Исследование и синтез автоматизированной системы управления углового перемещения электродвигателя постоянного тока
Министерство
Образования Республики Беларусь
Белорусский
Национальный Технический Университет
Кафедра
"Робототехнические системы"
ПОЯСНИТЕЛЬНАЯ
ЗАПИСКА
к курсовому
проекту по курсу "Теория Автоматического Управления"
Анализ и
синтез автоматизированной системы управления углового перемещения
электродвигателя постоянного тока
Минск-2004
Содержание
Введение
. Анализ
объекта
.1 Описание
объекта регулирования
.2 Построение
переходных характеристик объекта регулирования
.3 Анализ
временных и частотных характеристик объекта
.4 Анализ
устойчивости системы
.5 Вывод из
анализа не скорректированной системы
. Синтез
замкнутой системы управления, угла поворота вала с использованием регуляторов
.1 Синтез
регулирования контура тока
.2 Синтез
регулирования контура скорости
.3 Синтез
регулирования контура положения
.4 Общая
передаточная функцию объекта регулирования
. Анализ
характеристик скорректированной системы управления
.1
Исследование работы скорректированной системы и построение графиков
.2 Устойчивость
объекта с запасом устойчивости
Заключение
Литература
Введение
Современные системы автоматического управления электроприводами (САУ)
характеризуются главным образом быстродействием и высокой точностью обработки
заданных законов движения. Это позволяет повысить производительность
промышленных установок и обеспечить необходимое качество выпускаемой продукции.
Автоматическое управление представляет совокупность воздействий,
направленных на осуществление функционирования объекта управления в соответствии
с имеющейся программой или целью управления, и выполняется с помощью
автоматических управляющих устройств. Современная теория автоматического
регулирования является основной частью теории управления. Система
автоматического регулирования состоит из регулируемого объекта и элементов
управления, которые воздействуют на объект при изменении одной или нескольких
регулируемых переменных. Под влиянием входных сигналов (управления или
возмущения) изменяются регулируемые переменные. Цель же регулирования заключается
в формировании таких законов, при которых выходные регулируемые переменные мало
отличались бы от требуемых значений. Решение данной задачи во многом
осложняется наличием случайных возмущений (помех). При этом необходимо выбирать
такой закон регулирования.
Определение параметров системы, когда известна ее структура и требования
на всю систему в целом, относится к задаче синтеза. Решение этой задачи при
линейном объекте регулирования можно найти, используя частные методы, например,
способ корневого годографа или изучая траектории корней характеристического
уравнения замкнутой системы.
В работе рассмотрены задачи анализа и задачи синтеза.
Анализ систем - это процедура определения параметров системы при заранее
выбранной структуре (расчётным путём или моделированием) и оценка качества
регулирования. Синтез систем - процедура нахождения структуры системы в целом и
определение значений параметров настройки корректирующих устройств, которые
обеспечивают при заданных воздействиях заданные показатели качества. Исследование
заключается в построении переходных, импульсных переходных характеристик, АФЧХ,
ЛАХ и фазовые характеристики в логарифмической системе координат. Далее
проводится анализ устойчивости нескорректированной системы с использованием
алгебраического критерия Гурвица. И далее непосредственно синтез САУ с
использованием метода по контурной оптимизации.
Полученные, таким образом, в процессе синтеза и анализа системы
регулирования позволяют обеспечить высокое качество выпускаемой продукции,
снижают её себестоимость и увеличивают производительность труда.
1. Анализ объекта
.1 Описание объекта регулирования
Объект регулирования - электропривод постоянного тока. Электропривод
включает: электродвигатель и редуктор. Схема обобщенного объекта регулирования
имеет вид:
Структурная схема электродвигателя постоянного тока с редуктором:
X(t) - входное воздействие;
U(t) -
управляющее напряжение;
I(t) -
ток якоря двигателя (вспомогательная регулируемая величина);
m(t) -
возмущающее воздействие.
v(t) - скорость вращения вала двигателя
(вспомогательная регулируемая величина);
μ(t) - угловое перемещение выходного
вала редуктора (основная регулируемая величина);
Передаточные
функции элементов объекта регулирования:
-
передаточная функция;
-
передаточная функция вентильного преобразователя;
-
передаточная функция электрической части;
-
передаточная функция и механической части;
-
передаточная функция редуктора;
-
передаточная функция датчика тока;
-
передаточная функция датчика скорости;
-
передаточная функция датчика перемещения;
где
КУ - коэффициент усиления усилителя;
ТП
- постоянная времени преобразователя;
КП
- коэффициент усиления преобразователя;
ТЭ
- постоянная времени электрической части;
КЭ
- коэффициент усиления электрической части;
КM
- коэффициент усиления механической части;
ТМ
- постоянная времени механической части;
КР
- коэффициент передачи редуктора.
КТ
- коэффициент усиления датчика тока;
ТТ
- постоянная времени датчика тока;
КДС
- коэффициент усиления датчика скорости;
ТДС
- постоянная времени датчика скорости;
КДП
- коэффициент усиления датчика перемещения;
ТДП
- постоянная времени датчика перемещения;
1.2
Построение переходных характеристик объекта регулирования
.3
Анализ временных и частотных характеристик объекта
Передаточная
функция объекта:

Для
получения частотных характеристик объекта, запишем передаточную функцию в виде:
Отсюда:
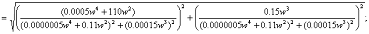
Выведем
формулу для амплитудной - частотной и фазочастотной характеристики:

Для
логарифмической амплитудной характеристики:
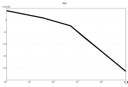
Графики
частотных характеристик:
Амплитудно
фазочастотная характеристика:
Логарифмическая
амплитудная характеристика:
Фазочастотная
характеристика:
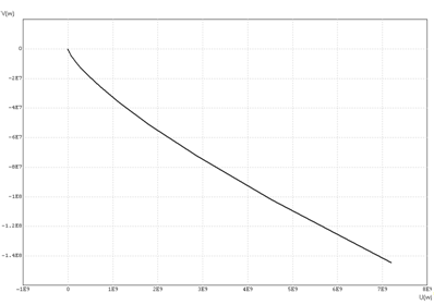
Импульсная
переходная характеристика
.4
Анализ устойчивости системы
Для
определения устойчивости объекта воспользуемся алгебраическими критериями
устойчивости Гурвица и Михайлова, так как мы имеем не замкнутую систему
управления:
Критерий
устойчивости Гурвица:
Коэффициент
при p4 примем
равным A0,
p3 примем
равным A1,
p2 примем равным A2,
p примем равным A3,
свободном
члене A4.
Строим
матрицу, учитывая коэффициенты A0, A1, A2, A3, A4:
∆n=
;
∆1
= 0.00015 >0;
∆2
= 0.0000165 >0;
∆3
= 0;
∆4
= 0;
Для
устойчивости системы по Гурвицу необходимо и достаточно, чтобы диагональные
определители были положительны.
Критерий
устойчивости Михайлова:
Для
устойчивости автоматической системы необходимо и достаточно чтобы вектор
Михайлова, при изменении частоты
от 0 до
, повернулся, нигде не обращаясь в 0, против часовой
стрелки на n квадрантов комплексной плоскости или, что то же
самое, на угол 900 умноженный на порядок характеристического
полинома.
Запишем
характеристическое уравнение Михайлова:
Получаем
вещественную:
и
мнимую:
функции
Михайлова.
Далее
строим годограф Михайлова:
Так
как вектор Михайлова при w=0 обращается в 0, то из условий устойчивости системы
по Михайлову следует, что система является неустойчивой.
.5
Вывод из анализа не скорректированной системы
Так
как критерий Михайлова не выполняется, то система является не устойчивой.
Исходя
из этого такая система не может быть использована, пока она не будет
скорректирована.
Сделаем
систему скорректированной включением в цепь регуляторов, после чего её можно
будет использовать на производстве.
2.
Синтез замкнутой системы управления угла поворота вала с использованием
регуляторов
электродвигатель ток редуктор управление
Для
расчёта регуляторов применим метод по контурной оптимизации. Скорректированная
система будет содержать три контура:
- Контур тока;
- Контур скорости;
Контур положения;
.1 Синтез регулирования контура тока
Используя данные значения передаточных функций звеньев контура тока,
запишем передаточную функцию расчетной модели объекта:

Для
регулирования контура применим ПИД-регулятор, т.к. объект содержит три
инерционности первого порядка:
Эквивалентная передаточная функция разомкнутой части системы:
Далее имеем передаточную функцию замкнутой части системы:
Отсюда,
используя условие максимизации замкнутой системы второго порядка, получаем:
a12=2∙a2∙a0, где a2-коэффициент при p2,
a1-коэффициент при p,
a0 - коэффициент при свободном члене.
Таким
образом
Ки=0.25;
Отсюда получим эквивалентную передаточную функцию системы:
Зная эквивалентную передаточную функцию замкнутой системы контура тока,
построим графики переходных процессов в этом контуре:
.2 Синтез регулирования контура скорости
Прежде чем начать регулировать контур скорости избавимся от обратной
связи, полученной после переноса сумматора влево:
Общая передаточная функция обратной связи:

Передаточная
функция прямой ветви:
Отсюда
получаем объединённую передаточную функцию:
Синтезируем контур тока. Для этого добавляем регулятор и датчик тока.
Вносим датчик скорости в основную цепь:
Для
регулирования контура применим ПИ-регулятор:
Эквивалентная
передаточная функция разомкнутой части системы:
Далее имеем передаточную функцию замкнутой части системы:
Отсюда,
используя условие максимизации замкнутой системы второго порядка, получаем:
a12=2∙a2∙a0, где a2-коэффициент при p2,
a1-коэффициент при p,
a0-коэффициент при свободном члене.
То
есть:
Ки1=31.37;
Ки2=7968.627;
Выбираем
Ки2=7968,627:
Отсюда получим эквивалентную передаточную функцию системы:
Зная эквивалентную передаточную функцию замкнутой системы контура
скорости, построим графики переходных процессов в этом контуре:
.3 Синтез регулирования контура положения
Синтезируем контур положения. Для этого добавляем регулятор и датчик
положения:
Вносим
датчик положения в основную цепь:
Для
регулирования контура применим ПИД - регулятор:
Эквивалентная передаточная функция разомкнутой части системы:
Далее
имеем передаточную функцию замкнутой части системы:
Отсюда,
используя условие максимизации замкнутой системы второго порядка, получаем:
a12=2∙a2∙a0, где a2-коэффициент при p2,
a1-коэффициент при p,
a0-коэффициент при свободном члене.
То
есть:
Ки1=0;
Ки2=250;
Выбираем
Ки2=250:
Отсюда получим эквивалентную передаточную функцию системы:
Зная передаточную эквивалентную функцию замкнутой системы контура
положения, построим графики переходных процессов в этом контуре:
.4 Общая передаточная функцию объекта регулирования
Умножим получившуюся после контура положения передаточную функцию на
датчик положения в минус первой степени:

3.
Анализ характеристик скорректированной системы управления
.1
Исследование работы скорректированной системы и построение графиков
Зная
передаточную функцию системы в целом, построим график переходного процесса
скорректированной системы:
Время
переходного процесса системы: t=0.1с;
Перерегулирование:
Частотные
характеристики объекта:
Найдём комплексную частотную характеристику объекта.
Меняем
параметр p на jw:
Выделим
мнимую и действительную части:
Получим
формулу для амплитудной частотной характеристики (АЧХ) и фазо частотной
характеристики (ФЧХ):
Для
логарифмической амплитудной характеристики:
Фазочастотная
характеристика:
Импульсная
переходная характеристика системы:
Логарифмическая
частотная характеристика:
Годограф
вектора амплитудной - фазо частотной характеристики скорректированной системы
управления
3.2
Устойчивость объекта с запасом устойчивости
По критерию Гурвица для систем с характеристическим уравнением второго
порядка следует - что система является устойчивой, если выполняются следующие
условия:
Так
как для нашего характеристического уравнения:
эти
условия выполняются, то можно сделать вывод, что система является устойчивой.
Исходя
из графика годографа АФЧХ делаем, вывод что система имеет запас устойчивости по
модулю
и устойчивость по фазе, которая характеризуется углом
.
Заключение
В
данном курсовом проекте был исследован объект управления на предмет
устойчивости. Так как первоначально он был неустойчив, то впоследствии для него
были выбраны регуляторы и рассчитаны их параметры, что придало системе
устойчивое состояние. Так же был произведён анализ скорректированной системы с
определением её переходных, частотных характеристик и запаса устойчивости.
В
результате была получена устойчиво работающая система с желаемыми показателями.
Время
переходного процесса системы: t=0.1с;
Перерегулирование:
Литература
1. Андрющенко В.А. Теория систем автоматического управления.
- Л.: Издательство Ленинградского университета, 1990. - 256 с.: ил.
2. Анхимюк В.Л., Опейко О.Ф., Михеев Н.Н. Теория
автоматического управления. - Мн.: Дизайн ПРО, 2000. - 352 с.: ил.