|
Показатель
|
Содержание
|
|
Вода,
г
|
4,0
|
|
Белки,
г
|
24,2
|
|
Жиры
(масло какао), г
|
17,5
|
|
Углеводы,
г: моно- и дисахариды крахмал и др. полисахариды
|
3,5
24,4
|
|
Зола,
г
|
6,3
|
|
Минеральные
вещества, мг: Na K Ca Mg P Fe
|
10
1689 55 191 655 14,8
|
|
Энергетическая
ценность, ккал
|
380
|
Благодаря своим уникальным качествам
какао-продукты нашли применение кроме кондитерской в масложировой, табачной и
фармацевтической промышленности.
В России лидерами рынка какао являются фабрика
"Красный Октябрь", с советского времени выпускающая порошок
"Золотой ярлык", и международный концерн Nestlé
с
маркой "Nesquik" (быстрорастворимое какао с добавками вроде сухого
молока).
1. Технологическая
схема получения какао-порошка
При прессование тертого какао образуется два
продукта: масло какао, которое направляют на производство шоколада и
какао-жмых, из которого получают какао-порошок.
Какао-порошок представляет собой
тонкоизмельченный продукт коричневого цвета, его выпускают двух типов:
производственный и товарный. Производственный какао-порошок используют в
качестве добавок для изготовления жировой глазури, некоторых сортов конфет,
карамели, ириса, начинок и других видов кондитерских изделий. Товарный
какао-порошок используется для приготовления напита какао.
При производстве масла какао и товарного
какао-порошка наиболее эффективной является щелочная обработка какао-крупки. Её
загружают в реактор с мешалкой, куда дозируется водно-щелочной раствор. Чаще
применяют водные растворы карбоната калия (K2CO3).
Обработка осуществляется при температуре 85 ˚С под давление пара,
образующегося при нагревании раствора.
После замачивания какао-крупки в растворе поташа
(K2CO3)
и восстановления ее в течение нескольких часов в горячих камерах (процесс
томления) производят вторичную термообработку (подсушку и обжарку
препарированной крупки), а затем уже из нее получают тертое какао. Его
используют для получения какао-порошка, обладающего высокими вкусовыми
качествами, хорошей окраской, тонкой дисперсностью и стойкой суспензией.
Прошедшая обработку какао-крупка влажностью
12-22 % поступает на подсушку в паровую сушилку ленточного типа и перемещается
в ней через несколько ярусов по сетчатым транспортерам, расположенным один над
другим по вертикали.
Сушат при температуре 100 ˚С. При сушке
удаляются пары воды и летучие вещества.
После сушки, которая заканчивается при
достижение температуры 100 ˚С, проводится обжарка при температуре 120-135 ˚С
до влажности 1-2 %. В процессе обжарки окончательно формируется цвет и вкус
какао-крупки.
Прошедшая термическую обработку какао-крупка
поступает в охлажденный приемник. После охлаждения до температуры 30-35 ˚С
какао-крупка передается системой пневмотранспорта в сборники, а потом на
распределительный транспортер. Какао-крупка попадает в измельчительное
оборудование для приготовления тертого какао. В зависимости от степени щелочной
обработки, продолжительности и температуры обжарки какао-крупки получают тертое
какао высокого качества, а после отжатия из него масла какао производят
какао-порошок различной окраски, от светло- до красно-коричневого цвета.
Тертое какао подвергается длительной тепловой
обработке при непрерывном, энергичном перемешивании и температуре 85-90 ˚С.
Большое распространение на практике получило сочетание
темперирования с обработкой тертого какао щелочными реагентами (карбонат калия,
карбонат аммония, бикарбонат натрия, карбонат магния, окись магния и другие) .
Препарированное тертое какао перекачивают в
промежуточные сборники, оборудованные пароводяной рубашкой и мешалкой, откуда
его подают в гидравлические прессы для отжима масла какао. Твердый остаток,
образующийся после прессования и называемый какао-жмыхом, перерабатывают в
товарный или производственный какао-порошок.
.2 Получение
какао-порошка
При выгрузке из прессе температура жмыха около
90 ˚С. Оставшееся в жмыхе масло какао находится в расплавленном состоянии,
поэтому перед дроблением на мелкие куски и измельчением жмых необходимо
охладить
До 30-35 ˚С, в противном случае рабочие
органы жмыходробилки будут замазываться продуктом (маслом).
Если при прессовании тертого какао используются
вертикальные прессе, то жмых, как правило, охлаждают в помещении цеха в течении
12-18 ч, на что требуется значительная производственная площадь.
При использовании горизонтальных прессов съем
жмыха механизирован, по виброжелобу плиты жома передаются в охлаждаемую камеру,
где поддерживается температура воздуха 2-8 ˚С, что сокращает время
охлаждения до 6-6 часов.
Измельчение какао-жмыха осуществляется в две
стадии: грубое (предварительное) с помощью зубовалковой мельницы 95-HN
(6) и тонкое (окончательное) с помощью агрегатов, снабженных молотковой или
штифтовой дробилкой и устройствами для механической, воздушной или
комбинированной (механической и воздушной) сепарации какао-порошка.
Жмых, попадая в зазор между валками,
раздавливается зубьями, рассыпаясь на различные куски. Куски падают вниз и при
помощи нории (7) попадают в шнек (8), который выводит их из мельницы. Далее
гранулы какао-жмыха поступают в размольный агрегат "Шоненбергера" № 3
(9), предназначенный для тонкого (окончательного) измельчения гранул
какао-жмыха.
В зависимости от степени измельчения
какао-порошка получают товарный или промышленный (производственный) порошок.
Товарный порошок используется для приготовления напитка какао, а промышленный -
для получения различных полуфабрикатов (начинки, глазури и пр.) и отделки
готовых изделий.
Различают какао-порошок непрепарированный и
препарированный. Первый получают из тертого какао, не обработанного щелочными
препаратами. Такой порошок имеет слабокислую реакцию. Препарированный
какао-порошок производят из тертого какао (или какао-крупки), обработанного
щелочными препаратами. Порошок имеет слабощелочную реакцию. При щелочной
обработке какао-продуктов улучшается вкус, аромат и цвет какао-порошка (более
темный).
К товарному какао-порошку предъявляются
следующие требования по составу, в %:
Влаги, не более7,5
Жира, не менее 9,0
Клетчатки, не более 5,5
Общей золы, не более:
в необработанном щелочами 6,0
в обработанном щелочами 9,0
Измельченный какао-жмых попадает в расходную
емкость (10) ,где происходит дозирование уже полученного какао-порошка. После
чего происходит расфасовка в расфасовочном автомате (11) для какао-порошка
АП-2БМ, упаковка и взвешивание на столе (12).
.3 Расфасовка,
упаковка и хранение какао-порошка
Товарный какао-порошок расфасовывают на
специальных автоматах в картонные, жестяные или из другого материала коробки
нетто по 100, 200, 500 грамм, которые затем упаковывают в ящики из
гофрированного картона. Производственный какао-порошок затаривают в крафт-мешки
массой по 25 килограмм.
Очень важно соблюдать определенные условия
хранения порошка, так как при неправильном применении происходит изменение
некоторых характеристик. Так, при избыточном сжатии происходит слипание частиц
какао-порошка. Укладка большого количество мешков друг на друга вызывает
избыточное давление на нижние мешки и приводит к слипанию порошка на нижних мешках.
Между частицами порошка должно оставаться некоторое количество воздуха для
облегчения дальнейшей переработки. Воздух, находящийся в контакте с порошком,
не должен содержать никаких посторонних ароматов, а так же должен быть стерилен
и не содержать никаких микроорганизмов. какао
порошок пищевой белок
Воздух, окружающий какао-порошок, должен быть не
только стерильным, но и достаточно сухим; предпочтительна влажность воздуха не
выше 50 %, так как какао-порошок обладает повышенной гигроскопичностью. Этот уровень
влажности является верхним пределом для удержания какао-порошка в состоянии
стабильности. Но даже при удержании влажности воздуха ниже 50 % должны быть
приняты меры по предотвращению резких температурных колебаний. Даже при
благоприятных условиях хранения возможно появление плесени на внутренней
стороне упаковки.
К температурным колебаниям чувствительно масло,
содержащееся в какао-порошке. При достижении высокой температуры масло какао
тает, при дальнейшем повышении температуры масло рекристаллизуется, вызывая
серый цвет порошка; рекристаллизация также приводит к слипанию порошка, что в
дальнейшем затрудняет переработку.
Таким образом, рекомендуется:
хранение в сухих и прохладных помещениях при
температуре от 15 до 20 ˚С и относительной влажности воздуха не выше 50 %;
мешки укладываются не выше 20 мешков в высоту;
мешки с какао-порошком должны быть сложены на
некотором расстоянии от стен во избежание местных колебаний температуры и
повреждения вредителями;
не допускается появление на складе грызунов, насекомых
и птиц;
насколько возможно предотвращать внезапные
температурные колебания на складе;
избегать попадания солнечного света, тепла от
нагретых приборов на мешки с какао-порошком;
избегать пребывание мешков с какао-порошком
рядом с сильно пахнущими веществами (кофе, чай, табак, специи, краски и т.д.).
Срок хранения какао-порошка, расфасованного в
картонные коробки, - 6 месяцев, расфасованного в жестяные коробки - 1 год.
Аппаратурное оформление процесса получения масла
какао и какао-порошка зависит от мощности предприятия (количества
перерабатываемых какао-бобов), выбранного (или имеющегося) технологического
оборудования и технологической схемы.
2. Органолептические
и физико-химические показатели качества какао-порошка
Показатели качества какао - порошка определены в
ГОСТ 108 - 76. "Какао - порошок. Технические условия".
Цвет,
вкус и аромат зависят от качества и обработки используемого сырья. Варьировать
органолептические показатели возможно степенью алкализации какао-порошка
(обработка щелочами) или путем смешивания сырья различного вида.
ГОСТ
108 - 76. "Какао - порошок. Технические условия".
.1. Какао-порошок должен изготовляться в
соответствии с требованиями настоящего стандарта по рецептурам и
технологической инструкции, с соблюдением санитарных правил, утвержденных в
установленном порядке. 1.2.
По органолептическим показателям какао-порошок должен соответствовать
требованиям, указанным в табл.1.
Таблица 1
|
Наименование
показателя
|
Характеристика
|
Метод
испытания
|
|
Внешний
вид
|
Порошок
от светло-коричневого до темно-коричневого цвета, тусклый серый оттенок не
допускается
|
По
ГОСТ 5897-90
|
|
Вкус
и аромат
|
Свойственные
какао-порошку без посторонних привкусов и запахов
|
По
ГОСТ 5897-90
|
.3 Ароматизирующие вещества, применяемые при
выработке какао-порошка, должны быть разрешены к применению Министерством
здравоохранения СССР. Остаточное
количество пестицидов и содержание афлотоксина B
в сырье не должны превышать нормы, утвержденные Министерством здравоохранения
СССР.
.4. По физико-химическим показателям
какао-порошок должен соответствовать требованиям, указанным в табл.2.
Таблица 2
|
Наименование
показателя
|
Норма
|
Метод
анализа
|
|
Влажность,
%, не более
|
7,5
|
По
ГОСТ 5900-73
|
|
Массовая
доля жира, %
|
В
соответствии с расчетным содержанием по рецептурам
|
По
ГОСТ 5899-85
|
|
Степень
измельчения - остаток после просева на шелковом сите N 38 по ГОСТ 4403-91 и
на металлическом сите N 016 по ГОСТ 6613-86, %, не более
|
1,5
|
По
ГОСТ 5902-80
|
|
При
растирании между пальцами не должен давать ощущения крупинок
|
|
|
Дисперсность
- количество мелких фракций, %, не менее
|
90,0
|
По
п.3.1 настоящего стандарта
|
|
Показатель
рH, не более
|
7,1
|
По
ГОСТ 5898-87
|
|
Массовая
доля общей золы, %, не более:
|
|
|
|
в
какао-порошке, не обработанном углекислыми щелочами
|
6,0
|
По
ГОСТ 5901-87
|
|
в
какао-порошке, обработанном углекислыми щелочами
|
9,0
|
|
|
Массовая
доля золы, нерастворимой в 10%-ном растворе соляной кислоты, %, не более
|
0,2
|
По
ГОСТ 5901-87
|
|
Массовая
доля металломагнитной примеси (частицы не более 0,3 мм в наибольшем линейном измерении),
%, не более
|
0,0003
|
По
ГОСТ 5901-87
|
Содержание жира в какао порошках может
колебаться в пределах от 9,5 до 24%. При этом использование высокожирных
какао-порошков предпочтительно в производстве мороженого, напитков, в то же
время их применение при производстве глазури может привести к несовместимости
жиров какао-порошка и заменителя какао-масла. Согласно
европейским стандартам нормируется также и содержание какаовеллы. Какаовелла,
являющаяся наружной оболочкой какао-боба, всегда загрязнена песком, пестицидами
и т. п., а также является источником бактериологического заражения. Кроме того,
какаовелла является абразивом и вызывает ускоренный износ измельчающего
оборудования, например валков мельниц.
.4. Содержание токсичных элементов, афлотоксина
B
и остаточное количество пестицидов не должны превышать нормы, утвержденные
Министерством здравоохранения СССР.
Весьма важным аспектом качества какао-порошка
являются его микробиологические свойства. Особенно, если при производстве или
приготовлении продукта не осуществляется термообработка, убивающая
микроорганизмы, например в напитках или мороженом
1.5. По микробиологическим
показателям какао-порошок должен соответствовать требованиям, указанным в
табл.3.
Таблица 3
|
Наименование показателя
|
Норма для какао-порошка, предназначенного
|
|
для розничной продажи, общественного питания и изготовления
молочных консервов
|
для промышленной переработки
|
для изготовления лекарственных препаратов
|
1,0·10
|
5,0·10
|
1,0·10
|
|
Mасса продукта, в которой не допускаются бактерии группы
кишечных палочек (колиформные), г
|
0,01
|
0,01
|
0,1
|
|
Микроскопические (плесневые) грибы, КОЕ в 1 г продукта, не более
|
1,0·10
|
1,0·10
|
5,0·10
|
Примечание. Не допускаются в 25 г
продукта патогенные микроорганизмы, в том числе сальмонеллы.
3.
Расчет
показателей пищевой ценности какао - порошка
.1 Степень удовлетворения суточной потребности
человека в основных пищевых веществах и энергии
Пищевые продукты в зависимости от химического
состава характеризуются пищевой, биологической, энергетической ценностью и
биологической эффективностью.
Пищевая ценность
- совокупность свойств пищевого продукта, обеспечивающих физиологические
потребности организма человека в энергии и основных пищевых веществах.
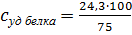
Степень удовлетворения суточной потребности в
основных пищевых веществах и энергии суд., %, определяется по
формуле (1):
где mi
- содержание определенного нутриента в 100 г продукта, г (мг);
Cсут
- суточная потребность в нутриенте по СанПиН 2.3.2.1078-01, г (мг):



%;
Энергетическая ценность -
количество энергии, высвобождаемой в организме человека из пищевых веществ
продукта для обеспечения его физиологических функций.
При биологическом окислении в
организме из 1 г белка высвобождается энергия, равная 4 ккал; из 1 г жира - 9
ккал; из 1 г углеводов - 4 ккал; из 1 г органических кислот - 3 ккал.
Энергетическая ценность каждого вида
сырья ЭЦ, ккал, рассчитывается по формуле
где GБ, GЖ, GУ, GОК -
содержание белков, жиров, углеводов, органических кислот в 100 г продукта, г.
Коэффициент перевода ккал в кДж равен 4,184.
Показатели пищевой ценности какао -
порошка приведены в таблице 6.
Таблица 6 - Показатели пищевой
ценности какао-порошка
|
Наименование
пищевых веществ
|
Содержание
пищевых веществ, г/100 г пр.
|
Степень
удовлетворения суточной потребности, %
|
|
Белки,
г
|
24,3
|
32,4
|
|
Жиры,
г
|
15,0
|
18,07
|
|
Усвояемые
углеводы, г в т.ч. сахароза, г
|
10,2
|
2,8
|
|
2,0
|
3,08
|
|
Пищевые
волокна, г
|
35,3
|
117,7
|
|
Минеральные
вещ-ва, мг: железо
|
|
|
22,0
|
157,14
|
|
натрий
|
13
|
0,37
|
|
кальций
|
128
|
|
магний
|
425
|
106,25
|
|
фосфор
|
655
|
65,5
|
|
калий
|
1509
|
43,1
|
|
Витамины,
мг: В1 (тиамин)
|
|
|
0,10
|
6,7
|
|
В2
(рибофлавин)
|
0,20
|
11,1
|
|
РР
(на ниациновый эквивалент)
|
1,8
|
9
|
|
|
20
|
133,3
|
|
Энергетическая
ценность, ккал (кДж)
|
284,7
(1191,18)
|
11,4
|
3.2 Биологическая
ценность белков сырья
Биологическая ценность
- показатель качества пищевого белка, отражающий степень соответствия его
аминокислотного состава потребностям организма в аминокислотах для синтеза
белка. Биологическая
ценность белка определяется сбалансированностью
его аминокислотного состава, в первую очередь, по незаменимым аминокислотам.
Заменимые аминокислоты образуются в организме при расщеплении белков.
Незаменимые аминокислоты должны поступать с пищей.
Биологическую ценность белка по аминокислотному
составу оценивают при сравнении его с аминокислотным составом "идеального"
белка. По шкале ФАО/ВОЗ 1 г идеального белка содержит в мг:
изолейцина - 40,
лейцина - 70,
лизина - 55,
метионина и цистина - 35,
фенилаланина и тирозина - 60,
треонина - 40,
триптофана - 10,
валина - 50.
Для характеристики биологической ценности белка
используют следующие величины.
Аминокислотный скор (АС, %)
- процент соответствия природного белка по содержанию незаменимых аминокислот
"идеальному" белку, принимаемому за 100%:
где Aki
- содержание определенной аминокислоты в 1 г испытуемого белка, мг; Akc
- содержание той же аминокислоты в 1 г белка - эталона, мг.
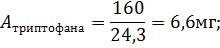
Содержание определенной аминокислоты (Aki,
мг) в 1 г белка определяют по формуле
где Ani
- содержание определенной аминокислоты в 100 г продукта, мг; m6
- содержание белка в 100 г продукта, г.


;
Аминокислотный скор:

;
Аминокислотный скор показывает
предел использования азота данного вида белка для пластических целей.
Лимитирующей качество белка является аминокислота, показатель аминокислотного
скора которой наименьший.
Избыток других содержащихся в белке
аминокислот может употребляться в качестве источника неспецифического азота или
на энергетические нужды организма.
Минимальный аминокислотный скор
соответствует аминокислотам метионин + цистин - 17,7%
Коэффициент различия аминокислотного
скора (КРАС, %) является средней величиной избытка аминокислотного скора
незаменимых аминокислот по сравнению с наименьшим уровнем скора какой-либо
аминокислоты. КРАС показывает избыточное количество незаменимых аминокислот,
используемых на пластические нужды.
где ACi -
аминокислотный скор i-аминокислоты, % (i=1-8); ACmin -
аминокислотный скор лимитирующей аминокислоты, %; n - число
незаменимых аминокислот.
Биологическая ценность белка БЦ, %:
Аминокислотный состав какао -
порошка приведен в таблице 7.
|
Наименование
аминокислоты
|
Содержание
аминокислоты, мг/100 г прод.
|
Содержание
аминокислоты, мг/1 г белка
|
Аминокислотный
скор, %
|
|
Валин
|
750
|
30,9
|
61,8
|
|
Изолейцин
|
530
|
21,8
|
54,5
|
|
Лейцин
|
800
|
32,9
|
47
|
|
Лизин
|
530
|
21,8
|
39,6
|
|
Метионин+цистин
|
150
|
6,2
|
17,7
|
|
Треонин
|
445
|
18,3
|
45,8
|
|
Триптофан
|
160
|
6,6
|
66
|
|
Фенилаланин+
тирозин
|
730
|
30,1
|
50,2
|
Биологическая ценность белка какао - порошка
составляет 69,9 %
Заключение
В данной курсовой работе мы рассчитали
показатели пищевой ценности какао - порошка: биологическую и энергетическую
ценности, степень удовлетворения в основных пищевых веществах.
Биологическая ценность какао - порошка
составляет 69,9 %, энергетическая ценность равна 284,7 ккал (1191,18 кДж).
Благодаря своим вкусовым качествам, высокой
биологической и энергетической ценностям какао - порошок используется во многих
отраслях пищевой промышлености.
Какао-порошок, в составе теста, устойчив к
высоким температурам и сохраняет насыщенность цвета и аромата в готовом изделии.
Он придает продуктам аромат и цвет шоколада.
Алкализованный какао порошок, при использовании
в кондитерской и хлебопекарной промышленности уменьшают дозировку от 20 до 50%.
Какао порошок вводят в тесто, предварительно
перемешав с мукой. При приготовлении помадки какао порошок загружают
непосредственно в массу помадки и тщательно перемешивают.
При приготовлении шоколадного крема, какао
порошок необходимо соединить с разогретым маслом после чего ввести в основную
массу. Эта процедура проводится для того, чтобы избежать образования комочков в
креме.
Алкализованный какао-порошок используется для
приготовления "голландского", быстро растворимого какао, которое не
нужно варить.
Широкое распространение какао - порошка как
ингредиента для кондитерской, хлебопекарной и молочной отраслей обуславливает
высокую конкуренцию среди производителей данного вида продукта.
Список использованной литературы
1.Драгилев, А.И. Технологическое
оборудование хлебопекарное, макаронное и кондитерское [Текст]: : учебное
пособие / А. И. Драгилев, В. М. Хроменков, М. Е. Чернов. - М. : Академия, 2006.
- 432 с.
.Медведева, А. А.
Производство конфет и шоколада: технологии, оборудование, рецептуры [Текст] /
А. А. Медведева. - СПб. : ДНК, 2007. - 256 с.
.Олейникова, А. Я. Технология
кондитерских изделий [Текст] / А. Я. Олейникова, Л. М. Аксенова, Г. О.
Магомедов. - СПб. : РАПП, 2010. - 672 с.
. ГОСТ 108-76. Какао-порошок.
Технические условия [Текст]. - Введ.
2009-06-23. - Госстандарт России:
Стандартинформ,1976 - 7 с.
.
Маршалкин, Г. А. Производство кондитерских изделий [Текст] / Г. А.
Маршалкин. - М. : "Колос", 1994 - 320 с.
6.Кондитерские изделия. Чай, кофе, какао [Электронный ресурс] , - <http://www.my-ki.ru@my-ki.ru>
.Кондитерское
и хлебопекарное производство [Электронный ресурс], -
<http://www.breadbranch.com/magazine/latestnumber.html>
8.Скурихин,
И. М. Химический состав российских продуктов питания: справочник [Текст] / под
ред. И. М. Скурихин, В. А. Тутельяна - М.: ДеЛи принт, 2002 - 236 с.