Фундаментальные решения линейных дифференциальных операторов
Содержание
Введение
Теоретическая
часть
Обобщенные
решения линейных дифференциальных уравнений
Фундаментальные
решения
Уравнение
с правой частью
Метод
спуска
Фундаментальное
решение линейного дифференциального оператора с обыкновенными производными
Фундаментальное
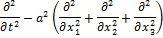
решение оператора теплопроводности
Фундаментальное
решение оператора Лапласа
Практика
и результаты
Заключение
Список
использованной литературы
Введение
В последнее десятилетие завершено создание основ
так называемой теперь общей теории дифференциальных операторов в частных
производных с постоянными коэффициентами. Общая теория выделялась из
классической по мере того, как изучение частных свойств специальных операторов
сменялось исследованием общих структурных свойств операторов общего вида. Лучший
пример, иллюстрирующий этот процесс, представляет история изучения локальных
свойств решений однородных уравнений. Специальные результаты о регулярности
решений уравнений Лапласа, теплопроводности и некоторых других послужили
основой для выделения классов операторов, обладающих аналогичными свойствами:
эллиптических и параболических. Эти классы операторов обладают общим свойством:
всякое решение соответствующего однородного уравнения бесконечно
дифференцируемо.
Другое направление, определяющее сейчас лицо
общей теории, имело отправной точкой классическую задачу о построении
фундаментальных решений в целом. В рамках классической теории эта задача была
решена лишь для некоторых специальных типов операторов. Далее благодаря
привлечению аппарата обобщенных функций был получен следующий общий результат:
для любого отличногоот нуля оператора с постоянными коэффициентами
существует,обобщенное фундаментальное решение. Более того, оказалось, что
неоднородное уравнение, соответствующее такому оператору, разрешимо для любой
обобщенной правой части.
Обобщенные решения линейных
дифференциальных уравнений
Пусть
линейное
дифференциальное уравнение порядка
с
коэффициентами
. Вводя
дифференциальный оператор
перепишем это уравнение в виде
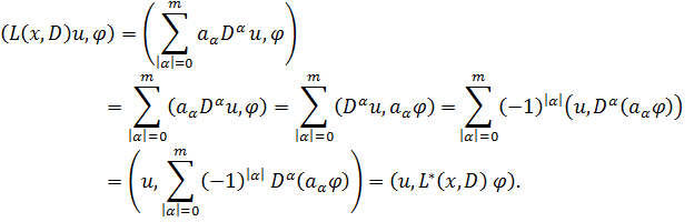
Определение. Обобщенным решение
в
области
называется
всякая обобщенная функция
, удовлетворяющая
этому уравнению в области
в обобщенном
смысле, т. е. для любой
Равенство
равносильно
равенству
где
Действительно,
Ясно, что всякое классическое решение является и
обобщенным решением. Обратное утверждение сформулируем в виде следующей леммы.
Лемма. Если
и
обобщенное решение
уравнения
в
области
принадлежит классу
,
то оно является и классическим решением этого уравнения в области
.
Доказательство. Так как
,
то классические и обобщенные производные функции
до
порядка
включительно
совпадают в области
. Поскольку
обобщенное
решение уравнения
в области
,
то непрерывная в
функция
обращается
в нуль в области
в смысле
обобщенных функций. По лемме дю Буа-Реймона
во
всех точках области
, так что
удовлетворяет
уравнению
в области
в
классическом смысле. Лемма доказана.
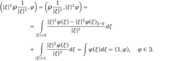
Фундаментальное решение
Пусть
дифференциальный
оператор с постоянными коэффициентами,
:
Определение. Фундаментальным
решением(функцией влияния) оператора
называется
обобщенная функция
, удовлетворяющая в
уравнению
Фундаментальное решение
оператора
,
вообще говоря, не единственно; она определяется с точностью до слагаемого
,
являющегося произвольным решением однородного уравнения
.
Действительно, обобщенная функция
также
является фундаментальным решением оператора
:
Лемма. Для того чтобы обобщенная функция
из
была
фундаментальным решением оператора
,
необходимо и достаточно, чтобы ее преобразование Фурье
удовлетворяло
уравнению
где
Доказательство. Пусть
фундаментальное
решение оператора
. Применяя
преобразование Фурье к обеим частям равенства
,
получим:
Принимая во внимание формулу
,
имеем
отсюда и из
вытекает,
что
удовлетворяет
уравнению
.
Обратно, если
удовлетворяет
уравнению
, то, в силу
,
удовлетворяет
уравнению
, откуда следует,
что
удовлетворяет
уравнению
, т.е. является
фундаментальным решением оператора
.
Лемма доказана.
Доказанная лемма сводит задачу построения
фундаментальных решений медленного роста линейных дифференциальных операторов с
постоянными коэффициентами к решению в
алгебраических
уравнений вида
где
произвольный
полином.
Как видно из уравнения
,
всякое его решение из
(если таковое
существует) должно совпадать с функцией
вне
множества
нулей полинома
,
Отсюда следует, что если
,
то решение уравнения
не единственно:
разные решения отличаются друг от друга на обобщенную функцию с носителем в
.
Если функция
локально
интегрируема в
, то она (точнее,
определяемый ею регулярный функционал) является решением в
уравнения
.
Если же функция
не является
локально интегрируемой в
, то возникает
нетривиальная задача о построении в
решения
уравнения
.
Обозначим через
какое-либо
решение из
уравнения
.
Построение этого решения существенно зависит от структуры множества
и
может быть проведено для каждого конкретного полинома
.
Таким образом, уравнение
всегда
разрешимо в
,
Следовательно, всякий линейный дифференциальный
оператор
с
постоянными коэффициентами имеет фундаментальное решение медленного роста, и
это решение дается формулой
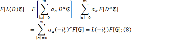
Уравнение с правой частью
С помощью фундаментального решения
оператора
можно
построить решение уравнения
с произвольной правой частью
.
Точнее, справедлива следующая
Теорема. Пусть
такова,
что свертка
существует в
.
Тогда решение уравнения
существует в
и
дается формулой
Это решение единственно в классе тех
обобщенных функций из
, для которых
существует свертка с
.
Доказательство. Пользуясь формулой
дифференцирования свертки
и учитывая
равенство
, получим
Поэтому формула
действительно
дает решение уравнения
.
Докажем единственность решения уравнения
в
классе тех обобщенных функций из
,
для которых свертка с
существует в
.
Для этого достаточно установить, что соответствующее однородное уравнение
имеет только нулевое решение в этом классе. Но
это действительно так в силу
Теорема доказана.
Следствие. Если
и
свертка
существует в
,
то справедливо равенство
Физический смысл решения
.
Представим источник
в виде «суммы»
точечных источников
:
В силу
каждый
точечный источник
определяет влияние
.
Поэтому решение
есть наложение (суперпозиция) этих влияний.
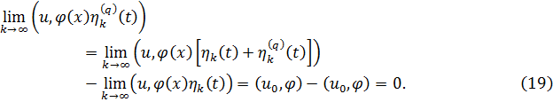
Метод спуска
Рассмотрим линейное дифференциальное уравнение с
постоянными коэффициентами в пространстве
переменных
Где
и
дифференциальные
операторы по переменным
.
Пусть обобщенная функция
из
допускает
продолжение на функции вида
, где
в
следующем смысле: какова бы ни была последовательность основных функций
,
из
,
сходящаяся к
в
,
существует предел
и этот предел не зависит от последовательности
.
Обозначим функционал
через
,
Очевидно, при всяком
функционал
линейный
и непрерывный на
, т.е. принадлежит
.
Поэтому, по теореме о полноте пространства
,
и предельный функционал
.
Приведем два примера на построение продолжения
.
а) Пусть
функция
такая, что функция
локально интегрируема
в
и
представляется интегралом
Действительно, в этом случае функция
локально
интегрируема в
и, в силу теорема
Лебега и Фубини, предел
При всех
существует
и не зависит от последовательности
.
Отсюда, в силу
, и вытекает
формула
.
b) Пусть
,
где
.
Тогда
в
силу
Теорема. Если решение
уравнения
допускает
продолжение
, то обобщенная
функция
из
удовлетворяет
уравнению
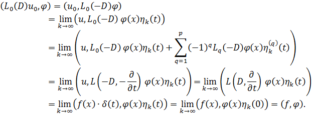
Доказательство. Пусть
,
последовательность
функций из
, сходящиеся к
в
.
Тогда при
последовательности
функций
,
также
сходятся к
в
и,
следовательно, при всех
из
Учитывая
,
проверим, что обобщенная функция
удовлетворяет
уравнению
:
Теорема доказана.
Изложенный метод получения решения
уравнения
с
переменными
через решения
уравнения
с
переменными
называется методом спуска по переменной
.
Метод спуска особенно удобно использовать для
построения фундаментальных решений. Действительно, применяя доказанную теорему
при
,
получаем: если
фундаментальное
решение оператора
допускает
продолжение
вида
,
то обобщенная функция
есть фундаментальное решение
оператора
; в частности,
если
такова,
что функция
локально
интегрируема в
, то
Фундаментальные решения
и
удовлетворяют
соотношению
Физический смысл этой формулы состоит в том, что
есть
(не зависящее от
) возмущение от
источника
, сосредоточенного
на оси
.
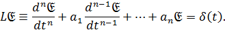
Фундаментальное решение линейного оператора с
обыкновенными производными
Фундаментальное решение этого оператора
выражается формулой
где
удовлетворяет
однородному уравнению
и начальным
условиям
,
В частности, функции
являются соответственно фундаментальными
решениями операторов

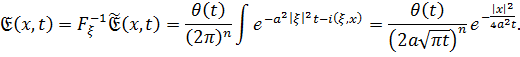
Решение уравнения выражается формулой
и, следовательно, эта функция является
фундаментальным решением оператора теплопроводности.
Выведем формулу
методом
преобразования Фурье. Для этого применим преобразование Фурье
к
равенству:
и воспользуемся формулами
и
В результате для обобщенной функции
получаем
уравнение
Пользуясь формулой
с
заменой
на
,
заключаем, что решением в
уравнения
является
функция
Отсюда, применяя обратное преобразование Фурье
и
пользуясь формулой
, получаем
равенство
:
Фундаментальное решение
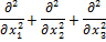
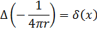
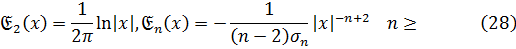
оператора Лапласа
Фундаментальным решением оператора Лапласа
является
Вычислим эти фундаментальные решение уравнения
методом преобразования Фурье. Применяя преобразование Фурье к равенству
,
получим
Пусть
.
Проверим, что обобщенная функция
удовлетворяет
уравнению
. Действительно
Следовательно, в соответствии со схемой из
пункта 1. 2 можно положить
Отсюда, пользуясь формулой преобразования Фурье
при
при
получаем
Так как постоянная удовлетворяет однородному
уравнению Лапласа, то, отбрасывая в
слагаемое
,
убеждаемся, что фундаментальное решение
можно
выбрать равным
.
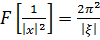
Пусть теперь
.
В этом случае функция
локально
интегрируема в
и потому, в
соответствии с пунктом 1. 2,
Отсюда при
,
пользуясь формулой преобразования Фурье
,
получаем
Примеры и результаты
Пример 1. Найдем фундаментальное решение
оператора
Согласно формуле
,
где
частное
решение однородного дифференциального уравнения
с
начальными условиями
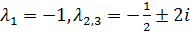
Поскольку корни характеристического уравнения
есть
,
получаем, что
Два раза дифференцируем:
+
.
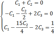
Подставляем начальные условия и получаем систему
для нахождения констант:
Отсюда находим
Следовательно,
Пример 2. Фундаментальным решением оператора
Лапласа в
.
Является функция
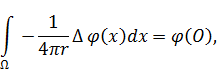
Докажем этот факт. Требуется доказать, что
В
,
т.е. что для любой основой функции
из
верно
соотношение
Где в последнем равенстве мы применили формулу
среднего значения для интегрирования гладких функций
и
по
сфере
,
Заметим теперь, что в силу абсолютной
непрерывности интеграла Лебега для функции
верно
предельное соотношение
Далее, в силу непрерывности
и
ограниченности
имеем
С учётом
,
из
окончательно
получаем путём предельного перехода при
:
Что и означает
Сведем полученные результаты фундаментальных
решений в таблицу. Так же приведем пример фундаментальные решения для некоторых
других операторов без доказательства.
Таблица 1.
Заключение
Целью курсовой работы было изучить основные
построения фундаментальных решений линейных дифференциальных операторов с
постоянными коэффициентами, применяя метод преобразования Фурье.
В работе рассматривалось основные
фундаментальные решения: оператора теплопроводности, оператора Лапласа,
линейного дифференциального оператора с обыкновенными производными, так же был
рассмотрен метод спуска, которого удобно использовать для построения
фундаментальных решений.
линейный дифференциальный уравнение
фундаментальный
Список использованной литературы
. Владимиров
В.С. Уравнение математической физики.
изд.
4-е. − М.: Наука, 1981 г.
. Лошкарев
А.И. Облакова Т.В. Фундаментальное решение линейного дифференциального
оператора и задачи Коши − М.: Издательство МГТУ имени Н.Э.Баумана, 2007.
. Паламодов
В.П.Линейные дифференциальные операторы с постоянными коэффициентами− М.:
Наука, 1967 г .
4.