Исследование переходных процессов и анализ частотных характеристик элементарных звеньев радиотехнических цепей
Содержание
ВВЕДЕНИЕ
Часть 1. Расчет и построение АЧХ и ФЧХ для RC, RL, RLC цепей
.1 Исследование дифференцирующей RC-цепи
.2 Исследование интегрирующей RC-цепи
.3 Исследование дифференцирующей RL-цепи
.4 Исследование интегрирующей RL-цепи
.5 Исследование последовательного колебательного RLC-контура
.6 Исследование параллельного колебательного RLC-контура
Часть 2. Моделирование переходных процессов в элементарных
звеньях радиотехнических цепей
.1 Переходные процессы в дифференцирующей RC-цепи
.2 Переходные процессы в интегрирующей RC-цепи
.3 Переходные процессы в дифференцирующей RL-цепи
.4 Переходные процессы в интегрирующей RL-цепи
.5 Переходные процессы в параллельной RLС-цепи
.6 Переходные процессы в последовательной RLС-цепи
Часть 3. Спектральные преобразования входных и выходных
сигналов в элементарных звеньях радиотехнических цепей
.1 Дифференцирующее включение RC-цепи
.2 Интегрирующее включение RC-цепи
.3 Дифференцирующее включение RL-цепи
.4 Интегрирующее включение RL-цепи
.5 Включение параллельного RLC-контура
.6 Включение последовательного RLC-контура
Часть 4. Научно-исследовательская работа. Расчет и
исследование электрических фильтров второго порядка - высокочастотного и
заградительного
.1 Расчет и исследование фильтра высоких частот
.2 Расчет и исследование заградительного фильтра
ЗАКЛЮЧЕНИЕ
СПИСОК ИСПОЛЬЗОВАННЫХ ИСТОЧНИКОВ
Обозначения и сокращения
АЧХ - Амплитудно-частотная характеристика
ФЧХ - Фазо-частотная характеристика
МС9 - Программа MicroCap9- Программа MathCAD14- Программа MultiSim-10
Введение
В процессе дипломной работы необходимо будет выполнить расчет и
исследование элементарных звеньев радиотехнических цепей (дифференцирующие и
интегрирующие RC- и RL-цепи, последовательный и параллельный контура). Работа
состоит из четырех частей. В первой части будет произведено исследование АЧХ и
ФЧХ элементарных звеньев радиотехнических цепей, а результаты расчета будут
проверены в программе схемотехнического моделирования. Во второй части работы
на вход элементарных звеньев радиотехнических цепей будут поданы импульсы
различной длительности и будет произведен расчет переходных процессов.
Результаты будут проверены в программе схемотехнического моделирования. Третья
часть работы посвящена исследованию спектров сигналов. Результаты также будут проверены
в программе схемотехнического моделирования. В четвертой части работы будет
произведен расчет фильтра высоких частот и заградительного фильтра. По заданной
частоте среза будут определены значения емкостей и индуктивностей элементов
фильтра. При необходимости будет выполнена коррекция найденных значений.
Результаты опять будут проверены в программе схемотехнического моделирования.
Часть 1. Расчет и построение АЧХ и ФЧХ для RC, RL, RLC цепей
.1 Исследование дифференцирующей RC-цепи
Начертим принципиальную схему дифференцирующей RC-цепи в программе MC9
(рисунок 1.1).
Определим постоянную времени нашей RC-цепи:
В этой формуле τ - постоянная времени RC-цепи, R-сопротивление резистора,
С-емкость конденсатора.
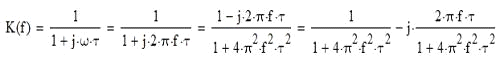
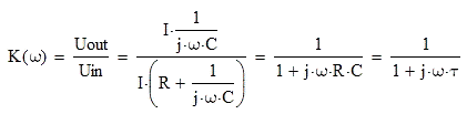
Для построения АЧХ и ФЧХ необходимо посчитать коэффициент передачи
дифференцирующей RC-цепи по напряжению. Вычислим его.
В этой формуле К - коэффициент передачи по напряжению, зависящий от
частоты ω,
Uout - напряжение на
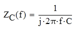
выходе цепи, Uin - напряжение на входе цепи, I - ток в цепи, j - мнимая
единица, ω - круговая частота, R-сопротивление резистора, С-емкость
конденсатора.
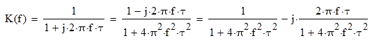
Преобразуем коэффициент передачи:
Вычислим АЧХ дифференцирующей RC-цепи, которая представляет собой модуль
коэффициента передачи:
В этой формуле |K(f)| - модуль коэффициента передачи (АЧХ), f - частота
сигнала, τ - постоянная времени RC-цепи.
С помощью программы MathCAD построим АЧХ нашей RC-цепи (рисунок 1.2). На
рисунке 1.3 изображена АЧХ RC-цепи, построенная в программе МС9. Видно, что
графики, изображенные на рисунках 1.2 и 1.3 совпадают. Это свидетельствует о
том, что расчет АЧХ выполнен верно.
ФЧХ представляет собой зависимость угла комплексного коэффициента
передачи К от частоты. Выразим это математически.
Здесь φ(f) - ФЧХ, f - частота сигнала, τ - постоянная времени RC-цепи.
На рисунке 1.4 изображен график ФЧХ RC-цепи, построенный в программе
MathCAD, а на рисунке 1.5 - в программе МС9. Видим, что графики совпадают. Это
свидетельствует о том, что расчет ФЧХ выполнен верно.
Вывод: дифференцирующая RC-цепь не пропускает сигнал на низких частотах
(АЧХ там стремится к нулю), но пропускает на высоких (АЧХ там стремится к 1).
При малой частоте сдвиг по фазе между выходным и входным сигналом стремится к
90 градусам. При большой частоте - к 0.
1.2 Исследование интегрирующей RC-цепи
Начертим принципиальную схему интегрирующей RC-цепи в программе MC9
(рисунок 1.6).
Постоянная времени нашей RC-цепи будет вычисляться по той же формуле,
какую мы использовали в пункте 1.1. Она равна
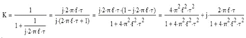
Вычислим коэффициент передачи интегрирующей RC-цепи по напряжению.
В этой формуле К - коэффициент передачи по напряжению, зависящий от
частоты ω,
Uout - напряжение на
выходе цепи, Uin - напряжение на входе цепи, I - ток в цепи, j - мнимая
единица, ω - круговая частота, R-сопротивление резистора, С-емкость
конденсатора.
Произведем расчет АЧХ интегрирующей RC-цепи. Преобразуем коэффициент
передачи:
Вычислим АЧХ как модуль коэффициента передачи:
В программе MathCAD построим АЧХ интегрирующей RC-цепи (рисунок 1.7). На
рисунке 1.8 изображена АЧХ той же интегрирующей RC-цепи, построенная в
программе МС9.
По этим двум рисункам видно, что графики, изображенные на них,
тождественны. Из этого следует, что расчет АЧХ выполнен верно.
Теперь выполним расчет ФЧХ заданной интегрирующей RC-цепи. ФЧХ равен
зависимости угла коэффициента передачи от частоты.
На рисунке 1.9 изображена ФЧХ интегрирующей RC-цепи, построенная в
программе MathCAD. На рисунке 1.10 ФЧХ построена в программе МС9.
По этим двум рисункам видно, что графики, изображенные на них,
тождественны. Из этого следует, что расчет АЧХ выполнен верно.
Вывод: интегрирующая RC-цепь не пропускает сигнал на высоких частотах
(АЧХ там стремится к нулю), но пропускает на низких (АЧХ там стремится к 1).
При малой частоте сдвиг по фазе между выходным и входным сигналом стремится к 0
градусам. При большой частоте - к -90.
1.3 Исследование дифференцирующей RL-цепи
Начертим принципиальную схему дифференцирующей RL-цепи в программе MC9
(рисунок 1.11).
Определим постоянную времени нашей RL-цепи:

В этой формуле К - коэффициент передачи по напряжению, зависящий от
частоты ω,
Uout - напряжение на
выходе цепи, Uin - напряжение на входе цепи, I - ток в цепи, j - мнимая
единица, ω - круговая частота, R-сопротивление резистора, L -
индуктивность катушки.
Произведем расчет АЧХ дифференцирующей RL-цепи. Преобразуем коэффициент
передачи:
Вычислим АЧХ как модуль коэффициента передачи:
В программе MathCAD построим АЧХ дифференцирующей RL-цепи (рисунок 1.12).
На рисунке 1.13 изображена АЧХ той же дифференцирующей RL-цепи, построенная в
программе МС9.
По этим двум рисункам видно, что графики, изображенные на них,
тождественны. Из этого следует, что расчет АЧХ выполнен верно.
Выполним расчет ФЧХ дифференцирующей RL-цепи. Для этого найдем
зависимость угла коэффициента передачи от частоты:
На рисунке 1.14 изображен график ФЧХ RL-цепи, построенный в программе
MathCAD,а на рисунке 1.15 - в программе МС9. Видим, что графики совпадают. Это
свидетельствует о том, что расчет ФЧХ выполнен верно.
Вывод: дифференцирующая RL-цепь не пропускает сигнал на низких частотах
(АЧХ там стремится к нулю), но пропускает на высоких (АЧХ там стремится к 1).
При малой частоте сдвиг по фазе между выходным и входным сигналом стремится к
90 градусам. При большой частоте - к 0.
.4 Исследование интегрирующей RL-цепи
Начертим принципиальную схему интегрирующей RL-цепи в программе MC9
(рисунок 1.16)
Определим постоянную времени нашей RL-цепи:
Вычислим коэффициент передачи по напряжению интегрирующей RL-цепи:
В этой формуле К - коэффициент передачи по напряжению, зависящий от
частоты ω,
Uout - напряжение на
выходе цепи, Uin - напряжение на входе цепи, I - ток в цепи, j - мнимая
единица, ω - круговая частота, R-сопротивление резистора, L -
индуктивность катушки.
Произведем расчет АЧХ интегрирующей RL-цепи. Преобразуем коэффициент
передачи:
Вычислим АЧХ как модуль коэффициента передачи:
В программе MathCAD построим АЧХ интегрирующей RL-цепи (рисунок 1.17). На
рисунке 1.18 изображена АЧХ той же интегрирующей RL-цепи, построенная в
программе МС9.
По этим двум рисункам видно, что графики, изображенные на них,
тождественны. Из этого следует, что расчет АЧХ выполнен верно.
Выполним расчет ФЧХ дифференцирующей RL-цепи. Для этого найдем
зависимость угла коэффициента передачи от частоты:
На рисунке 1.19 изображен график ФЧХ RL-цепи, построенный в программе
MathCAD,а на рисунке 1.20 - в программе МС9. Видим, что графики совпадают. Это
свидетельствует о том, что расчет ФЧХ выполнен верно.
Вывод: интегрирующая RL-цепь не пропускает сигнал на высоких частотах
(АЧХ там стремится к нулю), но пропускает на низких (АЧХ там стремится к 1).
При малой частоте сдвиг по фазе между выходным и входным сигналом стремится к 0
градусам. При большой частоте - к -90.
1.5 Исследование последовательного колебательного RLC-контура
Начертим принципиальную схему последовательного колебательного контура в
программе MS-10 (рисунок 1.21)
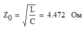
Вычислим характеристическое сопротивление контура:
Активное сопротивление данного контура равно:
Найдем резонансную частоту контура:
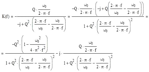
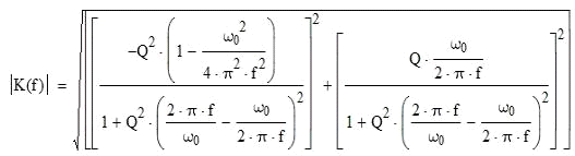
Вычислим коэффициент передачи контура по напряжению:
В этой формуле К - коэффициент передачи по напряжению, зависящий от
частоты f, Uout - напряжение на выходе цепи, Uin - напряжение на входе цепи, I
- ток в цепи, j - мнимая единица, ω0 - круговая резонансная частота, f -
частота сигнала, Q - добротность.
Произведем расчет АЧХ последовательного RLС-контура. Преобразуем
коэффициент передачи:
Вычислим АЧХ как модуль коэффициента передачи:
В программе MathCAD построим АЧХ последовательного RLC-контура (рисунок
1.22). На рисунке 1.23 изображена АЧХ той же интегрирующей RL-цепи, построенная
в программе MS-10.
По этим двум рисункам видно, что графики, изображенные на них,
тождественны. Из этого следует, что расчет АЧХ выполнен верно.
Выполним расчет ФЧХ последовательного RLC-контура. Для этого найдем
зависимость угла коэффициента передачи от частоты:
На рисунке 1.24 изображен график ФЧХ последовательного RLС-контура,
построенный в программе MathCAD,а на рисунке 1.25 - в программе MS-10. Видим,
что графики совпадают. Это свидетельствует о том, что расчет ФЧХ выполнен
верно.
Вывод: последовательный RLC-контур пропускает сигнал только в некоторой
полосе частот. У него существует частота резонанса, где АЧХ в несколько раз
больше 1. При малой частоте сдвиг по фазе между выходным и входным сигналом
стремится к 0 градусам. При большой частоте - уходит в отрицательную область.
.6 Исследование параллельного колебательного
RLC-контура
Начертим принципиальную схему последовательного колебательного контура в
программе MS-10 (рисунок 1.26)
Рисунок 1.26 - Принципиальная схема последовательного RLC-контура,
выполненная в программе MS-10
Вычислим характеристическое сопротивление контура:
Активное сопротивление данного контура равно:
Найдем резонансную частоту контура:
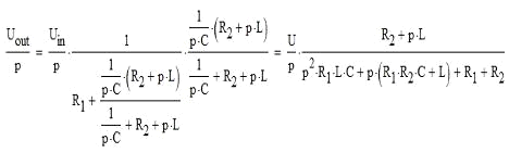
Вычислим коэффициент передачи контура по напряжению:
Здесь Z(ω) - эквивалентное сопротивление контура, R2 - сопротивление
токоограничивающего резистора.
Найдем эквивалентное сопротивление контура Z:
В программе MathCAD построим АЧХ параллельного RLC-контура (рисунок 1.27)
как модуль коэффициента передачи. На рисунке 1.28 изображена АЧХ той же
интегрирующей RL-цепи, построенная в программе MS-10.
По этим двум рисункам видно, что графики, изображенные на них,
тождественны. Из этого следует, что расчет АЧХ выполнен верно.
На рисунке 1.29 изображен график ФЧХ параллельного RLС-контура,
построенный в программе MathCAD как угол коэффициента передачи, зависящий от
частоты, а на рисунке 1.30 - в программе MS-10. Видим, что графики совпадают.
Это свидетельствует о том, что расчет ФЧХ выполнен верно.
Вывод: параллельный RLC-контур пропускает сигнал только в некоторой
полосе частот. У него существует частота резонанса, где АЧХ в несколько раз
больше. ФЧХ тоже имеет характерную полосу частот, где она положительна. При
увеличении частоты ФЧХ уходит в отрицательную область.
Часть 2. Моделирование переходных процессов в элементарных звеньях
радиотехнических цепей
.1 Переходные процессы в дифференцирующей RC-цепи
Начертим принципиальную схему дифференцирующей RC-цепи в программе MS-10
(Рисунок 2.1)
Постоянная времени этой RC-цепи была рассчитана ранее в пункте 1.1.
Произведем расчет переходных процессов, происходящих в дифференцирующей
RC-цепи под действием импульса длительностью timp. Расчет будем производить
операторным методом.
В этой формуле Uin - напряжение на входе, С - емкость конденсатора
RC-цепи, R - сопротивление резистора RC-цепи, p - изображение времени.
Выразим из этой формулы ток I:
Отсюда найдем напряжение на резисторе RC-цепи, т.к. через него течет ток
I.
Находим оригинал напряжения на резисторе:
По такому закону будет изменяться напряжение на резисторе с момента
включения импульса. Теперь вычислим закон изменения этого напряжения при
отключении импульса. Расчет так же поведем операторным методом. Не забудем, что
теперь необходимо учесть начальное напряжение на конденсатора. Оно равно
Аналогичным образом:
Таким образом, в общем случае
Построим в одной системе координат входной импульс, длительностью
timp=0,1τ
и напряжение на
резисторе R. На рисунке 2.2 изображен график, выполненный в программе MathCAD,
а на рисунке 2.3 - в программе MS-10.
Видим, что графики, выполненные в программах MathCAD и MS-10 совпадают.
Это свидетельствует о том, что расчет данного переходного процесса выполнен
верно.
Построим в одной системе координат входной импульс, длительностью timp=τ
и напряжение на
резисторе R. На рисунке 2.4 изображен график, выполненный в программе MathCAD,
а на рисунке 2.5 - в программе MS-10.
Видим, что графики, выполненные в программах MathCAD и MS-10 совпадают.
Это свидетельствует о том, что расчет данного переходного процесса выполнен
верно.
Построим в одной системе координат входной импульс, длительностью timp=10τ
и напряжение на
резисторе R. На рисунке 2.6 изображен график, выполненный в программе MathCAD,
а на рисунке 2.7 - в программе MS-10.
Из рисунков 2.6 и 2.7 видно, что импульс длительностью
дифференцирует хорошо, так как
напряжение на резисторе успевает упасть до нулевого уровня, прежде чем
начинается реакция на следующий фронт импульса.
При длительности импульса
, как показано на рисунках 2.4 и 2.5, импульс дифференцирует
плохо, так как напряжение на резисторе не успевает вернуться на нулевой, прежде
чем в цепи начинается переходный процесс, соответствующий второму фронту
импульса.
Наконец, при длительности импульса 0,1τ, как показано на рисунках 2.2 и 2.3,
импульс дифференцируется еще хуже.
Сделаем вывод, что цепь дифференцирует тем лучше, чем больше длительность
импульса на входе.
Считается, что цепь хорошо работает, если её постоянная времени в 7..10
раз меньше длительности обрабатываемых импульсов.
2.2 Переходные процессы в интегрирующей RC-цепи
Представим принципиальную схему интегрирующей RC-цепи в программе MS-10
(Рисунок 2.8)
Произведем расчет переходных процессов, происходящих в интегрирующей
RC-цепи под действием импульса длительностью timp с помощью классического
метода.
Воспользуемся вторым законом Кирхгофа:
Здесь R - сопротивление резистора RC-цепи, I - ток в цепи, Uc -
напряжение на конденсаторе, Uin - напряжение на входе, С - емкость конденсатора
RC-цепи.
Запишем выражение для тока конденсатора:
Объединяя выражения второго закона Кирхгофа и выражение для тока, получим
Общее решение полученного неоднородного дифференциального уравнения имеет
вид суммы частного решения неоднородного и общего решения однородного
уравнений. Общее решение однородного уравнения - свободная составляющая
напряжения:
Здесь А - неопределенная константа.
К концу переходного процесса на конденсаторе установится напряжение
источника Uin, отсюда:
Если в исходном состоянии до замыкания ключа конденсатор не был заряжен,
то это же нулевое значение сохранит и непосредственно после замыкания. Из
последнего выражения при t = 0 имеем: A=Uin
Запишем окончательно
По такому закону будет изменяться напряжение на конденсаторе с момента
включения импульса. Теперь аналогично вычислим закон изменения этого напряжения
при отключении импульса.
Для расчета тока при разряде и напряжения Uс в исходном уравнении следует
положить Uin=0, что приводит его к однородному уравнению, а напряжения и токи
содержат лишь свободные составляющие. Поэтому его общее решение имеет вид:
Для определения значения A используем начальное условие - значение
напряжения Uc(0)=Uin. Получаем A=Uin.
В итоге имеем:
Построим в одной системе координат входной импульс, длительностью
timp=0,1τ
и напряжение на
конденсаторе С. На рисунке 2.9 изображен график, выполненный в программе
MathCAD, а на рисунке 2.10 - в программе MS-10.
Видим, что графики, выполненные в программах MathCAD и MS-10, совпадают.
Это свидетельствует о том, что расчет данного переходного процесса выполнен
верно.
Построим в одной системе координат входной импульс, длительностью timp=τ
и напряжение на конденсаторе
С. На рисунке 2.11 изображен график, выполненный в программе MathCAD, а на
рисунке 2.12 - в программе MS-10.
Видим, что графики, выполненные в программах MathCAD и MS-10, совпадают.
Это свидетельствует о том, что расчет данного переходного процесса выполнен
верно.
Построим в одной системе координат входной импульс, длительностью timp=10τ
и напряжение на
конденсаторе С. На рисунке 2.13 изображен график, выполненный в программе
MathCAD, а на рисунке 2.14 - в программе MS-10.
Видим, что графики, выполненные в программах MathCAD и MS-10, совпадают.
Это свидетельствует о том, что расчет данного переходного процесса выполнен
верно.
Из рисунков 2.9 и 2.10 видно, что импульс длительностью
интегрирует хорошо, в то время как
импульс большой длительности
после некоторого момента перестают интегрироваться (см.
рисунки 2.13-2.14). Импульс длительности
может использоваться для интегрирования, но идут искажения в
интегрировании.
Как видно из графиков, изображенных на рисунках 2.9-2.14 цепь интегрирует
тем лучше, чем меньше длительность импульса на входе.
Считается, что цепь хорошо работает, если её постоянная времени в 7..10
раз меньше длительности обрабатываемых импульсов.
2.3 Переходные процессы в дифференцирующей RL-цепи
Представим принципиальную схему дифференцирующей RL-цепи в программе
MS-10 (Рисунок 2.15)
Постоянная времени этой RL-цепи была рассчитана ранее в пункте 1.4.
Произведем расчет переходных процессов, происходящих в интегрирующей
RL-цепи под действием импульса длительностью timp. Расчет будем производить
классическим методом.
Дифференциальное уравнение при включении RL-цепи на постоянное напряжение
неоднородное:
Здесь R - сопротивление резистора RL-цепи, I - ток в RL-цепи, Uin -
напряжение на входе, L - индуктивность катушки RL-цепи.
Данное уравнение имеет решение в виде суммы установившейся Iy и свободной
Iсв составляющих. Установившаяся составляющая тока:
Найдем ток в цепи:
Здесь А - постоянная интегрирования дифференциального уравнения, которая
определяется с учетом начального условия: до коммутации тока в цепи не было,
поэтому согласно первому закону коммутации при t=0 получим:

Напряжение на индуктивности:
По такому закону будет изменяться напряжение на индуктивности с момента
включения импульса. Поскольку до включения напряжение на индуктивном элементе
было равно нулю, а в момент коммутации Uin, то переходное и свободное
напряжение на индуктивности изменяются скачком. С помощью аналогичных
рассуждений, учитывая скачек напряжения, получим зависимость напряжения от
времени после отключения импульса:
В итоге получим:
Построим в одной системе координат входной импульс, длительностью
timp=0.1τ
и напряжение на катушке
L. На рисунке 2.16 изображен график, выполненный в программе MathCAD, а на
рисунке 2.17 - в программе MS-10.
Видим, что графики, выполненные в программах MathCAD и MS-10, совпадают.
Это свидетельствует о том, что расчет данного переходного процесса выполнен
верно.
Построим в одной системе координат входной импульс, длительностью timp=τ
и напряжение на катушке
L. На рисунке 2.18 изображен график, выполненный в программе MathCAD, а на
рисунке 2.19 - в программе MS-10.
Видим, что графики, выполненные в программах MathCAD и MS-10, совпадают.
Это свидетельствует о том, что расчет данного переходного процесса выполнен
верно.
Построим в одной системе координат входной импульс, длительностью timp=10τ
и напряжение на
конденсаторе С. На рисунке 2.20 изображен график, выполненный в программе
MathCAD, а на рисунке 2.21 - в программе MS-10.
Видим, что графики, выполненные в программах MathCAD и MS-10, совпадают.
Это свидетельствует о том, что расчет данного переходного процесса выполнен
верно.
Из рисунков 2.20 и 2.21 видно, что импульс длительностью
дифференцирует хорошо, так как
напряжение на резисторе успевает упасть до нулевого уровня, прежде чем
начинается реакция на следующий фронт импульса.
При длительности импульса
, как показано на рисунках 2.18 и 2.19, импульс
дифференцирует плохо, так как напряжение на резисторе не успевает упасть до
нуля, прежде чем в цепи начинается переходный процесс, соответствующий второму
фронту импульса.
Как видно из графиков, изображенных на рисунках 2.16-2.21, цепь
дифференцирует тем лучше, чем больше длительность импульса на входе.
Считается, что цепь хорошо работает, если её постоянная времени в 7..10
раз меньше длительности обрабатываемых импульсов.
2.4
Переходные процессы в интегрирующей RL-цепи
Начертим принципиальную схему интегрирующей RL-цепи в программе MS-10
(Рисунок 2.22):
Постоянная времени этой RL-цепи была рассчитана ранее в пункте 1.4.
Произведем расчет переходных процессов, происходящих в интегрирующей
RL-цепи под действием импульса длительностью timp. Расчет будем производить
операторным методом.
Запишем закон Ома в операторной форме:
В этой формуле Uin - напряжение на входе, L - емкость конденсатора
RL-цепи, R - сопротивление резистора RC-цепи, p - изображение времени.
Выразим из этой формулы ток I:
Отсюда найдем напряжение на резисторе RL-цепи, т.к. через него течет ток
I.
Находим оригинал напряжения на резисторе:
По такому закону будет изменяться напряжение на резисторе с момента
включения импульса. Теперь вычислим закон изменения этого напряжения при
отключении импульса. Расчет так же поведем операторным методом. Не забудем, что
теперь необходимо учесть начальный ток в индуктивности, создающий
дополнительный источник напряжения. Его ЭДС равна:
Аналогичным образом находим
Таким образом, в общем случае
Построим в одной системе координат входной импульс, длительностью
timp=0,1τ
и напряжение на
резисторе R. На рисунке 2.23 изображен график, выполненный в программе MathCAD,
а на рисунке 2.24 - в программе MS-10.
Видим, что графики, выполненные в программах MathCAD и MS-10 совпадают.
Это свидетельствует о том, что расчет данного переходного процесса выполнен
верно.
Построим в одной системе координат входной импульс, длительностью timp=τ
и напряжение на
резисторе R. На рисунке 2.25 изображен график, выполненный в программе MathCAD,
а на рисунке 2.26 - в программе MS-10.
Видим, что графики, выполненные в программах MathCAD и MS-10 совпадают.
Это свидетельствует о том, что расчет данного переходного процесса выполнен
верно.
Построим в одной системе координат входной импульс, длительностью timp=10τ
и напряжение на
резисторе R. На рисунке 2.27 изображен график, выполненный в программе MathCAD,
а на рисунке 2.28 - в программе MS-10.
Из рисунков 2.23 и 2.24 видно, что импульс длительностью 0,1τ интегрирует хорошо, в то время как
импульсы большой длительности практически не интегрируются (рисунки 2.25-2.28).
Как видно из графиков, изображенных на рисунках 2.9-2.14, цепь интегрирует тем
лучше, чем меньше длительность импульса на входе.
Считается, что цепь хорошо работает, если её постоянная времени в 7..10
раз меньше длительности обрабатываемых импульсов.
2.5 Переходные процессы в параллельной RLС-цепи
Представим принципиальную схему параллельной RLС-цепи в программе MС9
(Рисунок 2.29):
Данная схема исследовалась в пункте 1.4, основные параметры этой цепи мы
уже определили, поэтому перейдем непосредственно к исследованию переходных
процессов в параллельной RLС-цепи, применяя операторный метод.
Составим выражение для напряжения на контуре:
Для простоты рассуждений введем обозначения:
С учетом новых обозначений и о применяя обратное преобразование Лапласа
выражение принимает следующий вид:
Пусть Uin=1, тогда получим переходную характеристику h(t):
Таким образом, мы вывели закон изменения напряжения RLC-контура при
подаче напряжения. Используя интеграл Дюамеля найдём переходной процесс при
подаче импульса длительностью timp=500 нс:
.6 Переходные процессы в последовательной
RLС-цепи
Начертим принципиальную схему последовательной RLC-цепи в программе MС9
(Рисунок 2.32):
Основные параметры этой цепи были найдены ранее (см. пункт 1.4), поэтому
сразу приступим к расчету переходного процесса.
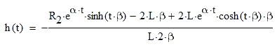
Напряжение на конденсаторе в операторной форме будет иметь вид:
Применяя обратное преобразование Лапласа найдём зависимость напряжения от
времени:
Где

Подадим единичный импульс. Тогда переходная характеристика будет иметь
вид:
Используя интеграл Дюамеля найдём изменение напряжения на конденсаторе
при подаче импульса длительностью timp=500 нс. Таким образом, мы вывели закон
изменения напряжения на конденсаторе RLC-контура.
На рисунке 2.33 изображен график переходного процесса, построенный в
программе MathCAD. На рисунке 2.34 - в программе МС9.
Часть 3. Спектральные преобразования входных и выходных сигналов в
элементарных звеньях радиотехнических цепей
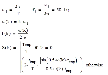
Для исследования переходных процессов подавалась последовательность
прямоугольных импульсов длительностью импульса timp=10τ
и периодом повторения
T=10timp. Запишем разложение подаваемого напряжения в ряд Фурье. Число гармоник
возьмем k=100.

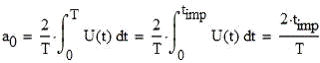
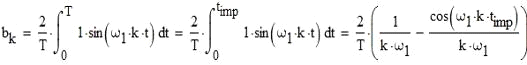
Коэффициенты a0, аk, bk находятся по следующим формулам:
Найдем коэффициенты a0, аk, bk для нашей последовательности прямоугольных
импульсов. Входное напряжение имеет вид
В итоге для входных импульсов разложение напряжения в ряд Фурье примет
вид:
Построим эту зависимость (рисунок 3.1):
Амплитуды гармоник вычисляются по формулам:
Спектр сигнала:
3.1 Дифференцирующее включение RC-цепи
Спектр входного сигнала дифференцирующей RC-цепи, построенный в программе
MathCAD, представлен на рисунке 3.2.
Теперь построим спектр входного сигнала в программах MS-10 и MC9.
Результаты представлены на рисунках 3.3 и 3.4 соответственно.
Видим, что все эти три спектра совпадают. Это свидетельствует о том, что
расчет спектральной характеристики выполнен верно.
Для дифференцирующей RC-цепи выходной сигнал равен произведению входного
сигнала на коэффициент передачи цепи. Коэффициент передачи был найден в 1 части
работы. Таким образом, разложение выходного сигнала в ряд Фурье примет вид:
где
Спектр выходного сигнала дифференцирующей RC-цепи, построенный в
программе MathCAD, представлен на рисунке 3.6.
радиотехнический цепь фильтр электрический
Теперь построим спектр выходного сигнала в программах MS-10 и MC9.
Результаты представлены на рисунках 3.7 и 3.8 соответственно.
Видим, что все эти три спектра совпадают. Это свидетельствует о том, что
расчет спектральной характеристики выполнен верно.
3.2 Интегрирующее включение RC-цепи
Входной сигнал для интегрирующей RC-цепи такой же, как и для
дифференцирующей, соответственно, его спектр представлен на рисунках 3.2 - 3.4.
Для интегрирующей RC-цепи выходной сигнал равен произведению входного
сигнала на коэффициент передачи цепи. Коэффициент передачи был найден в 1 части
работы. Таким образом, разложение выходного сигнала в ряд Фурье примет вид:
где
Построим эту зависимость (рисунок 3.9):
Спектр выходного сигнала интегрирующей RC-цепи, построенный в программе
MathCAD, представлен на рисунке 3.10.
Теперь построим спектр выходного сигнала в программах MS-10 и MC9.
Результаты представлены на рисунках 3.11 и 3.12 соответственно.
Видим, что все эти три спектра совпадают. Это свидетельствует о том, что
расчет спектральной характеристики выполнен верно.
3.3
Дифференцирующее включение RL-цепи
Входной сигнал, разложенный в ряд Фурье и построенный в программе
MathCAD, представлен на рисунке 3.13.
Спектр входного сигнала, построенный в программе MathCAD, представлен на
рисунке 3.14.
Теперь построим спектр входного сигнала в программах MS-10 и MC9.
Результаты представлены на рисунках 3.15 и 3.16 соответственно.
Видим, что все эти три спектра совпадают. Это свидетельствует о том, что
расчет спектральной характеристики выполнен верно.
Для дифференцирующей RL-цепи выходной сигнал равен произведению входного
сигнала на коэффициент передачи цепи. Коэффициент передачи был найден в 1 части
работы. Таким образом, разложение выходного сигнала в ряд Фурье примет вид:
В этой формуле:
Построим эту зависимость (рисунок 3.17):
Спектр выходного сигнала дифференцирующей RL-цепи, построенный в
программе MathCAD, представлен на рисунке 3.18.
Теперь построим спектр выходного сигнала в программах MS-10 и MC9.
Результаты представлены на рисунках 3.19 и 3.20 соответственно.
Видим, что все эти три спектра совпадают. Это свидетельствует о том, что
расчет спектральной характеристики выполнен верно.
3.4 Интегрирующее включение RL-цепи
Входной сигнал для интегрирующей RL-цепи такой же, как и для
дифференцирующей, соответственно, его спектр представлен на рисунках 3.18 -
3.20.
Для интегрирующей RL-цепи выходной сигнал равен произведению входного
сигнала на коэффициент передачи цепи. Коэффициент передачи был найден в 1 части
работы. Таким образом, разложение выходного сигнала в ряд Фурье примет вид:
где
Построим эту зависимость (рисунок 3.21):
Спектр выходного сигнала интегрирующей RL-цепи, построенный в программе
MathCAD, представлен на рисунке 3.22.
Теперь построим спектр выходного сигнала в программах MS-10 и MC9.
Результаты представлены на рисунках 3.23 и 3.24 соответственно.
Видим, что все эти три спектра совпадают. Это свидетельствует о том, что
расчет спектральной характеристики выполнен верно.
3.5 Включение параллельного RLC-контура
Входной сигнал, разложенный в ряд Фурье и построенный в программе
MathCAD, представлен на рисунке 3.25.
Спектр входного сигнала, построенный в программе MathCAD, представлен на
рисунке 3.26.
Теперь построим спектр входного сигнала в программах MS-10 и MC9.
Результаты представлены на рисунках 3.27 и 3.28 соответственно.
Видим, что все эти три спектра совпадают. Это свидетельствует о том, что
расчет спектральной характеристики выполнен верно.
Для параллельной RLC-цепи выходной сигнал равен произведению входного
сигнала на коэффициент передачи цепи. Коэффициент передачи был найден в 1 части
работы. Таким образом, разложение выходного сигнала в ряд Фурье примет вид:
В этой формуле:
Построим эту зависимость (рисунок 3.29):
Спектр выходного сигнала параллельной RLC-цепи, построенный в программе
MathCAD, представлен на рисунке 3.30.
Теперь построим спектр выходного сигнала в про граммах MS-10 и MC9.
Результаты представлены на рисунках 3.31 и 3.32 соответственно.
Видим, что все эти три спектра совпадают. Это свидетельствует о том, что
расчет спектральной характеристики выполнен верно.
3.6 Включение последовательного RLC-контура
Входной сигнал для последовательной RLC-цепи такой же, как и для
параллельной, соответственно, его спектр представлен на рисунках 3.30 - 3.32.
Для последовательной RLC-цепи выходной сигнал равен произведению входного
сигнала на коэффициент передачи цепи. Коэффициент передачи был найден в 1 части
работы. Таким образом, разложение выходного сигнала в ряд Фурье примет вид:
Где
Построим эту зависимость (рисунок 3.33):
Спектр выходного сигнала последовательной RLC-цепи, построенный в
программе MathCAD, представлен на рисунке 3.34.
Теперь построим спектр выходного сигнала в программах MS-10 и MC9.
Результаты представлены на рисунках 3.35 и 3.36 соответственно.
Видим, что все эти три спектра совпадают. Это свидетельствует о том, что
расчет спектральной характеристики выполнен верно.
Часть 4. Научно-исследовательская работа. Расчет и исследование
электрических фильтров второго порядка - высокочастотного и заградительного
.1 Расчет и исследование фильтра высоких частот
Необходимо рассчитать параметры фильтра высоких частот при известной
частоте среза fsr=1215 Гц и сопротивлении нагрузки Rn=1000 Ом. Выберем
Т-образный фильтр. Его принципиальная схема представлена на рисунке 4.1.
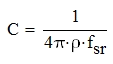
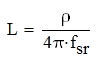
В процессе расчета параметров фильтра нам необходимо определить значение
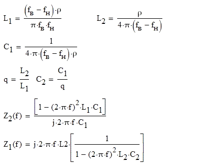
емкости C=C1=C2 и индуктивности L=L1. Расчет произведем по следующим формулам:
В этих формулах
ρ - характеристическое сопротивление
фильтра. Что бы выполнить условие согласования фильтра с нагрузкой примем его
равным сопротивлению нагрузки:
Произведя расчет по этим формулам, получим
Следует отметить, что при расчетах мы предполагали полное согласование
фильтра с нагрузкой во все диапазоне частот. Однако, поскольку сопротивление
фильтра в полосе прозрачности меняется, полное согласование наблюдается лишь на
незначительном интервале частот, а на других частотах фильтр работает на
несогласованную нагрузку. Из-за этого, возможно, в дальнейшем понадобиться
коррекция рассчитанных значений емкости и индуктивности.
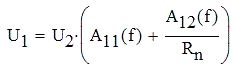
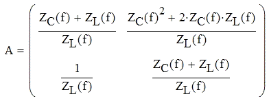
Запишем уравнения нашего фильтра с точки зрения теории четырехполюсников:
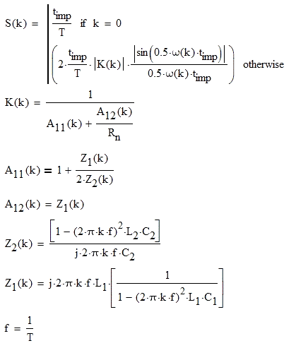
Где A11, A12, A21, A22 - компоненты матрицы А:
Для случая T-четырехполюсника матрица А равна:
Здесь
Т.к.
То
Таким образом,
Построим модуль коэффициента передачи (рисунок 4.2):
Из рисунка 4.2 видно, что на заданной частоте среза модуль коэффициента передачи
меньше 0,707, т.е. необходимо произвести коррекцию расчитанных компонентов.
При
Зависимость примет следующий вид (рисунок 4.3):
Теперь на заданной частоте среза коэффициент передачи равен 0,707, как и
требуется по условию. На рисунке 4.4 изображена зависимость фазы коэффициента
передачи от частоты.
Проверим полученные результаты в программе MS-10. На рсиунке 4.5
изображена принципиальная схема, построенная в программе MS-10
АЧХ фильтра, полученная в программе MS10, представлена на рисунке 4.6,
ФЧХ представлена на рисунке 4.7.
Видим, что рассчитанные АЧХ и ФЧХ совпадают с результатами моделирования.
Из этого следует, что емкость конденсатора и индуктивность катушки найдены
верно.
Подадим на вход фильтра последовательность прямоугольных импульсов с
длительностью импульса timp=0,2 мкс и с периодом повторения Т=1 мкс (рисунок
4.8).
На нагрузке сигнал будет иметь вид, представленный на рисунке 4.9.
Представим спектральные характеристики входного и выходного сигналлов,
построенные в программе MathCAD и MS-10.
Произведем рассчет спектральной характеристики для нашей
последовательности импульсов при timp=0,2 мкс, T=1 мкс. Число гармоник возьмем
k=100.
Спектральная характеристика, построенная в программе MathCAD, представлна
на рисунке 4.10
Построим спектральную характеристику входного сигнала в программе MS-10
(рисунок 4.11)
Видим, что графики спектров совпадают. Из этого следует, что расчет
спектральной характеристики входного сигнала выполнен верно.
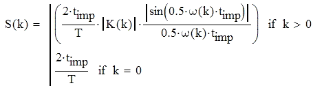
Теперь выполним расчет спектральной характеристики выходного сигнала. Он
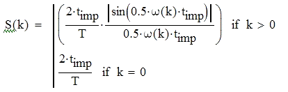
будет вычисляться по следующей формуле:
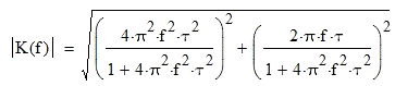
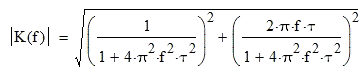
Здесь |K(k)| - модуль коэффициента передачи, который равен
Здесь

Построим эту зависимость в программе MathCAD (рисунок 4.12)
Построим спектральную характеристику входного сигнала в программе MS-10
(рисунок 4.13)
Видим, что графики спектров совпадают. Из этого следует, что расчет
спектральной характеристики выходного сигнала выполнен верно.
Заметим, что амплитуды гармоник во втором лепестке спектра после
прохождения фильтра не ослаблены. Это также свидетельствует о том, что данный
фильтр работает как фильтр высоких частот, пропуская верхние частоты.
4.2 Расчет и исследование заградительного фильтра
Необходимо рассчитать параметры заградительного фильтра при нижней
частоте среза fн=1063 Гц и верхней частоте среза fв=1215 Гц, причем
сопротивлении нагрузки Rn=1000 Ом. Выберем П-образный фильтр. Его
принципиальная схема представлена на рисунке 4.14.
Необходимо найти значения C1, C2, L1, L2 при известных частотах среза и
заданном сопротивлении нагрузки. Расчет будем производить по следующим
формулам:
Где ρ - характеристическое сопротивление фильтра, что бы выполнить
условие согласования фильтра с нагрузкой примем его равным сопротивлению
нагрузки:
Произведя расчет по этим формулам, получим
Как было показано выше
Построим модуль коэффициента передачи в программе MathCAD (рисунок 4.15):
Из рисунка 4.15 видно, что на заданных частотах среза модуль коэффициента
передачи меньше 0,707, но произведём коррекцию расчитанных компонентов для
улучшения избирательных свойств фильтра.
При данных значениях реактивных компонентов АЧХ фильтра будет иметь
следующий вид (рисунок 4.16):
Теперь на заданной частоте среза коэффициент передачи равен 0,707, как и
требуется по условию. На рисунке 4.17 изображена зависимость фазы коэффициента
передачи от частоты.
Проверим полученные результаты в программе MS-10. На рсиунке 4.18
изображена принципиальная схема, построенная в программе MS-10
АЧХ фильтра, полученная в программе MS10, представлена на рисунке 4.19
На рисунке 4.20 изображена зависимость фазы коэффициента передачи от
частоты.
Видим, что рассчитанные АЧХ и ФЧХ совпадают с результатами моделирования.
Из этого следует, что емкость конденсаторов и индуктивность катушек найдены
верно.
Подадим на вход фильтра последовательность прямоугольных импульсов с
длительностью импульса timp=4 мс и с периодом повторения Т=0,02 с (рисунок
4.21).
На нагрузке сигнал будет иметь вид, представленный на рисунке 4.22
Представим спектральные характеристики входного и выходного сигналов,
построенные в программе MathCAD и MS-10.
Произведем рассчет спектральной характеристики для нашей
последовательности импульсов при timp=4 мс, T=0,02 с. Число гармоник возьмем
k=100.
Спектральная характеристика, построенная в программе MathCAD, представлна
на рисунке 4.23
Построим спектральную характеристику входного сигнала в программе MS-10
(рисунок 4.24)
Видим, что графики спектров совпадают. Из этого следует, что расчет
спектральной характеристики входного сигнала выполнен верно.
Теперь выполним расчет спектральной характеристики выходного сигнала. Он
будет вычисляться по следующей формуле:
Построим эту зависимость в программе MathCAD (рисунок 4.25)
Построим спектральную характеристику входного сигнала в программе MS-10
(рисунок 4.26)
Видим, что графики спектров совпадают. Из этого следует, что расчет
спектральной характеристики выходного сигнала выполнен верно.
На рисунках 4.25 - 4.26 хорошо видно, что амплитуда гармоник в полосе
заграждения сильно уменьшается.
Заключение
В первой части дипломной работы был произведен аналитический расчет и
исследование амплитудных и частотных характеристик элементарных звеньев
радиотехнических цепей. Данные зависимости были отображены графически и было
произведено сравнение с результатами моделирования в программах
схемотехнического моделирования. Во второй части был произведен расчет и
построение переходных процессов в элементарных звеньях радиотехнических цепей.
Результаты аналитического расчета были сравнены с результатами моделирования в
программах схемотехнического моделирования. В третьей части работы был
произведен расчет и анализ спектра сигналов в элементарных звеньях
радиотехнических цепей. Результаты аналитического расчета были сравнены с
результатами моделирования в программах схемотехнического моделирования. В
четвертой части был произведен расчет фильтра высоких частот и заградительного
фильтра. По заданным частотам среза были определены значения емкостей и
индуктивностей элементов фильтра. Была произведена коррекция их значений для
достижения необходимой частоты среза. Проверка правильности аналитических
расчетов была произведена в программе схемотехнического моделирования.