Пищевые свойства какао–порошка
Задание
Рассчитать показатели пищевой
ценности какао-порошка: биологическую и энергетическую ценности, степень
удовлетворения в основных пищевых веществах. Привести и описать технологическую
схему получения данного сырья, органолептические и физико-химические
показатели.
Содержание
Введение
. Технологическая схема получения какао-порошка
2. Органолептические и физико-химические показатели качества
какао-порошка
. Расчет показателей пищевой ценности
3.1 Степень удовлетворения суточной потребности человека в
основных пищевых веществах и энергии
3.2 Биологическая ценность белков какао-порошка
Заключение
Список использованной литературы
Введение
К какао-продуктам относятся тертое
какао, масло какао, какао-порошок, которые получают из какао-бобов.
Какао-бобы - семена какао-дерева,
произрастающего в тропических районах земного шара. Они являются основным
сырьём для производства какао-порошка. Какао-бобы отличаются сложным химическим
составом, куда входят: жир, белковые вещества, углеводы, алкалоиды, дубильные и
минеральные вещества, витамины.
Какао-порошок - высушенный и
измельчённый какао-жмых, который остаётся от тёртого какао после выжимки
какао-масла, идущего на производство твёрдого шоколада.
Какао-порошок используют в качестве
полуфабриката при производстве некоторых видов кондитерских изделий (для
обсыпки конфет, карамели, тортов, пирожных, при производстве жировой глазури и
др.). Но основное назначение какао-порошка - приготовление напитка какао. Чем
мельче частицы порошка и чем дольше удерживаются они во взвешенном состоянии,
тем выше качество напитка.
После шоколадного лакомства или
чашки горячего какао у многих людей поднимается настроение, проходит усталость.
Такие положительные изменения возможны не только благодаря приятному вкусу и
чудесному аромату лакомств, содержащих какао-порошок. В бобах какао содержится
масса полезных веществ. Это и тонизирующие ингредиенты - кофеин, теобромин,
антидепрессант фенилэтиламин, а также флавоноиды.
Именно благодаря присутствию
фенилэтиламина, который стимулирует выработку эндорфина, порошок какао способен
оказывать расслабляющее действие, повышать жизненный тонус, дарить ощущение
радости.
Употребление какао в больших
количествах оказывает действие, схожее с кофе. Неудивительно, ведь кофеин
присутствует в обоих напитках. Какао возбуждает нервную систему, стимулирует
умственную активность, позволяет взбодриться, побороть усталость и
сосредоточиться на своем занятии.
Детям до трех лет не рекомендуется
пить какао, чтобы уберечь их центральную нервную систему от излишнего
возбуждения.
Теобромин весьма эффективен при
кашле и болях в горле.
Флавоноиды обладают антиоксидантными
свойствами. Они замедляют процесс старения, защищают клетки, не давая тем
переродиться в злокачественные. Также флавоноиды укрепляют кровеносные сосуды и
благотворно воздействуют на всю кровеносную систему.Согласно последним
исследованиям, в какао содержится больше антиоксидантов, чем в зеленом чае.
В какао присутствует множество
микроэлементов, необходимых организму человека. Это железо, кальций, магний,
медь, калий, марганец и цинк. В состав бобов какао входят такие витамины, как
B1, B2, B3, A, C, E. Какао-бобы, а также продукты их переработки имеют
химический состав (табл.1), что обеспечивает высокую пищевую и энергетическую
ценность шоколадной продукции.
Таблица 1.Химический состав
какао-порошка (100 г)
|
Показатель
|
Содержание
|
|
Вода, г
|
4,0
|
|
Белки, г
|
24,2
|
|
Жиры (масло какао), г
|
17,5
|
|
Углеводы, г: моно- и дисахариды крахмал и др. полисахариды
|
3,5 24,4
|
|
Зола, г
|
6,3
|
|
Минеральные вещества, мг: Na K Ca Mg P Fe
|
10 1689 55 191 655 14,8
|
|
Энергетическая ценность, ккал
|
380
|
Благодаря своим уникальным качествам
какао-продукты нашли применение кроме кондитерской в масложировой, табачной и
фармацевтической промышленности.
В России лидерами рынка какао
являются фабрика «Красный Октябрь», с советского времени выпускающая порошок
«Золотой ярлык», и международный концерн Nestlé
с маркой «Nesquik» (быстрорастворимое какао с добавками вроде
сухого молока).
1. Технологическая схема получения
какао-порошка
При прессование тертого какао
образуется два продукта: масло какао, которое направляют на производство
шоколада и какао-жмых, из которого получают какао-порошок.
Какао-порошок представляет собой
тонкоизмельченный продукт коричневого цвета, его выпускают двух типов:
производственный и товарный. Производственный какао-порошок используют в
качестве добавок для изготовления жировой глазури, некоторых сортов конфет,
карамели, ириса, начинок и других видов кондитерских изделий. Товарный
какао-порошок используется для приготовления напита какао.
При производстве масла какао и
товарного какао-порошка наиболее эффективной является щелочная обработка
какао-крупки. Её загружают в реактор с мешалкой, куда дозируется водно-щелочной
раствор. Чаще применяют водные растворы карбоната калия (K2CO3). Обработка
осуществляется при температуре 85 ˚С под давление пара, образующегося при
нагревании раствора.
После замачивания какао-крупки в
растворе поташа (K2CO3) и восстановления ее в течение нескольких часов в
горячих камерах (процесс томления) производят вторичную термообработку
(подсушку и обжарку препарированной крупки), а затем уже из нее получают тертое
какао. Его используют для получения какао-порошка, обладающего высокими
вкусовыми качествами, хорошей окраской, тонкой дисперсностью и стойкой
суспензией.
Прошедшая обработку какао-крупка
влажностью 12-22 % поступает на подсушку в паровую сушилку ленточного типа и
перемещается в ней через несколько ярусов по сетчатым транспортерам,
расположенным один над другим по вертикали.
Сушат при температуре 100 ˚С.
При сушке удаляются пары воды и летучие вещества.
После сушки, которая заканчивается
при достижение температуры 100 ˚С, проводится обжарка при температуре
120-135 ˚С до влажности 1-2 %. В процессе обжарки окончательно формируется
цвет и вкус какао-крупки.
Прошедшая термическую обработку
какао-крупка поступает в охлажденный приемник. После охлаждения до температуры
30-35 ˚С какао-крупка передается системой пневмотранспорта в сборники, а
потом на распределительный транспортер. Какао-крупка попадает в измельчительное
оборудование для приготовления тертого какао. В зависимости от степени щелочной
обработки, продолжительности и температуры обжарки какао-крупки получают тертое
какао высокого качества, а после отжатия из него масла какао производят
какао-порошок различной окраски, от светло- до красно-коричневого цвета.
Тертое какао подвергается длительной
тепловой обработке при непрерывном, энергичном перемешивании и температуре
85-90 ˚С.
Большое распространение на практике
получило сочетание темперирования с обработкой тертого какао щелочными
реагентами (карбонат калия, карбонат аммония, бикарбонат натрия, карбонат
магния, окись магния и другие).
Препарированное тертое какао
перекачивают в промежуточные сборники, оборудованные пароводяной рубашкой и
мешалкой, откуда его подают в гидравлические прессы для отжима масла какао.
Твердый остаток, образующийся после прессования и называемый какао-жмыхом,
перерабатывают в товарный или производственный какао-порошок.
Получение какао-порошка
При выгрузке из прессе температура
жмыха около 90 ˚С. Оставшееся в жмыхе масло какао находится в
расплавленном состоянии, поэтому перед дроблением на мелкие куски и
измельчением жмых необходимо охладить
До 30-35 ˚С, в противном случае
рабочие органы жмыходробилки будут замазываться продуктом (маслом).
Если при прессовании тертого какао
используются вертикальные прессе, то жмых, как правило, охлаждают в помещении
цеха в течении 12-18 ч, на что требуется значительная производственная площадь.
При использовании горизонтальных
прессов съем жмыха механизирован, по виброжелобу плиты жома передаются в
охлаждаемую камеру, где поддерживается температура воздуха 2-8 ˚С, что
сокращает время охлаждения до 6-6 часов.
Измельчение какао-жмыха
осуществляется в две стадии: грубое (предварительное) с помощью зубовалковой
мельницы 95-HN (6) и тонкое (окончательное) с помощью агрегатов, снабженных
молотковой или штифтовой дробилкой и устройствами для механической, воздушной
или комбинированной (механической и воздушной) сепарации какао-порошка.
Жмых, попадая в зазор между валками,
раздавливается зубьями, рассыпаясь на различные куски. Куски падают вниз и при
помощи нории (7) попадают в шнек (8), который выводит их из мельницы. Далее
гранулы какао-жмыха поступают в размольный агрегат «Шоненбергера» № 3 (9),
предназначенный для тонкого (окончательного) измельчения гранул какао-жмыха.
В зависимости от степени измельчения
какао-порошка получают товарный или промышленный (производственный) порошок.
Товарный порошок используется для приготовления напитка какао, а промышленный -
для получения различных полуфабрикатов (начинки, глазури и пр.) и отделки
готовых изделий.
Различают какао-порошок
непрепарированный и препарированный. Первый получают из тертого какао, не
обработанного щелочными препаратами. Такой порошок имеет слабокислую реакцию.
Препарированный какао-порошок производят из тертого какао (или какао-крупки),
обработанного щелочными препаратами. Порошок имеет слабощелочную реакцию. При
щелочной обработке какао-продуктов улучшается вкус, аромат и цвет какао-порошка
(более темный).
К товарному какао-порошку
предъявляются следующие требования по составу, в %:
Влаги, не более 7,5
Жира, не менее 9,0
Клетчатки, не более 5,5
Общей золы, не более:
в необработанном щелочами 6,0
в обработанном щелочами 9,0
Расфасовка, упаковка и хранение
какао-порошка
Товарный какао-порошок расфасовывают
на специальных автоматах в картонные, жестяные или из другого материала коробки
нетто по 100, 200, 500 грамм, которые затем упаковывают в ящики из
гофрированного картона. Производственный какао-порошок затаривают в крафт-мешки
массой по 25 килограмм.
В помещении, где установлены
фасовочные автоматы, должна строго поддерживаться температура не выше 20 ˚С
и относительная влажность воздуха не выше 65 %. С повышением температуры
какао-порошок может налипать на витки и стенки дозирующего устройства автомата,
что нарушает точность дозировки, которая должна быть в пределах ±2-3 %.
Очень важно соблюдать определенные
условия хранения порошка, так как при неправильном применении происходит
изменение некоторых характеристик. Так, при избыточном сжатии происходит
слипание частиц какао-порошка. Укладка большого количество мешков друг на друга
вызывает избыточное давление на нижние мешки и приводит к слипанию порошка на
нижних мешках. Между частицами порошка должно оставаться некоторое количество
воздуха для облегчения дальнейшей переработки. Воздух, находящийся в контакте с
порошком, не должен содержать никаких посторонних ароматов, а так же должен
быть стерилен и не содержать никаких микроорганизмов.
Воздух, окружающий какао-порошок,
должен быть не только стерильным, но и достаточно сухим; предпочтительна
влажность воздуха не выше 50 %, так как какао-порошок обладает повышенной
гигроскопичностью. Этот уровень влажности является верхним пределом для
удержания какао-порошка в состоянии стабильности. Но даже при удержании
влажности воздуха ниже 50 % должны быть приняты меры по предотвращению резких
температурных колебаний. Даже при благоприятных условиях хранения возможно
появление плесени на внутренней стороне упаковки.
К температурным колебаниям
чувствительно масло, содержащееся в какао-порошке. При достижении высокой
температуры масло какао тает, при дальнейшем повышении температуры масло
рекристаллизуется, вызывая серый цвет порошка; рекристаллизация также приводит
к слипанию порошка, что в дальнейшем затрудняет переработку.
Таким образом, рекомендуется:
хранение в сухих и
прохладных помещениях при температуре от 15 до 20 ˚С и относительной
влажности воздуха не выше 50 %;
мешки укладываются не выше
20 мешков в высоту;
мешки с какао-порошком
должны быть сложены на некотором расстоянии от стен во избежание местных
колебаний температуры и повреждения вредителями;
не допускается
появление на складе грызунов, насекомых и птиц;
насколько
возможно предотвращать внезапные температурные колебания на складе;
избегать попадания
солнечного света, тепла от нагретых приборов на мешки с какао-порошком;
избегать пребывание мешков
с какао-порошком рядом с сильно пахнущими веществами (кофе, чай, табак, специи,
краски и т.д.).
Срок хранения какао-порошка,
расфасованного в картонные коробки, - 6 месяцев, расфасованного в жестяные
коробки - 1 год.
Аппаратурное оформление процесса
получения масла какао и какао-порошка зависит от мощности предприятия (количества
перерабатываемых какао-бобов), выбранного (или имеющегося) технологического
оборудования и технологической схемы.
2. Органолептические и
физико-химические показатели качества какао-порошка
Показатели качества какао - порошка
определены в ГОСТ 108 - 76. «Какао - порошок. Технические условия».
Цвет, вкус и аромат зависят от
качества и обработки используемого сырья. Варьировать органолептические
показатели возможно степенью алкализации какао-порошка (обработка щелочами) или
путем смешивания сырья различного вида.
ГОСТ 108 - 76. «Какао - порошок.
Технические условия».
.1. Какао-порошок должен
изготовляться в соответствии с требованиями настоящего стандарта по рецептурам
и технологической инструкции, с соблюдением санитарных правил, утвержденных в
установленном порядке.
.2. По органолептическим показателям
какао-порошок должен соответствовать требованиям, указанным в табл.1.
Таблица 1
|
Наименование показателя
|
Характеристика
|
Метод испытания
|
|
Внешний вид
|
Порошок от светло-коричневого до темно-коричневого цвета,
тусклый серый оттенок не допускается
|
По ГОСТ 5897-90
|
|
Вкус и аромат
|
Свойственные какао-порошку без посторонних привкусов и запахов
|
По ГОСТ 5897-90
|
.3 Ароматизирующие вещества,
применяемые при выработке какао-порошка, должны быть разрешены к применению
Министерством здравоохранения СССР.
Остаточное количество пестицидов и
содержание афлотоксина B
в
сырье не должны превышать нормы, утвержденные Министерством здравоохранения
СССР.
.4. По физико-химическим показателям
какао-порошок должен соответствовать требованиям, указанным в табл.2.
Таблица 2
|
Наименование показателя
|
Норма
|
Метод анализа
|
|
Влажность, %, не более
|
7,5
|
По ГОСТ 5900-73
|
|
Массовая доля жира, %
|
В соответствии с расчетным содержанием по рецептурам
|
По ГОСТ 5899-85
|
|
Степень измельчения - остаток после просева на шелковом сите N
38 по ГОСТ 4403-91 и на металлическом сите N 016 по ГОСТ 6613-86, %, не более
|
1,5
|
По ГОСТ 5902-80
|
|
При растирании между пальцами не должен давать ощущения крупинок
|
|
|
Дисперсность - количество мелких фракций, %, не менее
|
90,0
|
По п.3.1 настоящего стандарта
|
|
Показатель рH, не более
|
7,1
|
По ГОСТ 5898-87
|
|
Массовая доля общей золы, %, не более:
|
|
|
|
в какао-порошке, не обработанном углекислыми щелочами
|
6,0
|
По ГОСТ 5901-87
|
|
в какао-порошке, обработанном углекислыми щелочами
|
9,0
|
|
|
Массовая доля золы, нерастворимой в 10%-ном растворе соляной
кислоты, %, не более
|
0,2
|
По ГОСТ 5901-87
|
|
Массовая доля металломагнитной примеси (частицы не более 0,3 мм
в наибольшем линейном измерении), %, не более
|
0,0003
|
По ГОСТ 5901-87
|
Содержание жира в какао порошках
может колебаться в пределах от 9,5 до 24%. При этом использование высокожирных
какао-порошков предпочтительно в производстве мороженого, напитков, в то же
время их применение при производстве глазури может привести к несовместимости
жиров какао-порошка и заменителя какао-масла.
Согласно европейским стандартам
нормируется также и содержание какаовеллы. Какаовелла, являющаяся наружной
оболочкой какао-боба, всегда загрязнена песком, пестицидами и т. п., а также
является источником бактериологического заражения. Кроме того, какаовелла
является абразивом и вызывает ускоренный износ измельчающего оборудования,
например валков мельниц.
Весьма важным аспектом качества
какао-порошка являются его микробиологические свойства. Особенно, если при
производстве или приготовлении продукта не осуществляется термообработка,
убивающая микроорганизмы, например в напитках или мороженом
.5. По микробиологическим
показателям какао-порошок должен соответствовать требованиям, указанным в
табл.3.
Таблица 3
|
Наименование показателя
|
Норма для какао-порошка, предназначенного
|
|
для розничной продажи, общественного питания и изготовления
молочных консервов
|
для промышленной переработки
|
для изготовления лекарственных препаратов
|
|
Мезофильные аэробные и факультативно-анаэробные микроорганизмы,
КОЕ в 1 г продукта, не более
|
1,0·10
|
5,0·10
|
1,0·10
|
|
Mасса продукта, в которой не допускаются бактерии группы
кишечных палочек (колиформные), г
|
0,01
|
0,01
|
0,1
|
|
Микроскопические (плесневые) грибы, КОЕ в 1 г продукта, не более
|
1,0·10
|
1,0·10
|
5,0·10
|
Примечание. Не допускаются в 25 г
продукта патогенные микроорганизмы, в том числе сальмонеллы.
3. Расчет показателей пищевой
ценности какао - порошка
.1 Степень удовлетворения суточной
потребности человека в основных пищевых веществах и энергии
Пищевые продукты в зависимости от
химического состава характеризуются пищевой, биологической, энергетической
ценностью и биологической эффективностью.
Пищевая ценность - совокупность
свойств пищевого продукта, обеспечивающих физиологические потребности организма
человека в энергии и основных пищевых веществах.
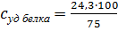
Степень удовлетворения суточной
потребности в основных пищевых веществах и энергии суд., %,
определяется по формуле (1):
где mi - содержание
определенного нутриента в 100 г продукта, г (мг);сут - суточная
потребность в нутриенте по СанПиН 2.3.2.1078-01, г (мг):



%;
Энергетическая ценность
- количество энергии, высвобождаемой в организме человека из пищевых веществ
продукта для обеспечения его физиологических функций.
При биологическом
окислении в организме из 1 г белка высвобождается энергия, равная 4 ккал; из 1
г жира - 9 ккал; из 1 г углеводов - 4 ккал; из 1 г органических кислот - 3
ккал.
Энергетическая ценность
каждого вида сырья ЭЦ, ккал, рассчитывается по формуле
где GБ, GЖ,
GУ, GОК - содержание белков, жиров, углеводов,
органических кислот в 100 г продукта, г. Коэффициент перевода ккал в кДж равен
4,184.
Показатели пищевой
ценности какао - порошка приведены в таблице 6.
Таблица 6 - Показатели
пищевой ценности какао-порошка
|
Наименование пищевых веществ
|
Содержание пищевых веществ, г/100 г пр.
|
Степень удовлетворения суточной потребности, %
|
|
Белки, г
|
24,3
|
32,4
|
|
Жиры, г
|
15,0
|
18,07
|
|
Усвояемые углеводы, г в т.ч. сахароза, г
|
10,2
|
2,8
|
|
2,0
|
3,08
|
|
Пищевые волокна, г
|
35,3
|
117,7
|
|
Минеральные вещ-ва, мг: железо
|
|
|
22,0
|
|
натрий
|
13
|
0,37
|
|
кальций
|
128
|
12,8
|
|
магний
|
425
|
106,25
|
|
фосфор
|
655
|
65,5
|
|
калий
|
1509
|
43,1
|
|
Витамины, мг: В1 (тиамин)
|
|
|
0,10
|
6,7
|
|
В2 (рибофлавин)
|
0,20
|
11,1
|
|
РР (на ниациновый эквивалент)
|
1,8
|
9
|
|
|
20
|
133,3
|
|
Энергетическая ценность, ккал (кДж)
|
284,7 (1191,18)
|
11,4
|
3.2 Биологическая
ценность белков сырья
Биологическая ценность - показатель
качества пищевого белка, отражающий степень соответствия его аминокислотного
состава потребностям организма в аминокислотах для синтеза белка. Биологическая
ценность белка определяется
сбалансированностью его аминокислотного состава, в первую очередь, по
незаменимым аминокислотам. Заменимые аминокислоты образуются в организме при
расщеплении белков. Незаменимые аминокислоты должны поступать с пищей.
Биологическую ценность белка по
аминокислотному составу оценивают при сравнении его с аминокислотным составом
«идеального» белка. По шкале ФАО/ВОЗ 1 г идеального белка содержит в мг:
изолейцина - 40,
лейцина - 70,
лизина - 55,
метионина и цистина - 35,
фенилаланина и тирозина - 60,
треонина - 40,
триптофана - 10,
валина - 50.
Для характеристики биологической
ценности белка используют следующие величины.
Аминокислотный скор (АС, %) -
процент соответствия природного белка по содержанию незаменимых аминокислот
«идеальному» белку, принимаемому за 100%:
где Aki - содержание
определенной аминокислоты в 1 г испытуемого белка, мг; Akc -
содержание той же аминокислоты в 1 г белка - эталона, мг.
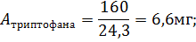
Содержание определенной аминокислоты
(Aki, мг) в 1 г белка определяют по формуле
где Ani - содержание
определенной аминокислоты в 100 г продукта, мг; m6 - содержание
белка в 100 г продукта, г.


;
Аминокислотный скор:

;
Аминокислотный скор
показывает предел использования азота данного вида белка для пластических
целей. Лимитирующей качество белка является аминокислота, показатель
аминокислотного скора которой наименьший.
Избыток других
содержащихся в белке аминокислот может употребляться в качестве источника
неспецифического азота или на энергетические нужды организма.
Минимальный
аминокислотный скор соответствует аминокислотам метионин + цистин - 17,7%
Коэффициент различия
аминокислотного скора (КРАС, %) является средней величиной избытка
аминокислотного скора незаменимых аминокислот по сравнению с наименьшим уровнем
скора какой-либо аминокислоты. КРАС показывает избыточное количество
незаменимых аминокислот, используемых на пластические нужды.
где ACi -
аминокислотный скор i-аминокислоты, % (i=1-8); ACmin -
аминокислотный скор лимитирующей аминокислоты, %; n - число незаменимых
аминокислот.
Биологическая ценность
белка БЦ, %:
Аминокислотный состав
какао - порошка приведен в таблице 7.
Таблица 7
-Аминокислотный состав какао - порошка
|
Наименование аминокислоты
|
Содержание аминокислоты, мг/100 г прод.
|
Содержание аминокислоты, мг/1 г белка
|
Аминокислотный скор, %
|
|
Валин
|
750
|
30,9
|
61,8
|
|
Изолейцин
|
530
|
21,8
|
54,5
|
|
Лейцин
|
800
|
32,9
|
47
|
|
Лизин
|
530
|
21,8
|
39,6
|
|
Метионин+цистин
|
150
|
6,2
|
17,7
|
|
Треонин
|
445
|
18,3
|
45,8
|
|
Триптофан
|
160
|
6,6
|
66
|
|
Фенилаланин+ тирозин
|
730
|
30,1
|
50,2
|
Биологическая ценность белка какао -
порошка составляет 69,9 %
Заключение
В данной курсовой работе мы
рассчитали показатели пищевой ценности какао - порошка: биологическую и
энергетическую ценности, степень удовлетворения в основных пищевых веществах.
Биологическая ценность какао -
порошка составляет 69,9 %, энергетическая ценность равна 284,7 ккал (1191,18
кДж).
Благодаря своим вкусовым качествам,
высокой биологической и энергетической ценностям какао - порошок используется
во многих отраслях пищевой промышлености.
Какао-порошок, в составе теста,
устойчив к высоким температурам и сохраняет насыщенность цвета и аромата в
готовом изделии.
Он придает продуктам аромат и цвет
шоколада.
Алкализованный какао порошок, при
использовании в кондитерской и хлебопекарной промышленности уменьшают дозировку
от 20 до 50%.
Какао порошок вводят в тесто,
предварительно перемешав с мукой. При приготовлении помадки какао порошок
загружают непосредственно в массу помадки и тщательно перемешивают.
При приготовлении шоколадного крема,
какао порошок необходимо соединить с разогретым маслом после чего ввести в
основную массу. Эта процедура проводится для того, чтобы избежать образования
комочков в креме.
Алкализованный какао-порошок
используется для приготовления «голландского», быстро растворимого какао,
которое не нужно варить.
Широкое распространение какао -
порошка как ингредиента для кондитерской, хлебопекарной и молочной отраслей
обуславливает высокую конкуренцию среди производителей данного вида продукта.
Список использованной литературы
какао порошок пищевой
1.Драгилев, А.И. Технологическое оборудование хлебопекарное,
макаронное и кондитерское [Текст]:: учебное пособие / А. И. Драгилев, В. М.
Хроменков, М.Е. Чернов. - М.: Академия, 2006. - 432 с.
.Медведева, А.А. Производство конфет и шоколада: технологии,
оборудование, рецептуры [Текст] / А. А. Медведева. - СПб.: ДНК, 2007. - 256 с.
.Олейникова, А.Я. Технология кондитерских изделий [Текст] / А. Я.
Олейникова, Л.М. Аксенова, Г. О. Магомедов. - СПб.: РАПП, 2010. - 672 с.
. ГОСТ 108-76. Какао-порошок. Технические условия [Текст]. - Введ.
2009-06-23. - Госстандарт России: Стандартинформ,1976 - 7 с.
. Маршалкин, Г.А. Производство кондитерских изделий [Текст] / Г.
А. Маршалкин. - М.: «Колос», 1994 - 320 с.
.Кондитерские изделия. Чай, кофе, какао [Электронный ресурс], -
http://www.my-ki.ru@my-ki.ru
.Кондитерское и хлебопекарное производство [Электронный ресурс], -
http://www.breadbranch.com/magazine/latestnumber.html
.Скурихин, И. М. Химический состав российских продуктов питания:
справочник [Текст] / под ред. И. М. Скурихин, В. А. Тутельяна - М.: ДеЛи принт,
2002 - 236 с.