Метод Фурье решения смешанной краевой задачи для нелокального волнового уравнения
Cодержание
Введение
§1.
Метод Фурье решения смешанной краевой задачи для нелокального волнового
уравнения
§2.
Смешанная краевая задача. Априорная оценка
Литература
Введение
Актуальность. В настоящее время наблюдается
заметный рост внимания исследователей к дробному исчислению. В первую очередь
это обусловлено многочисленными эффективными приложениями дробного интегро
дифференцирования при описании широкого класса физических и химических
процессов, протекающих во фрактальных средах.
Основой большинства математических моделей,
описывающих указанные явления, являются дифференциальные уравнения дробного
порядка. Поэтому развитие аналитического аппарата теории уравнений с частными
производными дробного порядка является весьма актуальной и важной задачей.
В [14] предложена физическая интерпретация
дробной производной, не связанная с той или иной конкретной проблемой.
Обобщение уравнении переноса можно производной по разному.
В [7] Нахушевым А.М. было определено волновое
уравнение
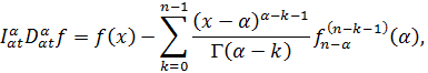
где
-
оператор дробного интегрирования (при
)
порядка и дробного дифференцирования (при
)
порядка
,
определяемый как в [8] формулой
где
-
целая часть числа
-гамма функция
Эйлера.
В качестве уравнения неразрывности для
фрактальной среды в [7] предложено уравнение
где
-
положительные величины,
зависит от
структуры и хаусдорфовской размерности фрактала.
Если поток
в
точке
среды
в момент времени
связан с концентрацией
по
закону Фика
При
получим
(0.1)
Методом разделения переменных
диффузионно-волновое уравнение исследовалось в работах Шханукова М.Х.[14],
Геккиевой С.Х.[1], Керефова М.А[3].
Также Кочубей А.Н. .[4]-[5], Эйдельман Д.
рассматривали в своих работах общее уравнение диффузии дробного порядка с
регуляризованной дробной производной, было построено фундаментальное решение,
найдено решение задачи Коши и показана его единственность в классе функций,
удовлетворяющих условию А.Н. Тихонова. Краевые задачи для дифференциальных
уравнений с частными производными дробного и континуального порядка были
исследованы в работах Псху А.В. [9]- [10].
Объект исследования: Смешанная краевая задача
для нелокального волнового уравнения с дробной производной.
Методы исследования: метод разделения
переменных; постановка и решение задачи Штурма-Лиувилля; единственность решения
смешанной краевой задачи реализуется методом априорных оценок.
Цель работы: Постановка и решение смешанной
краевой задачи для нелокального волнового уравнения с дробной производной.
§1. Метод Фурье решения смешанной краевой задачи
для нелокального волнового уравнения
краевая задача волновое уравнение
В области
рассмотрим
задачу:
где
,
удовлетворяющее начальным условиям:
и граничным условиям
Для решения этой задачи рассмотрим, как принято
в методе разделения переменных, сначала основную вспомогательную задачу:
Найти решение уравнения
не равное тождественно нулю, удовлетворяющее
однородным граничным условием (1.3) и представимое в виде
Подставляя предполагаемую форму решения (1.4) в
уравнение (1.1) после деления на
,
получаем:
Так как
Из соотношения (1.5) получаем дифференциальные
уравнения для определения
:
Граничные условия (1.3) дают:
Таким образом, для определения
мы получили
задачу о собственных значениях (задачу Штурма-Лиувилля): найти те значения
параметра
, при
которых существуют нетривиальные решения задачи:
(1.8)
а также найти эти решения.
Такие значения параметра
называются
собственными значениями, а соответствующие им нетривиальные решения -
собственными функциями задачи (1.8).
Сформулируем основные свойства
собственных функций и собственных значений задачи Штурма-Лиувилля, необходимые
для дальнейшего изложения:
) Cуществует счетное множество
вещественных собственных значений λ1 < λ2 < ...< λ
n..., каждому
из которых соответствуют единственные линейно-независимые нетривиальные решения
задачи - собственные функцииХ1(х), Х2(х),..., Хn(х),...
) Все собственные значения λn неотрицательны.
) Собственные функции Хm(х) и Хк(х)
при
ортогональны
между собой с весом
на [0;l]:
.
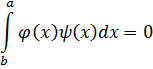
Напомним, что две функции φ(x) и ψ(x) называются
ортогональными на отрезке[a,b] (или в интервале (a,b)),если
При этом предполагается, что
Система функций {φn(x),n=0,1,2,
... }- ортогональна
на отрезке [a,b] (или в интервале (а,b)),если
Здесь тожe предполагается, что
Иными словами, система функций {φn(x), n =
0, 1, 2, ...} ортогональна
на отрезке [a, b], если все функции попарно ортогональны. Число
называется нормой функции φn(x). Если все
функции φn(x)
имеют
единичную норму и система ортогональна на [a,b], то такая система функций
называется ортонормированной.
) Теорема разложимости Стеклова.
Теорема: всякая функция F из МL
разлагается в равномерно и абсолютно сходящийся ряд по собственным функциям
задачи Штурма-Лиувилля {xn}:

.
Доказательство утверждений 1, 4 и 5
основывается на теории интегральных уравнений.
Теорема Стеклова говорит о том, что
всякая непрерывная функция f(x), удовлетворяющая однородным краевым условиям :
l1f = 0 и l2f = 0 , и имеющая непрерывные производные до второго порядка на
отрезке [а, l], разлагается на этом отрезке в сходящийся ряд Фурье по
собственным функциям Xn(х) задачи Штурма-Лиувилля {Lλ x = 0,
l1 x = 0, l2 x = 0} :
где коэффициенты Фурье Сn вычисляются по
формулам:
Рассмотрим отдельно случаи, когда
параметр
отрицателен,
равен нулю или положителен.
. При
задача не имеет нетривиальных
решений. Действительно, общее решение уравнения (1.6) имеет вид:
граничные условия дают:
В рассматриваемом случае
-
действительно и положительно, так что
.
Поэтому
. При
также не существует нетривиальных
решений. Действительно, в этом случае общее решение уравнения (1.6) имеет вид:
граничные условия дают
3. При
общее
решение уравнения может быть записано в виде:
Граничные условия
Если
не равно
0, то
поэтому
Следовательно, нетривиальные решения
задачи (1.8) возможны при значениях
, где к - любое целое число. Этим
собственным значениям соответствуют собственные функции:
произвольная постоянная.
Итак, только при значениях
равных
существуют
нетривиальные решения задачи (1.8)
,
определяемые с точностью до
произвольного множителя, который мы положили равным 1. Этим же значением
соответствуют
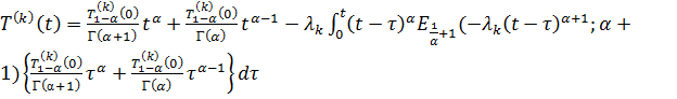
решения уравнения (1.7).
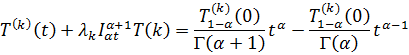
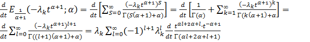
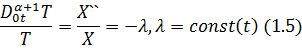
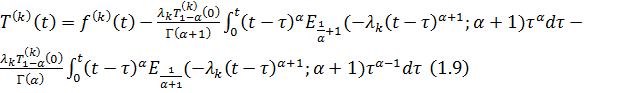
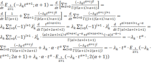
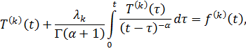
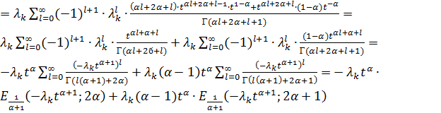
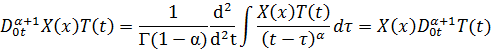
Теперь найдем решения уравнения
(1.7), соответствующие найденным
Подействуем на обе части (1.7)
оператором дробного интегрирования порядка
В результате получаем интегральное
уравнение Вольтерра 2-го рода.
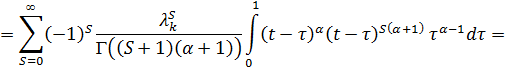
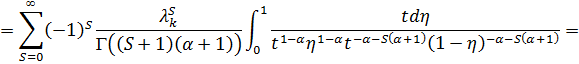
Так как [11]:
где
, то получаем
Далее воспользуемся следующей
теоремой из [2].
Теорема. Пусть функция f(x)
принадлежит классу
Тогда
интегральное уравнение
где
производный комплексный параметр,
имеет единственное решение
принадлежащее
классу
- функция
Миттага-Лефлера.
Пусть
тогда
Вычислим интегралы,
входящие
в
равенство
(1.9)
Так как
То
Введем новую переменную
тогда
Аналогично для
имеем:
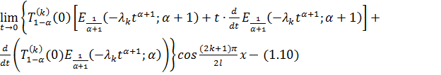
Окончательно (1.9) перепишется в виде:

, или
:
Таким образом, интегральное уравнение имеет
единственное решение, представимое в виде (1.10).
Возвращаясь к исходной задаче заключаем, что
функции
удовлетворяют уравнению (1.1), и являются
частными решениями уравнения (1.1).
Обратимся теперь к решению задачи (1.1)-(1.3) в
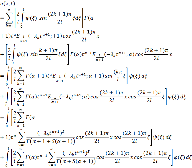
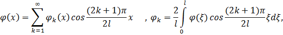
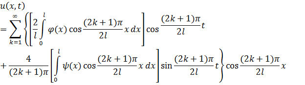
общем случае. Составим ряд
.
Функция
удовлетворяет
граничным условиям, так как им удовлетворяют все члены ряда.
Потребуем, чтобы наша функция удовлетворяла
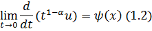
начальным данным:
Преобразуем сумму
Вычислим производную
Подставляя в начальное условие получим:
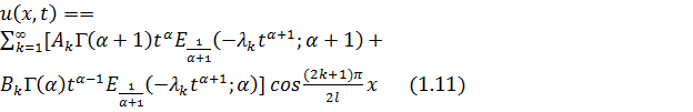
Таким образом, получаем:
т.е.
Требуя выполнения 2-го начального условия,
получим:
т.е.
Таким образом, для выполнения начальных условий
находим:
Где
-
коэффициенты Фурье функций
при разложении их
в ряд по косинусам на интервале (0,l):
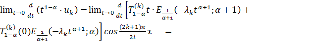
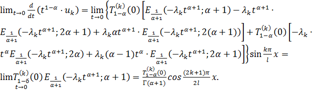
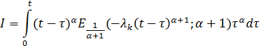
Покажем, что ряд
Сходится
Его можно почленно дифференцировать
и
ряды производных равномерно сходится
Удовлетворяют уравнению (1.1), граничным и
начальным условиям.
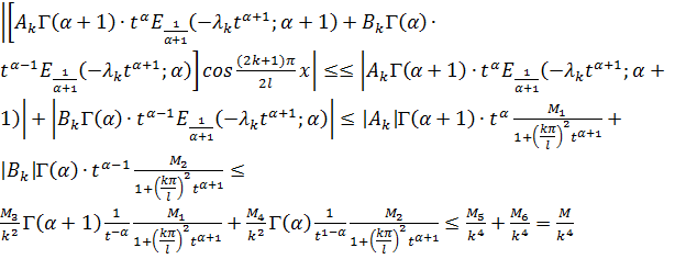
Для этого нам понадобится следующая лемма [2]
Пусть
-
вещественная постоянная и
фиксированное
число из интервала
. Тогда справедливы
следующие оценки:
Если
и
,
то
Если
и
,
то
где
-
постоянные, не зависимые от z.
А также теорема [12].
Пусть функции
имеют
в [0,l] непрерывную производную
, причем
- кусочно непрерывна, то
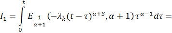
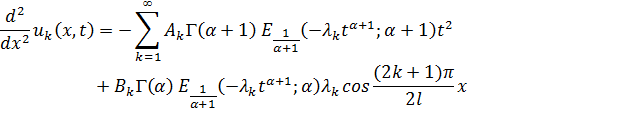
Оценим общий член ряда (1.11)
т.к. ряд
-
сходится, то исходный ряд сходится равномерно, в области t
,
где
-
любое положительное число.
) Ряды производных будут иметь вид:
Равномерная сходимость этих рядов доказывается
аналогично. Из чего следует возможность двукратного и дробного почленного
дифференцирования ряда (1.11) и применения обобщенного принципа суперпозиции,
т.е. функция
определяемая рядом
(1.11) удовлетворяет уравнению (1.1).
) Очевидно, что функция
,
определяемая рядом (1.11)
удовлетворяет уравнению (1.11).
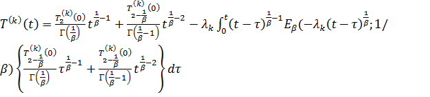
Подставим в (1.11) значения
Решение задачи при
имеет
вид:
То есть, при
получаем
решение задачи
Удовлетворяющие условиям:
§2. Смешанная краевая задача. Априорная оценка
В области
рассмотрим
задачу
(2.3)
где
Преобразуем слагаемые, входящие в
тождество (2.4) с учетом граничных условий (2.3).







Здесь мы воспользовались
неравенством Коши-Буняковского
- неравенством Юнга
Подставляя полученные соотношения в
тождество (2.4), получим
Проинтегрируем последнее неравенство
по
от 0 до t:
(2.5)
где
Введем обозначение:
,
, тогда
отсюда
.
Используя формулу для гамма-функции
для исходного интеграла получим

.
Поменяв порядок интегрирования,
будем иметь
.
Пользуясь формулой Лейбница,
получаем что
,
так как имеем сумму двух
неотрицательных слагаемых:
и
.
С учетом выше изложенного , из (2.5)
имеем:
Введем обозначение
Тогда наше неравенство примет вид
В дальнейшем нам потребуется
следующая лемма из [6]:
Лемма. Пусть неотрицательная
абсолютно непрерывная функция
удовлетворяет для почти всех t из
[0,T] неравенству
,
где
суммируемые на [0,T] неотрицательные
функции. Тогда
Применяя лемму, получаем:
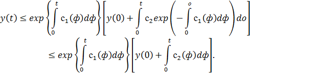
Откуда следует оценка
Из которой следует единственность
решения задачи (2.1)-(2.3).
Литература
Геккиева
С.Х. Краевые задачи для нагруженных параболических уравнений с дробной
производной по времени: Дис. … к.ф-м.н. - Нальчик, 2003. - 75.
Джабашян
М.М. Интегральные преобразования и представления функций в комплексной области.
М., 1996.
Керефов
М.А. Краевые задачи для модифицированного уравнения влагопереноса с дробной по
времени производной: Дис. … к.ф.-м.н. - Нальчик, 2000. -75.
Кочубей
А.Н. Диффузия дробного порядка // Диференциальные уравнения. 1990. Т. 26, №4.
С. 660-670.
Кочубей
А.Н. Задача Коши для эволюционного уравнения дробного порядка // Дифференциальные
уравнения. 1989. Т.25, №8. С. 1359-1368.
Ладыженская
О.А.
Краевые задачи математической физики. М.:
Наука,
1973.
407 с.
Нахушев
А.М. Уравнения математической биологии. - М.: Высшая школа, 1995. - 301 с.
Нахушев
А.М. Дробное исчисление и его применение. -М.: Физматлит, 2003. 272 с.
Псху
А.В. Краевая задача для дифференциального уравнения с частными производными
дробного порядка // Докл. Адыгский (Черкеской) Международной академии наук.
2000. Т. 5, №1. С. 45-53.
Псху
А.В. Краевые задачи для дифференциального уравнения с частными производными
дробного и континуального порядка. - Нальчик: издательство: КБНЦ РАН 2005г.-
186с.
Самко
С.Г., Килбас А.А., Маричев О.И. Интегралы и производные дробного порядка и
некоторые их приложения. - Минск: Наука и техника, 1987. - 688 с.
Смирнов
В.И.
Курс высшей математики, т.2,
М.:Наука,
1967,628
с.
Тихонов
А.Н., Самарский А.А. Уравнения математической физики
Шогенов
В.Х., Кумыкова С.К., Шхануков-Лафишев М.Х. Обобщенное уравнение переноса и
дробные производные // Докл. Адыгской (Черкесской) международной академии наук.
1996. Т. 2, №6. С. 43-45.