|
ω, c-1
|
φ(ω), град
|
lgω
|
|
0.2
|
-4,843
|
-0,699
|
|
0.4
|
-9,657
|
-0,398
|
|
0.6
|
-14,414
|
-0,222
|
|
1
|
-23,661
|
0
|
|
2
|
-44,553
|
0,301
|
|
3,098
|
-63,613
|
0,491
|
|
5
|
-90,376
|
|
7
|
-115,48
|
0,845
|
|
10
|
-152,172
|
1
|
|
11,1
|
-164,741
|
1,045
|
|
15
|
-196,3
|
1,176
|
|
20
|
-218,98
|
1,301
|
|
40
|
-247,312
|
1,602
|
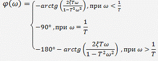
Характеристики приведены на рис.6.
Условия устойчивости Критерия Найквиста не
выполняются, следовательно, данная САУ не является устойчивой.
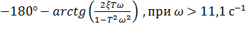
1.2 Определение ошибки заданной САУ
в установившемся режиме
Рис.7 Структурная схема заданной САУ,
построенная относительно ошибки
Необходимо найти передаточную функцию ошибки по
управлению:
а) Заданная САУ неустойчива по критерию Гурвица
т.к. определитель Гурвица и один из его главных диагональных миноров меньше
нуля.
Заданная САУ неустойчива по критерию Найквиста в
логарифмических координатах т.к.при изменении частоты от 0 до ∞ ЛФЧХ
пересекла линию 180° слева от частоты среза.
б)Статическая ошибка больше
допустимой 
, это не удовлетворяет заданному
условию.
в) Чтобы САУ была устойчивой и удовлетворяла
заданным требованиям, необходимо привести САУ к устойчивому состоянию и ввести
корректирующее устройство в систему.
2. Синтез системы автоматического
управления
Синтез - это выбор структуры и параметров
системы так, чтобы она удовлетворяла заранее поставленным требованиям, при этом
предъявляются как общеинженерные требования в отношении веса, габаритов,
надёжности, стоимости и т. д., так и специфические требования в отношении
динамических свойств системы.
При проектировании автоматических систем
приходиться решать такие задачи, как обеспечение устойчивости и качества
процесса регулирования, имеющие противоречивый характер. Удовлетворительное
решение первой задачи, соответствующее нужному запасу устойчивости, может
привести к неудовлетворительным характеристикам в переходном процессе или в
установившемся режиме. Возможен и противоположный случай, когда реализация
требуемых характеристик качества, например связанная с повышением точности в
установившемся типовом режиме, сопровождается чрезмерным понижением запаса
устойчивости. Противоречие между двумя задачами особенно наглядно проявляется,
если делается попытка решить их одним и тем же способом. Например, уменьшение
ошибок в установившемся режиме методом повышения коэффициента усиления в
разомкнутой системе, как правило, приводит к уменьшению запаса устойчивости.
Метод, используемый для повышения статической точности,- повышение порядка
астатизма - также неблагоприятно сказывается на устойчивости, уменьшая запас
устойчивости и увеличивая колебательность процесса.
Удовлетворительное решение задачи реализации,
как требуемого запаса устойчивости, так и качества процесса регулирования может
быть достигнуто при одновременном использовании упомянутых методов и изменении
структуры системы или включении корректирующих устройств в прямую цепь, либо
цепь внутренней обратной связи. Основное назначение корректирующего устройства
- изменение динамических свойств системы в направлении желаемых характеристик,
что проявляется в изменении усиления по отдельными гармоникам или только в той
области частот, которая оказывается существенной для формирования той или иной
динамической характеристики. Влияние корректирующего устройства на динамические
свойства системы проявляется также и в изменении фазовой характеристики.
Использование корректирующих устройств наряду с
изменением коэффициента усиления в разомкнутой цепи и изменением порядка
астатизма приводит в конечном итоге к деформации частотных характеристик, что и
определяет коррекцию динамических свойств системы.
Исходные данные:
Допустимая статическая ошибка не
более 
Допустимое время регулирования Трег=2,7
с.
Допустимое максимальное
перерегулирование не более 
2.1 Определение требуемого
коэффициента передачи синтезируемой САУ
Для статистических систем требуемый коэффициент
передачи, обеспечивающий дополнительную ошибку в установившемся режиме,
определяется так:
Ктр>Кисх (Кисх=16,2),
следовательно в контур САУ нужно включить дополнительный усилитель.
Рис.8 Структурная схема с дополнительным
усилителем
.2 Синтез корректирующих устройств
методом логарифмических частотных характеристик
Наиболее приемлемы для целей синтеза
логарифмические амплитудные характеристики, т.к. построение л.а.х., как правило,
может делаться почти без вычислительной работы. Особенно удобно использовать
асимптотические л.а.х.
Одним из наиболее распространенных способов
улучшения динамических свойств САУ является охват дополнительной, местной
обратной связью, одного или нескольких звеньев неизменяемой части системы.
Звенья, с помощью которых осуществляются эти связи, называются параллельными
корректирующими устройствами, параллельными корректирующими устройствами.
Параллельное корректирующее устройство изменяет динамические свойства тех
звеньев прямого канала системы, которые оно охватывает, и таким образом
обеспечивает необходимое изменение динамических свойств всей системы. Для
коррекции САУ применим параллельное корректирующее устройство, осуществляющее
гибкую обратную связь, т.к. гибкие обратные связи действуют только в переходном
режиме и не влияют на точность системы в установившемся режиме. Поэтому они
находят наибольшее применение для улучшения динамических свойств системы. Надо
отметить, что параллельные корректирующие устройства используются чаще, чем
последовательные, благодаря следующим преимуществам.
)Системы с параллельной коррекцией в меньшей
степени подвержены влиянию помех.
)Параллельное корректирующее устройство
значительно уменьшает влияние нестабильности параметров охваченных им элементов
на динамические свойства системы.
)Как правило, не требуют включения
дополнительных усилителей (при гибких обратных связях)
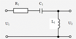
Включим корректирующее устройство следующим
образом:
Рис.9 Структурная схема САУ с КУ -
корректирующим устройством
Процесс синтеза обычно включает в себя следующие
операции:
1. Строится низкочастотная
область асимптотической нескорректированной ЛАЧХ системы в разомкнутом
состоянии. Построения проводятся с учетом 
.
. Строится асимптотическая
желаемая ЛАЧХ - LЖ(ω). Построения
будем вести позонно, начиная со среднечастотной зоны.
Для построения СЧЗ необходимо
определить частоту среза ωc желаемой
ЛАЧХ и ординаты начала и конца зоны.
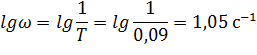
Определим ωc
Для этого воспользуемся нонограммами
В.В. Солодовникова [1, стр.229].
При заданном 
определяем 
. По 
и графику 
находится соотношение между
временем регулирования и частотой среза желаемой ЛАЧХ:
При заданном допустимом времени
регулирования (
) частоту среза найдем по формуле:

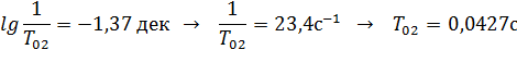
Определим ординаты начала и конца
среднечастотной зоны. Ординаты начала и конца СЧЗ ориентировочно берутся
равными требуемому запасу устойчивости по модулю 
с разными знаками. Требуемые запасы
устойчивости определяем по нонограмме В.В.Солодовникова [1 стр. 230].
Получаем при 
требуемый запас устойчивости 
, по фазе 
Среднечастотная асимптота 
проводится под наклоном -20 дБ/дек
через точку на оси абсцисс, имеющую частоту в логарифмическом масштабе 
. Начальную и конечную ординаты
принимаем равными 
.
.Строится асимптотическая ЛАЧХ
неохваченных звеньев - 
.
Передаточная функция неохваченных
звеньев имеет вид:
Кн.з.=3,2
lgКн.з.=20lg3,2=10,1 дБ
По этим параметрам строится LH0(ω).
4. Определяется ЛАЧХ
параллельного корректирующего устройства 
. Характеристику
в области частот от 
находим графическим вычитанием
ординат 
из ординат 
.
5. Определяется электрическая
схема, передаточная функция и соотношение параметров корректирующего
устройства.
По виду 
выберем корректирующее устройство.
Оно изображено на рис.10.
Рис.10 Электрическая схема
корректирующего устройства
Запишем передаточную функцию
корректирующего устройства [2,стр.657]:
И соотношение параметров
корректирующего устройства:
Определяем дополнительный
коэффициент корректирующего устройства:
Все ЛАЧХ изображены на рис. 11.
Т.к требуемый коэффициент передачи
больше исходного 
, в схему необходимо включить
дополнительный усилитель, также это позволит уменьшить статистическую ошибку.
Для коррекции исходной САУ необходимо включить параллельное корректирующее
устройство. Использование корректирующего устройства приводит к деформации
частотных характеристик, что и определяет требуемую коррекцию динамических
свойств системы.
3. Проверка результатов синтеза
.1 Определение запасов устойчивости
системы
Устойчивость - одно из главных требований,
предъявляемых к автоматическим системам.
В настоявшее время разработано большое
количество различных критериев качества. Воспользуемся одним из них.
Критерий, определяющий величину запаса
устойчивости. Он устанавливает, на сколько далеко от границы устойчивости
находится система. Почти всегда опасной для системы является колебательная
граница устойчивости. Это определяется тем, что стремление повысить коэффициент
передачи разомкнутой системы, как правило, приводит к приближению замкнутой САУ
именно к колебательной границе устойчивости и затем -
к возникновению незатухающих колебаний.
Иначе говоря, система должна обладать некоторым
запасом устойчивости, обеспечивающим ее работоспособность в различных условиях
эксплуатации. Кроме того, запас устойчивости обеспечивает работу системы со
значительно меньшей степенью колебательности процесса регулирования. Чем в
случае, при котором она работает на границе.
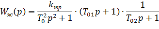
Построенная выше асимптотическая ЛАЧХ - Lж(ω)
включает следующие звенья: консервативное звено, апериодическое звено и
форсирующее звено 1-го порядка.
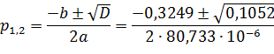
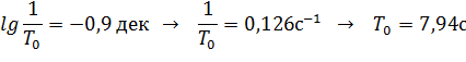
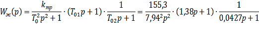
Передаточная функция имеет вид:
Значения Т0 , Т01 и Т02
определяем из графика.
KТР=155,3
Определим запас устойчивости по фазе и модулю.
Для этого построим ЛФЧХ.
Запишем выражения 
для каждого звена:
Итоговое выражение фазы для всей
системы выглядит следующим образом:
Расчет произведем в программе
MathCAD.
Подставив значения ω получим
следующие результаты:
Табл. 3 Логарифмическая
фазочастотная характеристика
|
ω, c-1
|
φ(ω), град
|
lgω
|
|
0,2
|
-165
|
-0,699
|
|
0,5
|
-147
|
-0,3
|
|
1
|
-128
|
0
|
|
2
|
-115
|
0,3
|
|
5
|
-110
|
0,7
|
|
10
|
-117
|
1
|
-125
|
1,18
|
|
30
|
-143
|
1,45
|
|
40
|
-162
|
1,6
|
|
50
|
-186
|
1,7
|
|
60
|
-208
|
1,8
|
ЛАЧХ и ЛФЧХ желаемые построены на рисунке 11.
Из графиков можно определить, что 
и 
Как видно, полученные результаты
удовлетворяют заданным требованиям устойчивости.
3.2 Оценка качества скорректированной
САУ аналитическим методом
Подставим найденное корректирующее
устройство в заданную систему, и смоделируем полученную схему в MATLAB. На рисунке
12 представлен переходной процесс системы.
Рис.12 Структурная схема
скорректированной САУ
Рис. 13 Переходная характеристика
скорректированной САУ
Из рисунка видно, что система
устойчивая, количество колебаний равно 1, время регулирования Трег=2,1с,
а максимальное перерегулирование
Основные качественные параметры:
) Процесс является колебательным.
Максимальное перерегулирование меньше 25%
)Уровень установившегося режима
равен 1.
)Время регулирования (момент входа
характеристики в пятипроцентную зону) Трег=2,1<Трег.доп=2,7,
следовательно, удовлетворяет условиям.
Динамические свойства системы и,
следовательно, качество процесса регулирования оценивают некоторыми
количественными критериями. Полученные в результате проверки синтеза основные
качественные оценки и необходимые запасы устойчивости отвечают заданным
требованиям. Синтез САУ был проведён, верно.