

0,001

0,009

0,002

0,003

0,001

0,005

0,000

5,787

0,000

0

0,003

0,001

0,005

0,000

0,003

0,001

0,000

-0,001

5,800

0,000

0

0,003

0,001

0,000

-0,001

0,003

0,001

-0,004

-0,003

5,813

0,000

0

0,003

0,001

-0,004

-0,003

0,003

0,001

-0,009

-0,004

5,827

0,000

0

0,003

0,001

-0,008

-0,004

0,002

0,001

-0,013

-0,006

5,840

0,000

0

0,002

0,001

-0,012

-0,006

0,002

0,001

-0,016

-0,007

5,854

0,000

0

0,002

0,001

-0,016

-0,007

0,002

0,001

-0,020

-0,008

5,867

0,000

0

0,002

0,001

-0,019

-0,008

0,002

0,001

-0,022

-0,009

5,881

0,000

0

0,002

0,001

-0,022

-0,009

0,001

0,000

-0,024

-0,009

5,894

0,000

0

0,001

0,000

-0,024

-0,009

0,001

0,000

-0,026

-0,010

5,908

0,000

0

0,001

0,000

-0,026

-0,010

0,001

0,000

-0,027

-0,010

5,921

0,000

0

0,001

0,000

-0,027

-0,010

0,000

0,000

-0,027

-0,010

5,935

0,000

0

0,000

0,000

-0,027

-0,010

0,000

0,000

-0,027

-0,010

5,948

0,000

0

0,000

0,000

-0,027

-0,010

0,000

0,000

-0,026

-0,009

5,962

0,000

0

0,000

0,000

-0,026

-0,009

-0,001

0,000

-0,025

-0,009

5,975

0,000

0

-0,001

0,000

-0,024

-0,008

-0,001

0,000

-0,023

-0,008

5,988

0,000

0

-0,001

0,000

-0,022

-0,008

-0,001

-0,001

-0,020

-0,007

6,002

0,000

0

-0,001

-0,001

-0,020

-0,007

-0,002

-0,001

-0,017

-0,005

6,015

0,000

0

-0,002

-0,001

-0,017

-0,005

-0,002

-0,001

-0,014

-0,004

6,029

0,000

0

-0,002

-0,001

-0,014

-0,004

-0,002

-0,001

-0,011

-0,003

6,042

0,000

0

-0,002

-0,001

-0,010

-0,003

-0,002

-0,001

-0,007

-0,001

6,056

0,000

0

-0,002

-0,001

-0,007

-0,001

-0,002

-0,001

-0,003

0,000

6,069

0,000

0

-0,002

-0,001

-0,003

0,000

-0,002

-0,001

0,001

0,001

6,083

0,000

0

-0,002

-0,001

0,001

0,001

-0,002

-0,001

0,005

0,003

6,096

0,000

0

-0,002

-0,001

0,005

0,003

-0,001

0,008

0,004

6,110

0,000

0

-0,002

-0,001

0,008

0,004

-0,002

-0,001

0,011

0,005

6,123

0,000

0

-0,002

-0,001

0,011

0,005

-0,002

-0,001

0,014

0,006

6,136

0,000

0

-0,002

-0,001

0,014

0,006

-0,002

-0,001

0,017

0,007

6,150

0,000

0

-0,002

-0,001

0,017

0,007

-0,001

0,000

0,019

0,008

6,163

0,000

0

-0,001

0,000

0,019

0,007

-0,001

0,000

0,021

0,008

6,177

0,000

0

-0,001

0,000

0,021

0,008

-0,001

0,000

0,022

0,008

6,190

0,000

0

-0,001

0,000

0,022

0,008

0,000

0,000

0,023

0,008

6,204

0,000

0

0,000

0,000

0,023

0,008

0,000

0,000

0,023

0,008

6,217

0,000

0

0,000

0,000

0,023

0,008

0,000

0,000

0,023

0,008

6,231

0,000

0

0,000

0,000

0,022

0,008

0,000

0,000

0,022

0,008

6,244

0,000

0

0,000

0,000

0,022

0,008

0,001

0,000

0,020

0,007

6,258

0,000

0

0,001

0,000

0,020

0,007

0,001

0,000

0,019

0,006

6,271

0,000

0

0,001

0,000

0,018

0,006

0,001

0,001

0,016

0,005

6,284

0,000

0

0,001

0,001

0,016

0,005

0,001

0,001

0,014

0,004

6,298

0,000

0

0,001

0,001

0,014

0,004

0,002

0,001

0,011

0,003

6,311

0,000

0

0,002

0,001

0,011

0,003

0,002

0,001

0,008

0,002

6,325

0,000

0

0,002

0,001

0,008

0,002

0,002

0,001

0,005

0,001

6,338

0,000

0

0,002

0,001

0,005

0,001

0,002

0,001

0,002

0,000

6,352

0,000

0

0,002

0,001

0,002

0,000

0,002

0,001

-0,002

-0,001

6,365

0,000

0

0,002

0,001

-0,002

-0,001

0,002

0,001

-0,005

-0,003

6,379

0,000

0

0,002

0,001

-0,005

-0,002

0,002

0,001

-0,008

-0,004

6,392

0,000

0

0,002

0,001

-0,008

-0,004

0,002

0,001

-0,010

-0,004

6,406

0,000

0

0,002

0,001

-0,010

-0,004

0,001

0,000

-0,013

-0,005

6,419

0,000

0

0,001

0,000

-0,013

-0,005

0,001

0,000

-0,015

-0,006

6,433

0,000

0

0,001

0,000

-0,015

-0,006

0,001

0,000

-0,017

-0,006

6,446

0,000

0

0,001

0,000

-0,017

-0,006

0,001

0,000

-0,018

-0,007

6,459

0,000

0

0,001

0,000

-0,018

-0,007

0,001

0,000

-0,019

-0,007

6,473

0,000

0

0,001

0,000

-0,019

-0,007

0,000

0,000

-0,019

-0,007

6,486

0,000

0

0,000

0,000

-0,019

-0,007

0,000

0,000

-0,019

-0,007

6,500

0,000

0

0,000

0,000

-0,019

-0,007

0,000

0,000

-0,019

-0,007

6,513

0,000

0

0,000

0,000

-0,019

-0,007

0,000

0,000

-0,018

-0,006

6,527

0,000

0

0,000

0,000

-0,018

-0,001

0,000

-0,017

-0,006

6,540

0,000

0

-0,001

0,000

-0,017

-0,006

-0,001

0,000

-0,015

-0,005

6,554

0,000

0

-0,001

0,000

-0,015

-0,005

-0,001

0,000

-0,013

-0,004

6,567

0,000

0

-0,001

0,000

-0,013

-0,004

-0,001

0,000

-0,011

-0,003

6,581

0,000

0

-0,001

0,000

-0,011

-0,003

-0,001

-0,001

-0,009

-0,002

6,594

0,000

0

-0,001

-0,001

-0,009

-0,002

-0,001

-0,001

-0,006

-0,002

6,607

0,000

0

-0,001

-0,001

-0,006

-0,001

-0,002

-0,001

-0,003

-0,001

6,621

0,000

0

-0,002

-0,001

-0,003

-0,001

-0,002

-0,001

-0,001

0,000

6,634

0,000

0

-0,002

-0,001

-0,001

0,000

-0,002

-0,001

0,002

0,001

6,648

0,000

0

-0,002

-0,001

0,002

0,001

-0,002

-0,001

0,005

0,002

6,661

0,000

0

-0,002

-0,001

0,005

0,002

-0,001

-0,001

0,007

0,003

6,675

0,000

0

-0,001

0,000

0,007

0,003

-0,001

0,000

0,009

0,004

6,688

0,000

0

-0,001

0,000

0,009

0,004

-0,001

0,000

0,011

0,005

6,702

0,000

0

-0,001

0,000

0,011

0,005

-0,001

0,000

0,013

0,005

6,715

0,000

0

-0,001

0,000

0,013

0,005

-0,001

0,000

0,014

0,006

6,729

0,000

0

-0,001

0,000

0,014

0,006

-0,001

0,000

0,015

0,006

6,742

0,000

0

-0,001

0,000

0,015

0,006

0,000

0,000

0,016

0,006

6,755

0,000

0

0,000

0,000

0,016

0,006

0,000

0,000

0,016

0,006

6,769

0,000

0

0,000

0,000

0,016

0,006

0,000

0,000

0,016

0,006

6,782

0,000

0

0,000

0,000

0,016

0,006

0,000

0,000

0,016

0,006

6,796

0,000

0

0,000

0,000

0,016

0,006

0,000

0,000

0,015

0,005

6,809

0,000

0

0,000

0,000

0,015

0,005

0,001

0,000

0,014

0,005

6,823

0,000

0

0,001

0,000

0,014

0,005

0,001

0,000

0,013

0,004

6,836

0,000

0

0,001

0,000

0,012

0,004

0,001

0,000

0,011

0,003

6,850

0,000

0

0,001

0,000

0,011

0,003

0,001

0,000

0,009

0,003

6,863

0,000

0

0,001

0,000

0,009

0,003

0,001

0,000

0,007

0,002

6,877

0,000

0

0,001

0,000

0,007

0,002

0,001

0,000

0,005

0,001

6,890

0,000

0

0,001

0,000

0,005

0,001

0,001

0,000

0,002

0,000

6,904

0,000

0

0,001

0,000

0,002

0,000

0,001

0,000

0,000

-0,001

6,917

0,000

0

0,001

0,000

0,000

-0,001

0,001

0,000

-0,002

-0,001

6,930

0,000

0

0,001

0,000

-0,002

-0,001

0,001

0,000

-0,004

-0,002

6,944

0,000

0

0,001

0,000

-0,004

-0,002

0,001

0,000

-0,006

-0,003

6,957

0,000

0

0,001

0,000

-0,003

0,001

0,000

-0,008

-0,003

6,971

0,000

0

0,001

0,000

-0,008

-0,003

0,001

0,000

-0,010

-0,004

6,984

0,000

0

0,001

0,000

-0,010

-0,004

0,001

0,000

-0,011

-0,004

6,998

0,000

0

0,001

0,000

-0,011

-0,004

0,001

0,000

-0,012

-0,005

7,011

0,000

0

0,001

0,000

-0,012

-0,005

0,001

0,000

-0,013

-0,005

7,025

0,000

0

0,000

0,000

-0,013

-0,005

0,000

0,000

-0,014

-0,005

7,038

0,000

0

0,000

0,000

-0,014

-0,005

0,000

0,000

-0,014

-0,005

7,052

0,000

0

0,000

0,000

-0,014

-0,005

0,000

0,000

-0,014

-0,005

7,065

0,000

0

0,000

0,000

-0,014

-0,005

0,000

0,000

-0,013

-0,005

7,078

0,000

0

0,000

0,000

-0,013

-0,005

0,000

0,000

-0,013

-0,004

7,092

0,000

0

0,000

0,000

-0,012

-0,004

-0,001

0,000

-0,011

-0,004

7,105

0,000

0

-0,001

0,000

-0,011

-0,004

-0,001

0,000

-0,010

-0,003

7,119

0,000

0

-0,001

0,000

-0,010

-0,003

-0,001

0,000

-0,009

-0,003

7,132

0,000

0

-0,001

0,000

-0,009

-0,003

-0,001

0,000

-0,007

-0,002

7,146

0,000

0

-0,001

0,000

-0,007

-0,002

-0,001

0,000

-0,005

-0,001

7,159

0,000

0

-0,001

0,000

-0,005

-0,001

-0,001

0,000

-0,003

-0,001

7,173

0,000

0

-0,001

0,000

-0,003

-0,001

-0,001

0,000

-0,001

0,000

7,186

0,000

0

-0,001

0,000

-0,001

0,000

-0,001

0,000

0,001

0,001

7,200

0,000

0

-0,001

0,000

0,001

0,001

-0,001

0,000

0,002

0,001

7,213

0,000

0

-0,001

0,000

0,002

0,001

-0,001

0,000

0,004

0,002

7,226

0,000

0

-0,001

0,000

0,004

0,002

-0,001

0,000

0,006

0,003

7,240

0,000

0

-0,001

0,000

0,006

0,003

-0,001

0,000

0,007

0,003

7,253

0,000

0

-0,001

0,000

0,007

0,003

-0,001

0,000

0,009

0,004

7,267

0,000

0

-0,001

0,000

0,009

0,003

-0,001

0,000

0,010

0,004

7,280

0,000

0

-0,001

0,000

0,010

0,004

-0,001

0,000

0,011

0,004

7,294

0,000

0

-0,001

0,000

0,011

0,004

0,000

0,000

0,011

0,004

7,307

0,000

0

0,000

0,000

0,011

0,004

0,000

0,000

0,012

0,004

7,321

0,000

0

0,000

0,000

0,012

0,004

0,000

0,000

0,012

0,004

7,334

0,000

0

0,000

0,000

0,012

0,004

0,000

0,000

0,012

0,004

7,348

0,000

0

0,000

0,000

0,011

0,004

0,000

0,000

0,011

0,004

7,361

0,000

0

0,000

0,000

0,011

0,004

0,000

0,000

0,010

0,004

7,375

0,000

0

0,000

0,000

0,010

0,004

0,001

0,000

0,009

0,003

7,388

0,000

0

0,001

0,009

0,003

0,001

0,000

0,008

0,003

7,401

0,000

0

0,001

0,000

0,008

0,003

0,001

0,000

0,007

0,002

7,415

0,000

0

0,001

0,000

0,007

0,002

0,001

0,000

0,006

0,002

7,428

0,000

0

0,001

0,000

0,005

0,002

0,001

0,000

0,004

0,001

7,442

0,000

0

0,001

0,000

0,004

0,001

0,001

0,000

0,002

0,000

7,455

0,000

0

0,001

0,000

0,002

0,000

0,001

0,000

0,001

0,000

7,469

0,000

0

0,001

0,000

0,001

0,000

0,001

0,000

-0,001

-0,001

7,482

0,000

0

0,001

0,000

-0,001

-0,001

0,001

0,000

-0,002

-0,001

7,496

0,000

0

0,001

0,000

-0,002

-0,001

0,001

0,000

-0,004

-0,002

7,509

0,000

0

0,001

0,000

-0,004

-0,002

0,001

0,000

-0,005

-0,002

7,523

0,000

0

0,001

0,000

-0,005

-0,002

0,001

0,000

-0,007

-0,003

7,536

0,000

0

0,001

0,000

-0,006

-0,003

0,001

0,000

-0,008

-0,003

7,549

0,000

0

0,001

0,000

-0,008

-0,003

0,001

0,000

-0,009

-0,003

7,563

0,000

0

0,001

0,000

-0,008

-0,003

0,000

0,000

-0,009

-0,003

7,576

0,000

0

0,000

0,000

-0,009

-0,003

0,000

0,000

-0,010

-0,004

7,590

0,000

0

0,000

0,000

-0,010

-0,004

0,000

0,000

-0,010

-0,004

7,603

0,000

0

0,000

0,000

-0,010

-0,004

0,000

0,000

-0,010

-0,004

7,617

0,000

0

0,000

0,000

-0,010

-0,004

0,000

0,000

-0,010

-0,003

7,630

0,000

0

0,000

0,000

-0,010

-0,003

0,000

0,000

-0,009

-0,003

7,644

0,000

0

0,000

0,000

-0,009

-0,003

0,000

0,000

-0,009

-0,003

7,657

0,000

0

0,000

0,000

-0,008

-0,003

0,000

0,000

-0,008

-0,003

7,671

0,000

0

0,000

0,000

-0,008

-0,003

-0,001

0,000

-0,007

-0,002

7,684

0,000

0

-0,001

0,000

-0,007

-0,002

-0,001

0,000

-0,006

-0,002

7,697

0,000

0

-0,001

0,000

-0,006

-0,002

-0,001

0,000

-0,004

-0,001

7,711

0,000

0

-0,001

0,000

-0,004

-0,001

-0,001

0,000

-0,003

-0,001

7,724

0,000

0

-0,001

0,000

-0,003

-0,001

-0,001

0,000

-0,002

0,000

7,738

0,000

0

-0,001

0,000

-0,002

0,000

-0,001

0,000

0,000

0,000

7,751

0,000

0

-0,001

0,000

0,000

0,000

-0,001

0,000

0,001

0,001

7,765

0,000

0

-0,001

0,000

0,001

0,001

-0,001

0,000

0,002

0,001

7,778

0,000

0

-0,001

0,000

0,002

0,001

-0,001

0,000

0,004

0,002

7,792

0,000

0

-0,001

0,000

0,004

0,002

-0,001

0,000

0,005

0,002

7,805

0,000

0

-0,001

0,000

0,005

0,002

-0,001

0,000

0,006

0,002

7,819

0,000

0

0,000

0,006

0,002

-0,001

0,000

0,007

0,003

7,832

0,000

0

-0,001

0,000

0,007

0,003

0,000

0,000

0,007

0,003

7,846

0,000

0

0,000

0,000

0,007

0,003

0,000

0,000

0,008

0,003

7,859

0,000

0

0,000

0,000

0,008

0,003

0,000

0,000

0,008

0,003

7,872

0,000

0

0,000

0,000

0,008

0,003

0,000

0,000

0,008

0,003

7,886

0,000

0

0,000

0,000

0,008

0,003

0,000

0,000

0,008

0,003

7,899

0,000

0

0,000

0,000

0,008

0,003

0,000

0,000

0,008

0,003

7,913

0,000

0

0,000

0,000

0,008

0,003

0,000

0,000

0,008

0,003

7,926

0,000

0

0,000

0,000

0,008

0,003

0,000

0,000

0,007

0,002

7,940

0,000

0

0,000

0,000

0,007

0,002

0,000

0,000

0,006

0,002

7,953

0,000

0

0,000

0,000

0,006

0,002

0,000

0,000

0,005

0,002

7,967

0,000

0

0,000

0,000

0,005

0,002

0,001

0,000

0,004

0,001

7,980

0,000

0

0,001

0,000

0,004

0,001

0,001

0,000

0,003

0,001

7,994

0,000

0

0,001

0,000

0,003

0,001

0,001

0,000

0,002

0,001

8,007

0,000

0

0,001

0,000

0,002

0,001

0,001

0,000

0,001

0,000

8,020

0,000

0

0,001

0,000

0,001

0,000

0,001

0,000

0,000

0,000

8,034

0,000

0

0,001

0,000

0,000

0,000

0,001

0,000

-0,001

-0,001

8,047

0,000

0

0,001

0,000

-0,001

-0,001

0,001

0,000

-0,002

-0,001

8,061

0,000

0

0,001

0,000

-0,002

-0,001

0,001

0,000

-0,003

-0,001

8,074

0,000

0

0,001

0,000

-0,003

-0,001

0,001

0,000

-0,004

-0,002

8,088

0,000

0

0,001

0,000

-0,004

-0,002

0,000

0,000

-0,005

-0,002

8,101

0,000

0

0,000

0,000

-0,005

-0,002

0,000

0,000

-0,006

-0,002

8,115

0,000

0

0,000

0,000

-0,006

-0,002

0,000

0,000

-0,006

-0,002

8,128

0,000

0

0,000

0,000

-0,006

-0,002

0,000

0,000

-0,007

-0,003

8,142

0,000

0

0,000

0,000

-0,007

-0,003

0,000

0,000

-0,007

-0,003

8,155

0,000

0

0,000

0,000

-0,007

-0,003

0,000

0,000

-0,007

-0,003

8,168

0,000

0

0,000

0,000

-0,007

-0,003

0,000

0,000

-0,007

-0,002

8,182

0,000

0

0,000

0,000

-0,007

-0,002

0,000

0,000

-0,007

-0,002

8,195

0,000

0

0,000

0,000

-0,007

-0,002

0,000

0,000

-0,006

-0,002

8,209

0,000

0

0,000

0,000

-0,006

-0,002

0,000

0,000

-0,006

-0,002

8,222

0,000

0

0,000

0,000

-0,006

-0,002

0,000

0,000

-0,005

-0,002

8,236

0,000

0

0,000

0,000

-0,005

-0,002

0,000

0,000

-0,004

-0,001

8,249

0,000

0,000

0,000

-0,004

-0,001

0,000

0,000

-0,004

-0,001

8,263

0,000

0

0,000

0,000

-0,003

-0,001

-0,001

0,000

-0,003

-0,001

8,276

0,000

0

-0,001

0,000

-0,003

-0,001

-0,001

0,000

-0,002

0,000

8,290

0,000

0

-0,001

0,000

-0,002

0,000

-0,001

0,000

-0,001

0,000

8,303

0,000

0

-0,001

0,000

-0,001

0,000

-0,001

0,000

0,000

0,000

8,317

0,000

0

-0,001

0,000

0,000

0,000

-0,001

0,000

0,001

0,001

8,330

0,000

0

-0,001

0,000

0,001

0,001

-0,001

0,000

0,002

0,001

8,343

0,000

0

-0,001

0,000

0,002

0,001

-0,001

0,000

0,003

0,001

8,357

0,000

0

0,000

0,000

0,003

0,001

0,000

0,000

0,004

0,002

8,370

0,000

0

0,000

0,000

0,004

0,002

0,000

0,000

0,004

0,002

8,384

0,000

0

0,000

0,000

0,004

0,002

0,000

0,000

0,005

0,002

8,397

0,000

0

0,000

0,000

0,005

0,002

0,000

0,000

0,005

0,002

8,411

0,000

0

0,000

0,000

0,005

0,002

0,000

0,000

0,006

0,002

8,424

0,000

0

0,000

0,000

0,006

0,002

0,000

0,000

0,006

0,002

8,438

0,000

0

0,000

0,000

0,006

0,002

0,000

0,000

0,006

0,002

8,451

0,000

0

0,000

0,000

0,006

0,002

0,000

0,000

0,006

0,002

8,465

0,000

0

0,000

0,000

0,006

0,002

0,000

0,000

0,006

0,002

8,478

0,000

0

0,000

0,000

0,006

0,002

0,000

0,000

0,005

0,002

8,491

0,000

0

0,000

0,000

0,005

0,002

0,000

0,000

0,005

0,002

8,505

0,000

0

0,000

0,000

0,005

0,002

0,000

0,000

0,004

0,001

8,518

0,000

0

0,000

0,000

0,004

0,001

0,000

0,000

0,004

0,001

8,532

0,000

0

0,000

0,000

0,003

0,001

0,000

0,000

0,003

0,001

8,545

0,000

0

0,000

0,000

0,003

0,001

0,000

0,000

0,002

0,001

8,559

0,000

0

0,000

0,000

0,002

0,001

0,000

0,000

0,001

0,000

8,572

0,000

0

0,000

0,000

0,001

0,000

0,000

0,000

0,000

0,000

8,586

0,000

0

0,000

0,000

0,000

0,000

0,000

0,000

0,000

0,000


Видно, что полное затухание колебаний происходит гораздо медленнее, чем при расчетном коэффициенте демпфирования на 3,5 секунды. Но за счет этого достигается устойчивость системы.

 

.4 Определение времени полного затухания колебаний системы при удвоенном коэффициенте демпфирования


ht=

0,0134571










t

f1(t)

f2(t)

y1

y2

V1

V2

y1i+1

y2i+1

V1i+1

V2i+1

0,000

0,000

0

0,000

0,000

0,000

0,000

0,000

0,000

0,000

0,000

0,013

2918,244

0

0,000

0,000

0,020

0,000

0,000

0,000

0,056

0,032

0,027

5571,713

0

0,001

0,000

0,073

0,039

0,001

0,001

0,142

0,091

0,040

7719,655

0

0,002

0,001

0,154

0,098

0,004

0,002

0,247

0,159

0,054

9167,185

0

0,005

0,003

0,253

0,162

0,008

0,005

0,221

0,067

9782,968

0

0,009

0,005

0,356

0,221

0,014

0,008

0,457

0,266

0,081

9511,133

0

0,014

0,009

0,448

0,263

0,020

0,012

0,531

0,289

0,094

8376,344

0

0,021

0,012

0,516

0,283

0,028

0,016

0,569

0,283

0,108

6481,561

0

0,028

0,016

0,548

0,275

0,035

0,020

0,559

0,247

0,121

3998,700

0

0,036

0,020

0,535

0,238

0,043

0,023

0,499

0,183

0,135

1153,033

0

0,043

0,023

0,473

0,174

0,049

0,025

0,387

0,094

0,148

-1797,250

0

0,048

0,024

0,363

0,086

0,053

0,025

0,231

-0,012

0,161

-4584,466

0

0,052

0,025

0,210

-0,018

0,055

0,025

0,039

-0,127

0,175

-6955,730

0

0,054

0,024

0,024

-0,131

0,054

0,022

-0,174

-0,241

0,188

-8695,893

0

0,053

0,021

-0,181

-0,242

0,050

0,018

-0,392

-0,344

0,202

-9647,070

0

0,049

0,017

-0,390

-0,342

0,044

0,013

-0,596

-0,427

0,215

-9722,960

0

0,042

0,012

-0,586

-0,421

0,035

0,007

-0,770

-0,482

0,229

-8916,675

0

0,033

0,006

-0,751

-0,474

0,023

0,000

-0,898

-0,504

0,242

-7301,373

0

0,022

0,000

-0,873

-0,493

0,010

-0,007

-0,970

-0,489

0,256

-5023,609

0

0,010

-0,007

-0,939

-0,477

-0,003

-0,013

-0,977

-0,439

0,269

-2290,049

0

-0,003

-0,013

-0,944

-0,427

-0,016

-0,019

-0,918

-0,357

0,283

651,289

0

-0,016

-0,018

-0,886

-0,345

-0,028

-0,023

-0,797

-0,249

0,296

3533,535

0

-0,027

-0,022

-0,768

-0,239

-0,037

-0,026

-0,623

-0,124

0,310

6095,181

0

-0,036

-0,025

-0,599

-0,116

-0,044

-0,026

-0,409

0,009

0,323

8103,804

0

-0,043

-0,026

-0,392

0,013

-0,048

-0,025

-0,172

0,138

0,336

9377,162

0

-0,047

-0,025

-0,163

0,139

-0,049

-0,023

0,070

0,254

0,350

9799,721

0

-0,047

-0,022

0,069

0,251

-0,047

-0,019

0,297

0,346

0,363

9333,142

0

-0,045

-0,018

0,287

0,340

-0,041

-0,013

0,492

0,408

0,377

8019,758

0

-0,040

-0,013

0,473

0,399

-0,033

-0,008

0,640

0,435

0,390

5978,734

0

-0,032

-0,007

0,614

0,424

-0,024

-0,002

0,730

0,426

0,404

3395,254

0

-0,023

-0,002

0,700

0,413

-0,014

0,004

0,757

0,382

0,417

503,719

0

-0,013

0,004

0,725

0,369

-0,004

0,009

0,720

0,308

0,431

-2433,519

0

-0,004

0,008

0,689

0,296

0,006

0,012

0,625

0,211

0,444

-5149,962

0

0,005

0,012

0,598

0,201

0,013

0,014

0,482

0,100

0,458

-7399,143

0

0,012

0,014

0,461

0,093

0,019

0,015

0,305

-0,014

0,471

-8976,993

0

0,018

0,014

0,292

-0,018

0,021

0,014

0,113

-0,122

0,484

-9740,352

0

0,020

0,013

0,108

-0,122

0,022

-0,078

-0,213

0,498

-9619,960

0

0,020

0,011

-0,074

-0,210

0,019

0,008

-0,250

-0,279

0,511

-8626,739

0

0,018

0,008

-0,237

-0,273

0,015

0,004

-0,387

-0,316

0,525

-6850,807

0

0,014

0,004

-0,367

-0,307

0,009

0,000

-0,476

-0,319

0,538

-4453,294

0

0,008

0,000

-0,451

-0,308

0,002

-0,005

-0,511

-0,289

0,552

-1651,729

0

0,002

-0,004

-0,483

-0,278

-0,005

-0,008

-0,489

-0,230

0,565

1299,698

0

-0,005

-0,008

-0,461

-0,220

-0,011

-0,011

-0,413

-0,148

0,579

4133,203

0

-0,010

-0,010

-0,388

-0,138

-0,016

-0,012

-0,292

-0,050

0,592

6591,698

0

-0,015

-0,012

-0,271

-0,043

-0,019

-0,012

-0,136

0,054

0,606

8452,122

0

-0,018

-0,011

-0,123

0,058

-0,019

-0,011

0,037

0,154

0,619

9545,677

0

-0,018

-0,010

0,042

0,154

-0,018

-0,008

0,211

0,239

0,632

9773,144

0

-0,017

-0,007

0,207

0,237

-0,014

-0,004

0,368

0,302

0,646

9113,884

0

-0,013

-0,004

0,357

0,297

-0,008

0,000

0,493

0,337

0,659

7627,713

0

-0,007

0,000

0,475

0,329

-0,001

0,005

0,574

0,340

0,673

5449,472

0

0,000

0,005

0,549

0,330

0,007

0,009

0,601

0,310

0,686

0,000

0

0,008

0,009

0,554

0,299

0,015

0,013

0,517

0,219

0,700

0,000

0

0,015

0,013

0,509

0,202

0,022

0,016

0,454

0,136

0,713

0,000

0

0,021

0,015

0,448

0,133

0,027

0,017

0,380

0,080

0,727

0,000

0

0,027

0,016

0,376

0,081

0,032

0,018

0,301

0,036

0,740

0,000

0

0,032

0,017

0,298

0,037

0,036

0,018

0,218

-0,002

0,754

0,000

0

0,035

0,018

0,217

0,000

0,038

0,018

0,136

-0,036

0,767

0,000

0

0,037

0,017

0,135

-0,034

0,039

0,017

0,055

-0,066

0,781

0,000

0

0,039

0,017

0,056

-0,064

0,039

0,016

-0,021

-0,092

0,794

0,000

0

0,039

0,016

-0,020

-0,090

0,039

0,014

-0,092

-0,113

0,807

0,000

0

0,038

0,014

-0,090

-0,111

0,037

0,013

-0,156

-0,131

0,821

0,000

0

0,036

0,013

-0,153

-0,129

0,034

0,011

-0,212

-0,144

0,834

0,000

0

0,034

0,011

-0,208

-0,142

0,031

0,009

-0,259

-0,153

0,848

0,000

0

0,031

0,009

-0,254

-0,151

0,027

0,007

-0,296

-0,157

0,861

0,000

0

0,027

0,007

-0,291

-0,155

0,023

0,005

-0,323

-0,157

0,875

0,000

0

0,023

0,005

-0,319

-0,155

0,019

0,002

-0,341

-0,153

0,888

0,000

0

0,019

0,002

-0,336

-0,151

0,014

0,000

-0,349

-0,146

0,902

0,000

0

0,014

0,000

-0,344

-0,144

0,009

-0,001

-0,347

-0,135

0,915

0,000

0

0,009

-0,001

-0,343

-0,134

-0,003

-0,337

-0,122

0,929

0,000

0

0,005

-0,003

-0,333

-0,121

0,000

-0,005

-0,319

-0,106

0,942

0,000

0

0,000

-0,005

-0,316

-0,105

-0,004

-0,006

-0,295

-0,089

0,955

0,000

0

-0,004

-0,006

-0,291

-0,089

-0,008

-0,007

-0,264

-0,071

0,969

0,000

0

-0,007

-0,007

-0,262

-0,071

-0,011

-0,008

-0,230

-0,052

0,982

0,000

0

-0,011

-0,008

-0,227

-0,052

-0,014

-0,009

-0,191

-0,034

0,996

0,000

0

-0,014

-0,008

-0,190

-0,034

-0,016

-0,009

-0,151

-0,015

1,009

0,000

0

-0,016

-0,009

-0,150

-0,015

-0,018

-0,009

-0,109

0,002

1,023

0,000

0

-0,018

-0,009

-0,109

0,002

-0,019

-0,009

-0,068

0,019

1,036

0,000

0

-0,019

-0,009

-0,068

0,018

-0,020

-0,008

-0,027

0,033

1,050

0,000

0

-0,019

-0,008

-0,028

0,033

-0,020

-0,008

0,011

0,046

1,063

0,000

0

-0,020

-0,008

0,010

0,045

-0,019

-0,007

0,047

0,057

1,077

0,000

0

-0,019

-0,007

0,046

0,056

-0,019

-0,006

0,079

0,066

1,090

0,000

0

-0,018

-0,006

0,077

0,065

-0,017

-0,005

0,107

0,073

1,103

0,000

0

-0,017

-0,005

0,105

0,072

-0,016

-0,004

0,131

0,077

1,117

0,000

0

-0,016

-0,004

0,128

0,076

-0,014

-0,003

0,149

0,079

1,130

0,000

0

-0,014

-0,003

0,147

0,078

-0,012

-0,002

0,163

0,079

1,144

0,000

0

-0,012

-0,002

0,161

0,078

-0,009

-0,001

0,172

0,077

1,157

0,000

0

-0,009

-0,001

0,169

0,076

-0,007

0,000

0,175

0,073

1,171

0,000

0

-0,007

0,000

0,173

0,072

-0,005

0,001

0,175

0,068

1,184

0,000

0

-0,005

0,001

0,172

0,067

-0,002

0,002

0,170

0,061

1,198

0,000

0

-0,002

0,002

0,167

0,061

0,000

0,002

0,161

0,053

1,211

0,000

0

0,000

0,002

0,159

0,053

0,002

0,003

0,148

0,045

1,225

0,000

0

0,002

0,003

0,146

0,044

0,004

0,004

0,133

0,036

1,238

0,000

0

0,004

0,004

0,131

0,035

0,006

0,004

0,115

0,026

1,252

0,000

0

0,005

0,004

0,114

0,026

0,007

0,004

0,096

0,017

1,265

0,000

0

0,007

0,004

0,095

0,017

0,008

0,004

0,075

0,008

1,278

0,000

0

0,008

0,004

0,075

0,008

0,009

0,005

0,055

-0,001

1,292

0,000

0

0,009

0,004

0,054

-0,001

0,010

0,004

0,034

-0,009

1,305

0,000

0

0,009

0,004

0,034

-0,009

0,010

0,004

0,013

-0,017

1,319

0,000

0

0,010

0,004

0,014

-0,017

0,010

0,004

-0,006

-0,023

1,332

0,000

0

0,010

0,004

-0,006

-0,023

0,010

0,004

-0,024

-0,029

1,346

0,000

0

0,010

0,004

-0,023

0,009

0,003

-0,040

-0,033

1,359

0,000

0

0,009

0,003

-0,039

-0,033

0,009

0,003

-0,054

-0,037

1,373

0,000

0

0,009

0,003

-0,053

-0,036

0,008

0,002

-0,066

-0,039

1,386

0,000

0

0,008

0,002

-0,065

-0,038

0,007

0,002

-0,075

-0,040

1,400

0,000

0

0,007

0,002

-0,074

-0,039

0,006

0,001

-0,082

-0,040

1,413

0,000

0

0,006

0,001

-0,081

-0,039

0,005

0,001

-0,086

-0,039

1,426

0,000

0

0,005

0,001

-0,085

-0,038

0,004

0,000

-0,088

-0,037

1,440

0,000

0

0,004

0,000

-0,087

-0,036

0,002

0,000

-0,088

-0,034

1,453

0,000

0

0,002

0,000

-0,087

-0,034

0,001

-0,001

-0,085

-0,031

1,467

0,000

0

0,001

-0,001

-0,084

-0,030

0,000

-0,001

-0,081

-0,027

1,480

0,000

0

0,000

-0,001

-0,080

-0,027

-0,001

-0,002

-0,074

-0,022

1,494

0,000

0

-0,001

-0,002

-0,074

-0,022

-0,002

-0,002

-0,067

-0,018

1,507

0,000

0

-0,002

-0,002

-0,066

-0,018

-0,003

-0,002

-0,058

-0,013

1,521

0,000

0

-0,003

-0,002

-0,057

-0,013

-0,004

-0,002

-0,048

-0,008

1,534

0,000

0

-0,003

-0,002

-0,048

-0,008

-0,004

-0,002

-0,038

-0,004

1,548

0,000

0

-0,004

-0,002

-0,038

-0,004

-0,005

-0,002

-0,027

0,001

1,561

0,000

0

-0,004

-0,002

-0,027

0,001

-0,005

-0,002

-0,017

0,005

1,574

0,000

0

-0,005

-0,002

-0,017

0,005

-0,005

-0,002

-0,006

0,009

1,588

0,000

0

-0,005

-0,002

-0,007

0,008

-0,005

-0,002

0,003

0,012

1,601

0,000

0

-0,005

-0,002

0,003

0,012

-0,005

-0,002

0,012

0,015

1,615

0,000

0

-0,005

-0,002

0,012

0,014

-0,005

-0,002

0,020

0,017

1,628

0,000

0

-0,005

-0,002

0,020

0,017

-0,004

-0,001

0,027

0,018

1,642

0,000

0

-0,004

-0,001

0,027

0,018

-0,004

-0,001

0,033

0,020

1,655

0,000

0

-0,004

-0,001

0,033

0,019

-0,003

-0,001

0,038

0,020

1,669

0,000

0

-0,003

-0,001

0,037

0,020

-0,003

-0,001

0,041

0,020

1,682

0,000

0

-0,003

-0,001

0,041

0,020

-0,002

0,000

0,044

0,019

1,696

0,000

0

-0,002

0,000

0,043

0,019

-0,002

0,000

0,044

0,019

1,709

0,000

0

-0,002

0,000

0,044

0,018

-0,001

0,000

0,044

0,017

1,723

0,000

0

-0,001

0,000

0,044

0,017

-0,001

0,000

0,043

0,015

1,736

0,000

0

-0,001

0,000

0,042

0,015

0,000

0,001

0,041

0,013

1,749

0,000

0

0,000

0,001

0,040

0,013

0,001

0,001

0,037

0,011

1,763

0,000

0

0,001

0,001

0,037

0,011

0,001

0,001

0,033

0,009

1,776

0,000

0

0,001

0,001

0,009

0,001

0,001

0,029

0,007

1,790

0,000

0

0,001

0,001

0,029

0,007

0,002

0,001

0,024

0,004

1,803

0,000

0

0,002

0,001

0,024

0,004

0,002

0,001

0,019

0,002

1,817

0,000

0

0,002

0,001

0,019

0,002

0,002

0,001

0,014

0,000

1,830

0,000

0

0,002

0,001

0,014

0,000

0,002

0,001

0,008

-0,002

1,844

0,000

0

0,002

0,001

0,008

-0,002

0,003

0,001

0,003

-0,004

1,857

0,000

0

0,002

0,001

0,003

-0,004

0,003

0,001

-0,002

-0,006

1,871

0,000

0

0,002

0,001

-0,002

-0,006

0,002

0,001

-0,006

-0,007

1,884

0,000

0

0,002

0,001

-0,006

-0,007

0,002

0,001

-0,010

-0,008

1,897

0,000

0

0,002

0,001

-0,010

-0,008

0,002

0,001

-0,014

-0,009

1,911

0,000

0

0,002

0,001

-0,014

-0,009

0,002

0,001

-0,017

-0,010

1,924

0,000

0

0,002

0,001

-0,017

-0,010

0,002

0,000

-0,019

-0,010

1,938

0,000

0

0,002

0,000

-0,019

-0,010

0,001

0,000

-0,021

-0,010

1,951

0,000

0

0,001

0,000

-0,021

-0,010

0,001

0,000

-0,022

-0,010

1,965

0,000

0

0,001

0,000

-0,022

-0,010

0,001

0,000

-0,022

-0,009

1,978

0,000

0

0,001

0,000

-0,022

-0,009

0,001

0,000

-0,022

-0,009

1,992

0,000

0

0,001

0,000

-0,022

-0,009

0,000

0,000

-0,022

-0,008

2,005

0,000

0

0,000

0,000

-0,021

-0,008

0,000

0,000

-0,020

-0,007

2,019

0,000

0

0,000

0,000

-0,020

-0,007

0,000

0,000

-0,019

-0,006

2,032

0,000

0

0,000

0,000

-0,019

-0,006

-0,001

0,000

-0,017

-0,004

2,045

0,000

0

0,000

0,000

-0,017

-0,004

-0,001

-0,001

-0,015

-0,003

2,059

0,000

0

-0,001

-0,001

-0,014

-0,003

-0,001

-0,001

-0,012

-0,002

2,072

0,000

0

-0,001

-0,001

-0,012

-0,002

-0,001

-0,001

-0,009

-0,001

2,086

0,000

0

-0,001

-0,001

-0,009

-0,001

-0,001

-0,001

-0,007

0,000

2,099

0,000

0

-0,001

-0,001

-0,007

0,000

-0,001

-0,001

-0,004

0,001

2,113

0,000

0

-0,001

-0,001

-0,004

0,001

-0,001

-0,001

-0,002

0,002

2,126

0,000

0

-0,001

-0,001

-0,002

0,002

-0,001

-0,001

0,001

0,003

2,140

0,000

0

-0,001

0,000

0,001

0,003

-0,001

0,000

0,003

0,004

2,153

0,000

0

-0,001

0,000

0,003

0,004

-0,001

0,000

0,005

0,004

2,167

0,000

0

-0,001

0,000

0,005

0,004

-0,001

0,000

0,007

0,005

2,180

0,000

0

-0,001

0,000

0,007

0,005

-0,001

0,000

0,008

0,005

2,194

0,000

0

-0,001

0,000

0,008

0,005

-0,001

0,000

0,010

0,005

2,207

0,000

0

-0,001

0,009

0,005

-0,001

0,000

0,010

0,005

2,220

0,000

0

-0,001

0,000

0,010

0,005

-0,001

0,000

0,011

0,005

2,234

0,000

0

-0,001

0,000

0,011

0,005

0,000

0,000

0,011

0,005

2,247

0,000

0

0,000

0,000

0,011

0,005

0,000

0,000

0,011

0,004

2,261

0,000

0

0,000

0,000

0,011

0,004

0,000

0,000

0,011

0,004

2,274

0,000

0

0,000

0,000

0,011

0,004

0,000

0,000

0,010

0,003

2,288

0,000

0

0,000

0,000

0,010

0,003

0,000

0,000

0,009

0,003

2,301

0,000

0

0,000

0,000

0,009

0,003

0,000

0,000

0,008

0,002

2,315

0,000

0

0,000

0,000

0,008

0,002

0,000

0,000

0,007

0,002

2,328

0,000

0

0,000

0,000

0,007

0,002

0,000

0,000

0,006

0,001

2,342

0,000

0

0,000

0,000

0,006

0,001

0,001

0,000

0,005

0,000

2,355

0,000

0

0,001

0,000

0,005

0,000

0,001

0,000

0,003

0,000

2,368

0,000

0

0,001

0,000

0,003

0,000

0,001

0,000

0,002

-0,001

2,382

0,000

0

0,001

0,000

0,002

-0,001

0,001

0,000

0,001

-0,001

2,395

0,000

0

0,001

0,000

0,001

-0,001

0,001

0,000

0,000

-0,002

2,409

0,000

0

0,001

0,000

0,000

-0,001

0,001

0,000

-0,002

-0,002

2,422

0,000

0

0,001

0,000

-0,002

-0,002

0,001

0,000

-0,003

-0,002

2,436

0,000

0

0,001

0,000

-0,003

-0,002

0,001

0,000

-0,004

-0,002

2,449

0,000

0

0,001

0,000

-0,003

-0,002

0,001

0,000

-0,004

-0,002

2,463

0,000

0

0,000

0,000

-0,004

-0,002

0,000

0,000

-0,005

-0,003

2,476

0,000

0

0,000

0,000

-0,005

-0,003

0,000

0,000

-0,005

-0,003

2,490

0,000

0

0,000

0,000

-0,005

-0,003

0,000

0,000

-0,006

-0,002

2,503

0,000

0

0,000

0,000

-0,005

-0,002

0,000

0,000

-0,006

-0,002

2,516

0,000

0

0,000

0,000

-0,006

-0,002

0,000

0,000

-0,006

-0,002

2,530

0,000

0

0,000

0,000

-0,006

-0,002

0,000

0,000

-0,005

-0,002

2,543

0,000

0

0,000

0,000

-0,005

-0,002

0,000

0,000

-0,005

-0,002

2,557

0,000

0

0,000

0,000

-0,005

-0,002

0,000

0,000

-0,005

-0,001

2,570

0,000

0

0,000

0,000

-0,005

-0,001

0,000

0,000

-0,004

-0,001

2,584

0,000

0

0,000

0,000

-0,004

-0,001

0,000

0,000

-0,004

-0,001

2,597

0,000

0

0,000

0,000

-0,004

-0,001

0,000

0,000

-0,003

-0,001

2,611

0,000

0

0,000

0,000

-0,003

-0,001

0,000

0,000

-0,002

0,000

2,624

0,000

0

0,000

0,000

-0,002

0,000

0,000

0,000

-0,002

0,000

2,638

0,000

0

0,000

-0,002

0,000

0,000

0,000

-0,001

0,000

2,651

0,000

0

0,000

0,000

-0,001

0,000

0,000

0,000

0,000

0,001

2,665

0,000

0

0,000

0,000

0,000

0,001

0,000

0,000

0,000

0,001

2,678

0,000

0

0,000

0,000

0,000

0,001

0,000

0,000

0,001

0,001

2,691

0,000

0

0,000

0,000

0,001

0,001

0,000

0,000

0,001

0,001

2,705

0,000

0

0,000

0,000

0,001

0,001

0,000

0,000

0,002

0,001

2,718

0,000

0

0,000

0,000

0,002

0,001

0,000

0,000

0,002

0,001

2,732

0,000

0

0,000

0,000

0,002

0,001

0,000

0,000

0,002

0,001

2,745

0,000

0

0,000

0,000

0,002

0,001

0,000

0,000

0,003

0,001

2,759

0,000

0

0,000

0,000

0,003

0,001

0,000

0,000

0,003

0,001

2,772

0,000

0

0,000

0,000

0,003

0,001

0,000

0,000

0,003

0,001

2,786

0,000

0

0,000

0,000

0,003

0,001

0,000

0,000

0,003

0,001

2,799

0,000

0

0,000

0,000

0,003

0,001

0,000

0,000

0,003

0,001

2,813

0,000

0

0,000

0,000

0,003

0,001

0,000

0,000

0,003

0,001

2,826

0,000

0

0,000

0,000

0,003

0,001

0,000

0,000

0,002

0,001

2,839

0,000

0

0,000

0,000

0,002

0,001

0,000

0,000

0,002

0,001

2,853

0,000

0

0,000

0,000

0,002

0,001

0,000

0,000

0,002

0,000

2,866

0,000

0

0,000

0,000

0,002

0,000

0,000

0,000

0,002

0,000

2,880

0,000

0

0,000

0,000

0,002

0,000

0,000

0,000

0,001

0,000

2,893

0,000

0

0,000

0,000

0,001

0,000

0,000

0,000

0,001

0,000

2,907

0,000

0

0,000

0,000

0,001

0,000

0,000

0,000

0,001

0,000

2,920

0,000

0

0,000

0,000

0,001

0,000

0,000

0,000

0,000

0,000

2,934

0,000

0

0,000

0,000

0,000

0,000

0,000

0,000

0,000

0,000

2,947

0,000

0

0,000

0,000

0,000

0,000

0,000

0,000

0,000

0,000

2,961

0,000

0

0,000

0,000

0,000

0,000

0,000

0,000

-0,001

-0,001

2,974

0,000

0

0,000

0,000

-0,001

-0,001

0,000

0,000

-0,001

-0,001

2,987

0,000

0

0,000

0,000

-0,001

-0,001

0,000

0,000

-0,001

-0,001

3,001

0,000

0

0,000

0,000

-0,001

-0,001

0,000

0,000

-0,001

-0,001

3,014

0,000

0

0,000

0,000

-0,001

-0,001

0,000

0,000

-0,001

-0,001

3,028

0,000

0

0,000

0,000

-0,001

-0,001

0,000

0,000

-0,001

-0,001

3,041

0,000

0

0,000

0,000

-0,001

-0,001

0,000

0,000

-0,001

-0,001

3,055

0,000

0

0,000

0,000

-0,001

-0,001

0,000

0,000

-0,001

-0,001

3,068

0,000

0,000

0,000

-0,001

-0,001

0,000

0,000

-0,001

0,000

3,082

0,000

0

0,000

0,000

-0,001

0,000

0,000

0,000

-0,001

0,000

3,095

0,000

0

0,000

0,000

-0,001

0,000

0,000

0,000

-0,001

0,000

3,109

0,000

0

0,000

0,000

-0,001

0,000

0,000

0,000

-0,001

0,000

3,122

0,000

0

0,000

0,000

-0,001

0,000

0,000

0,000

-0,001

0,000

3,136

0,000

0

0,000

0,000

-0,001

0,000

0,000

0,000

-0,001

0,000

3,149

0,000

0

0,000

0,000

-0,001

0,000

0,000

0,000

-0,001

0,000

3,162

0,000

0

0,000

0,000

-0,001

0,000

0,000

0,000

0,000

0,000

3,176

0,000

0

0,000

0,000

0,000

0,000

0,000

0,000

0,000

0,000

3,189

0,000

0

0,000

0,000

0,000

0,000

0,000

0,000

0,000

0,000

3,203

0,000

0

0,000

0,000

0,000

0,000

0,000

0,000

0,000

0,000

3,216

0,000

0

0,000

0,000

0,000

0,000

0,000

0,000

0,000

0,000

3,230

0,000

0

0,000

0,000

0,000

0,000

0,000

0,000

0,000

0,000

3,243

0,000

0

0,000

0,000

0,000

0,000

0,000

0,000

0,000

0,000

3,257

0,000

0

0,000

0,000

0,000

0,000

0,000

0,000

0,001

0,000

3,270

0,000

0

0,000

0,000

0,001

0,000

0,000

0,000

0,001

0,000

3,284

0,000

0

0,000

0,000

0,001

0,000

0,000

0,000

0,001

0,000

3,297

0,000

0

0,000

0,000

0,001

0,000

0,000

0,000

0,001

0,000

3,310

0,000

0

0,000

0,000

0,001

0,000

0,000

0,000

0,001

0,000

3,324

0,000

0

0,000

0,000

0,001

0,000

0,000

0,000

0,001

0,000

3,337

0,000

0

0,000

0,000

0,001

0,000

0,000

0,000

0,001

0,000

3,351

0,000

0

0,000

0,000

0,001

0,000

0,000

0,000

0,001

0,000

3,364

0,000

0

0,000

0,000

0,001

0,000

0,000

0,000

0,001

0,000

3,378

0,000

0

0,000

0,000

0,001

0,000

0,000

0,000

0,001

0,000

3,391

0,000

0

0,000

0,000

0,001

0,000

0,000

0,000

0,000

0,000

3,405

0,000

0

0,000

0,000

0,000

0,000

0,000

0,000

0,000

0,000


Видно, что полное затухание колебаний системы происходит на две секунды раньше, чем при расчетном коэффициенте демпфирования, однако в этом случае система является неустойчивой.

Вывод


На колебания системы значительное влияние оказывает коэффициент демпфирования. При половинном k система является наиболее устойчивой и затухания происходят медленнее, чем при расчетном k. При удвоенном коэффициенте система является не устойчивой и колебания затухают быстрее, чем при расчетном k.

Похожие работы на - Исследование переходных процессов в механической системе

 

Не нашли материал для своей работы?
Поможем написать уникальную работу
Без плагиата!
Без нейросетей!