Исследование линейной системы автоматического управления (САУ)
МИНИСТЕРСТВО ОБРАЗОВАНИЯ И НАУКИ РФ
ФГБОУ ВПО «БГТУ»
Кафедра «Электронные,
радиоэлектронные и электротехнические системы»
ПОЯСНИТЕЛЬНАЯ ЗАПИСКА
к курсовой работе по дисциплине
«Теория автоматического управления»
БГТУ 140604.004 000 ПЗ
БРЯНСК 2013
Содержание
1. Расчет коэффициента усиления САУ
. Расчет и построение внешних статических характеристик
. Определение передаточной функции исходной САУ, расчёт
корней характеристического уравнения
. Расчет и построение частотных характеристик эквивалентной
разомкнутой САУ: АФЧХ, ЛАЧХ и ЛФЧХ
. Проверка на устойчивость исходной САУ по критерию Гурвица
. Моделирование переходных характеристик исходной САУ
. Синтез корректирующего устройства, обеспечивающего
настройку исходной системы на симметричный оптимум
8. Синтез регулятора упрощённой САУ, обеспечивающей настройку
исходной системы на симметричный оптимум
9. Моделирование переходных процессов в скорректированной САУ
. Моделирование переходных процессов в скорректированной
упрощённой САУ
Заключение
Список используемой литературы
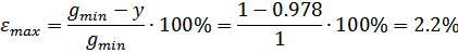
1. Расчет коэффициента усиления САУ
Расчет коэффициента усиления регулятора (K), обеспечивающего
статическую ошибку не более 2.2% при изменении задания (g)и
возмущения (z)в указанных диапазонах.
Расчет коэффициента усиления производится в статическом режиме, когда p=0.
Структурная схема САУ в статическом режиме представлена на рис.1.
Статическая ошибка:
Запишем уравнение для данной САУ на основе ее структурной схемы:
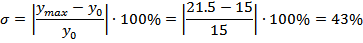
2. Расчет и построение внешних статических характеристик САУ
Имея
представление о статических характеристиках элементов и зная их взаимосвязь
внутри САУ, можно получить представление о САУ в целом. Внешняя статическая
характеристика САУ - это зависимость выходного сигнала 
от
контролируемых возмущений z.
Запишем
уравнение для данной САУ на основе ее структурной схемы:
При
gmin=1
При g=8
При gmax=15
Внешние статические характеристики САУ представлены на рис.2.
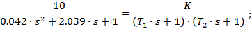
3. Определение передаточной функции исходной САУ, расчет
корней характеристического уравнения

Так
как обратная связь единична, то 
, значит
Знаменатель
передаточной функции - это характеристический полином системы:
Корни
этого полинома определяют вид и параметры переходной характеристики САУ. Решая
кубическое уравнение в среде Matlab, получаем корни:
Так
как вещественные части всех корней характеристического уравнения положительные,
то можно сделать вывод о том, что система неустойчива.
Кроме
того, вещественные части комплексно-сопряженных корней положительны, что
говорит о наличии расходящихся колебаний с частотой 
,
периодом 
,
коэффициентом расхождения 
и
декрементом расхождения 
.
Расчет и построение частотных характеристик эквивалентной разомкнутой САУ:
АФЧХ, ЛАЧХ, ЛФЧХ
Разомкнутая САУ (рис.3) - система, не способная контролировать состояние
объекта управления, т.е. это САУ без обратной связи. Передаточная функция
разомкнутой САУ выглядит следующим образом:
Комплексно-частотная функция имеет вид:
Введём подстановку:

;
;
;
Преобразуем
полученное выражение:
;
;
;
Получим
АФЧХ:
Уравнение
АЧХ:
Уравнение
ФЧХ:
Логарифмические
частотные характеристики определяют усилительные свойства системы (ЛАЧХ) и
сдвиг фазы выходной величины (ЛФЧХ) в логарифмическом масштабе.
ЛАЧХ
- модуль комплексной функции АФЧХ с учетом логарифмического масштаба, а ЛФЧХ -
аргумент комплексной функции.
Уравнение
ЛАЧХ:
Уравнение
ЛФЧХ:
Логарифмические
частотные характеристики определяют усилительные свойства системы (ЛАЧХ) и
сдвиг фазы выходной величины (ЛФЧХ) в логарифмическом масштабе.
ЛАЧХ
- модуль комплексной функции АФЧХ с учетом логарифмического масштаба, а ЛФЧХ -
аргумент комплексной функции
Построим
с помощью пакета MatLabлогарифмические амплитудную частотную
характеристику (ЛАЧХ), фазово-частотную характеристику (ЛФЧХ) и амплитудную
фазово-частотную характеристику (АФЧХ) для разомкнутой системы. Структурная
схема разомкнутой САУ в среде MatLab представлена на рис.4.
Результаты
построений представлены на рис.5, рис.6.
Частота
сопряжения:
рад/с; 
рад/с
Частота
среза: 
Запас
по фазе на частоте единичного усиления: 
Запас
по амплитуде: 
Проверим
на идентичность графиков с помощью программ MatLab и Mathcab,тем самым
проверим и правильность расчётов.
Вносим
в программу Mathcab нами полученные ранее уравнения:
· АФЧХ:
· ЛАЧХ:
· ЛФЧХ:
Получим графики:
Рис.7. График АФЧХ разомкнутой САУ в программе Mathcab
Рис.8. Графики ЛАЧХ, ЛФЧХ разомкнутой САУ в программе Mathcab
Можем заметить по графикам, что запасы по фазе и по амплитуде идентичны с
найденными значениями с помощью программы MatLab.
Запас
по фазе на частоте единичного усиления: 
Запас
по амплитуде: 
Графики
в Mathcab и MatLab сходятся, что подтверждает правильность
расчётов.
Далее
проверим ЛАЧХ, полученную в MatLab с помощью ручного расчёта. Рис.9.
Схема разомкнутой САУ в MatLab
Распишем
все звенья, которые присутствуют в разомкнутой схеме. Это пропорциональное
звено, форсирующее звено первого порядка, апериодическое звено первого порядка
и апериодическое звено второго порядка. Последнее звено, немного упростим:
Т.к.

то можно
данное звено заменить на 2 апериодических звена первого порядка.
Запишем
все звенья после некоторого преобразования.
Найдём
частоты сопряжения:

Рис. 10. Сравнение асимптотической и реальной ЛАЧХ
Из графика хорошо видно что асимптотический и реальный график практически
сливаются, что говорит о том что все расчёты верны. И анализ звеньев был
проведён правильно.
Так как частоты сопряжения находятся вблизи друг друга, проводим
моделирование отдельных частей системы для уточнения характера процесса:
Убираем
звено, срабатывающее на частоте 
Рис.11. ЛАЧХ 1
Убираем
звено, срабатывающее на частоте 
Рис.12.
ЛАЧХ 2
Убираем
звено, срабатывающее на частоте 
: Рис.13.
ЛАЧХ 3
Из
графиков хорошо видно, что характеры процессов схожи с графиком апроксимации,
что говорит о том что все расчёты верны. И анализ звеньев был проведён
правильно.
.
Проверка на устойчивость исходной САУ по критерию Гурвица
Из
пункта 3 получили характеристический полином:
Для
того, что бы составить определитель Гурвица надо по диагонали от левого
верхнего до правого нижнего элемента матрицы выписать все коэффициенты. Пустые
строки заполняем так, чтобы чередовались строки с нечетными и четными индексами
и, если коэффициент отсутствует, то на его месте пишем 0. Строим
определитель Гурвица:
По
определению САУ устойчива, если определитель Гурвица и все его диагональные
миноры положительны:
Отсюда
следует, что замкнутая САУ является неустойчивой.
Годограф
АФЧХ охватывает точку с координатами (-1;0) и движется по часовой стрелке,
поэтому по критерию Найквиста САУ неустойчива.
автоматический управление передаточный частотный
6.
Моделирование переходных характеристик исходной САУ
Структурная
схема для моделирования в MatLab представлена на рис.14.
Здесь
g не изменяется и равно своему минимальному значению 1,
возмущающее воздействие z тоже равно своему минимальному значению 0.
Результат
моделирования представлен на рис.15.
Рис.16.
Результат моделирования при 
Рис.15.1.
Увеличенный результат моделирования при 
САУ
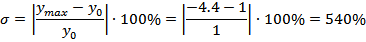
неустойчива, колебания происходят с нарастающей амплитудой.
Период
колебаний:
Частота
колебаний:
Коэффициент
расхождения:
Декремент
расхождения:
Как
видим, частота 
рад/c,
коэффициент расхождения 
,
логарифмический декремент расхождения 
приблизительно
равны с рассчитанными в п.3, этим мы доказываем правильность выполненных
расчётов.
7.
Синтез корректирующего устройства, обеспечивающего настройку исходной системы
на симметричный оптимум
Рис.17.
Структурная схема скорректированной САУ
Желаемая
передаточная функция разомкнутой системы, настроенной на симметричный оптимум,
имеет вид:
где

-наименьшая
постоянная времени нескорректированной системы
Передаточная
функция разомкнутой САУ имеет вид:
Определим
коэффициент демпфирования:

; 
За

принимаем
минимальное из постоянных времени интегрирования нескорректированной системы,
т.е. 
. Значит,
желаемая передаточная функция будет выглядеть следующим образом:
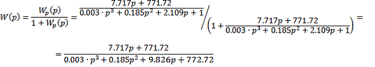
Обозначив
как 
передаточную
функцию корректирующего устройства (регулятора) и определив передаточную
функцию разомкнутой системы 
, 
можно
отыскать следующим образом:
Регулятор
включает в себя:
· Два пропорционально-интегрирующего звена:
· Инерционное дифференцирующее звено со статизмом:
. Синтез регулятора упрощённой САУ, обеспечивающей настройку
исходной системы на симметричный оптимум
Для упрощения передаточной функции САУ и понижения ее порядка
пренебрегаем малыми постоянными времени, не оказывающими существенного влияния
на частотные характеристики САУ:
так
как постоянные времени форсирующего звена первого порядка (0,01p+1)и
инерционного звена первого порядка 
малы, то
влиянием этих звеньев можно пренебречь:
За

принимаем
минимальное из постоянных времени интегрирования нескорректированной системы,
т.е. 
.Значит
желаемая передаточная функция будет выглядеть следующим образом:
Передаточная
функция упрощенного корректирующего устройства:
Упрощенный
регулятор включает в себя два пропорционально- интегрирующих звена:
9.
Модель корректирующего устройства, обеспечивающего настройку исходной системы
на симметричный оптимум
Рис.18.
Модель скорректированной САУ
.11)
Здесь g равно минимальному значению 1, возмущающее воздействие z
сначала равно своему минимальному значению 0. Результаты моделирования
представлены на рис.19.
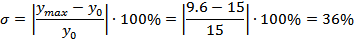
Время
переходного процесса: 
Колебательность:
N=1
Время
регулирования: 
Перерегулирование:
.12)
Здесь g равно максимальному значению 15, возмущающее воздействие z
сначала равно своему минимальному значению 0. Результаты моделирования
представлены на рис.20.
Время
переходного процесса: 
Колебательность:
N=1
Время
регулирования: 
Перерегулирование:
.13)
Здесь g равно максимальному значению 1, возмущающее воздействие z
сначала равно своему минимальному значению 0, а в момент времени t=2 c
скачкообразно изменяется до z=-8. Результаты моделирования представлены
на рис.21.
Время
переходного процесса: 
Колебательность:
N=2
Время
регулирования: 
Перерегулирование:
.14)
Здесь g равно максимальному значению 15, возмущающее воздействие z
сначала равно своему минимальному значению 0, а в момент времени t=2
скачкообразно изменяется до z=-8. Результаты моделирования представлены
на рис.22.
Время
переходного процесса: 
Колебательность:
N=2
Время
регулирования: 
Перерегулирование:
Рис.23.
ЛАЧХ и ЛФЧХ для разомкнутой САУ, скорректированной на симметричный оптимум
Частота
единичного усиления:
Частота
сопряжения:
Запас
по фазе: 
Запас
по амплитуде: 
10.
Модель регулятора упрощённой САУ, обеспечивающей настройку исходной системы на
симметричный оптимум
Рис.24.
Модель упрощённой скорректированной САУ
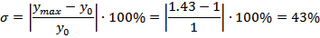
.21)
Здесь g равно минимальному значению 1, возмущающее воздействие z
сначала равно своему минимальному значению 0. Результаты моделирования
представлены на рис.25.
Время
переходного процесса: 
Колебательность:
N=1
Время
регулирования: 
Перерегулирование:
Рис.25.
Результат моделирования при
.22)
Здесь g равно максимальному значению 15, возмущающее воздействие z
сначала равно своему минимальному значению 0. Результаты моделирования
представлены на рис.26.
Время
переходного процесса: 
Колебательность:
N=1
Время
регулирования: 
Перерегулирование:
.23)
Здесь g равно максимальному значению 1, возмущающее воздействие z
сначала равно своему минимальному значению 0, а в момент времени t=4
скачкообразно изменяется до z=-8. Результаты моделирования представлены
на рис.27.
Время
переходного процесса: 
Колебательность:
N=2
Время
регулирования: 
Перерегулирование:
.24)
Здесь g равно максимальному значению 15, возмущающее воздействие z
сначала равно своему минимальному значению 0, а в момент времени t=4
скачкообразно изменяется до z=-8. Результаты моделирования представлены
на рис.28.
Время
переходного процесса: 
Колебательность:
N=1
Время
регулирования: 
Перерегулирование:

Рис.29.
ЛАЧХ и ЛФЧХ для разомкнутой упрощенной САУ, скорректированной на симметричный
оптимум
Частота
единичного усиления:
Запас
по фазе: 
Запас
по амплитуде 
Заключение
В
курсовой работе было произведено исследование линейной САУ. Был рассчитан
коэффициент усиления САУ, при котором суммарная статическая ошибка не превышала
заданную при максимально возможном возмущающем воздействии. Также были
построены статические характеристики замкнутой САУ и произведён анализ
устойчивости. Система оказалась неустойчивой, то есть после воздействия
постоянной величиной или снятия воздействия система не оставалась в равновесном
состоянии. Для настройки САУ на симметричный оптимум было разработано
корректирующее устройство, которое обеспечило оптимальные показатели качества.
По сравнению с некорректированной САУ новая система имеет меньшие значения
перерегулирования и колебательности. Также САУ имеет большой запас по фазе и
бесконечный запас по амплитуде.
Список используемой литературы
1. Теория автоматического управления: Учеб. для вузов / В.Н.
Брюханов, М.Г. Косов, С.П. Протопопов, Ю.М. Соломенцев; Под ред Ю.М.
Соломенцева. - М.: Высш. шк., 1999.
. Теория автоматического управления: Учеб.для вузов. - Ч. 1.
Теория линейных систем автоматического управления / Под ред. А.А. Воронова. -
2-е изд., перераб. и доп. - М.: Высш. шк., 1986.
. Иванов Е.А., Сильченкова В.В. Исследование качества и
синтез линейных систем автоматического управления: Учеб.пособие по курсу
«Теория автоматического управления». - М.: МИЭТ, 1982.