Исследование линейных стационарных систем автоматического управления
Содержание
Введение
.
Теоретическая часть
.1
Математическое описание систем управления
1.1.1
Формы записи дифференциальных уравнений
.1.2
Символическая форма записи дифференциальных уравнений
.1.3
Стандартная форма записи уравнения звена
.1.4
Преобразование Лапласа
1.2
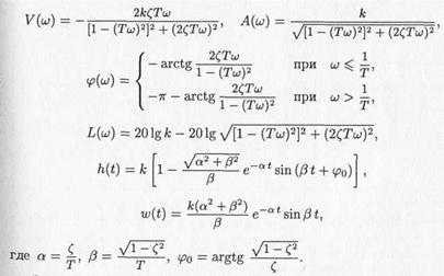
Передаточные и временные функции
1.2.1
Передаточные функции
.2.2
Временные функции
.2.3
Связь между передаточной функцией и временными функциями
1.3
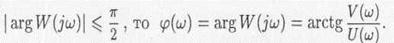
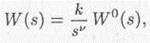
Частотные функции и характеристики
1.3.1
Физический смысл частотных характеристик
1.4
Различные типы звеньев и их характеристики
1.4.1
Типы элементарных звеньев
.4.2
Асимптотические логарифмические амплитудные частотные характеристики
.4.3
Построение логарифмических частотных характеристик
1.5
Устойчивость систем управления
1.5.1
Алгебраические критерии устойчивости
.5.2
Частотные критерии устойчивости
.5.3
Логарифмический частотный критерий устойчивости
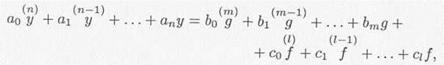
2.
Практическая часть
Заключение
Список
использованных источников
Приложение
А (обязательное)
Приложение
Б (обязательное)
Приложение
В (обязательное)
Приложение
Г (обязательное)
Приложение
Д (обязательное)
Приложение
Е (обязательное)
Введение
Данная курсовая работа посвящена исследованию
линейных стационарных систем автоматического управления и состоит из двух
частей: теоретической и практической.
Управление каким-либо объектом - это процесс
воздействия на него с целью обеспечения требуемого изменения его состояния.
Объект управления может принадлежать как к неживой природе, так к и живой
природе.
Управления, осуществляемые без участия человека,
называется автоматическим управлением. Курсовая работа является заключительным
этапом изучения дисциплины «ОТУ». Цель курсовой работы состоит на основе
полученных знаний по теории управления: исследовать линейные стационарные
системы согласно индивидуальному заданию.
В теоретической части рассматриваются формы
записи дифференциальных уравнений, такие как символическая, стандартная формы
записи и преобразование Лапласа. Так же приведены теоретические сведения о
передаточных, временных функциях и связь между ними; частотных
функциях и их характеристиках; различных типов звеньев и их характеристик;
устойчивости систем управления.
В практической части на основе теоретических
данных исследуется линейная стационарная система автоматического управления.
1 Теоретическая часть
.1 Математическое описание
систем управления
.1.1 Формы записи
дифференциальных уравнений
Большинство систем управления
описываются нелинейными дифференциальными уравнениями, которые можно
линеаризовать, т. е. заменить исходные нелинейные уравнения линейными. Процесс
преобразования нелинейных уравнений в линейные называют линеаризацией.
.1.2 Символическая форма записи
дифференциальных уравнений
При описании систем управления
удобно использовать символическую форму записи линейных дифференциальных
уравнений.
(1.1)
Вводится для операции дифференцирования по
времени обозначение р:
Здесь знак тождества обозначает
равенство по определению.
Используя введенное обозначение, уравнение (1.1)
можно записать в виде
(1.2 а)
Рассматривая оператор
дифференцирования р как сомножитель, а выражение ру как произведение, не
обладающее свойством коммутативности (ру
ур), уравнение (1.2а) можно
записать в виде
(1.2 б)
При этом вводятся следующие
обозначения:
R2(p)=с0.
Используя их, последнее
уравнение можно записать в виде
(1.2в)
Дифференциальный оператор при
выходной переменной называют собственным оператором, дифференциальный оператор
при входной переменной - оператором воздействия. В последнем уравнении
собственным оператором является Q(p),
а операторами воздействия R1
(p) и R2
(р).
.1.3 Стандартная форма записи
уравнения звена
При исследовании систем
управления удобно, если уравнение звена, описываемого дифференциальными
уравнениями не выше 2-го порядка, представлено в стандартной форме. При
стандартной форме записи члены уравнения, содержащие выходную величину и ее
производные, располагают в левой части, а все остальные члены - в правой;
коэффициент при выходной переменной делают равным единице. В правой части члены,
содержащие одну и ту же входную переменную и ее производные, объединяют в одну
группу и коэффициент при соответствующей входной переменной выносят за скобки.
Уравнение (1.1) в стандартной
форме принимает вид
Или
(1.3)
где
Здесь постоянные То, T1 и Т2
- постоянные времени, коэффициенты k1 и k2 -
передаточные коэффициенты и безразмерный коэффициент
(при 0 <
< 1) -
коэффициент демпфирования. Если исходное уравнение (1.1) не содержит у (а2
= 0), то в стандартной форме коэффициент при у должен быть равен единице: обе
части уравнения делят на а1.
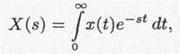
.1.4 Преобразование Лапласа
Преобразованием Лапласа называется
соотношение
(1.4)
ставящее функции x(t)
вещественного переменного в соответствие функцию X(s)
комплексного переменного s (s = а + j
). При этом x(t) называют
оригиналом, X(s) -
изображением или изображением по Лапласу и s -
переменной преобразования Лапласа.
Условно прямое и обратное
преобразования Лапласа записываются соответственно в виде
где L
- оператор Лапласа, L-1
- обратный оператор Лапласа.
В таблице 1.1 приведены изображения
Лапласа для часто используемых функций.
Таблица
1.1
Изображения Лапласа
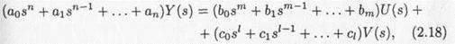
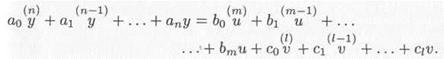
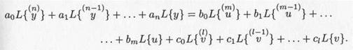
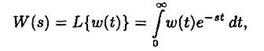
.2 Передаточные и временные функции
Система или звено с одним
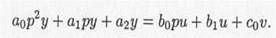
выходом и двумя входами в общем случае описывается уравнением
(1.8)
В символической форме это
уравнение принимает вид
(1.9 а)
или
(1.9 б)
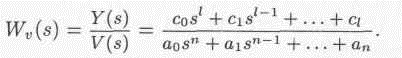
где
Наряду с дифференциальными уравнениями при
описании линейных систем широко используются передаточные и временные функции.
1.2.1 Передаточные функции
Передаточной функцией в
операторной форме называется отношение оператора воздействия к собственному
оператору.
Степень полинома знаменателя
называется порядком, а разность между степенями знаменателя и числителя -
относительным порядком передаточной функции и соответствующей системы.
В случае системы управления,
которая описывается уравнением (1.8) или (1.9), собственным оператором является
Q(p),
а операторами воздействия - оператор воздействия P1(p)
по входу и и оператор воздействия Р2(р) по входу v.
Поэтому в этом случае система
определяется двумя передаточными функциями - передаточной функцией
(1.10а)
относительно входа и и
передаточной функцией
(1.10б)
относительно входа v.
Порядок этих передаточных функций равен п, а относительный порядок равен п - т
для передаточной функции Wu
(p) и п - l
для передаточной функции Wv
(p).
Передаточная функция в
операторной форме является оператором. Ее нельзя рассматривать как обычную
дробь. В частности, нельзя числитель и знаменатель сокращать на общий
множитель, содержащий оператор дифференцирования.
Передаточной функцией системы
(звена) в изображениях Лапласа называется имеющее наименьший порядок отношение
изображений ее выходной и входной переменных при нулевых начальных условиях.
Если система (звено) имеет несколько входов, то при определении передаточной
функции относительно какой-либо одной входной переменной остальные входные
переменные берутся равными нулю.
Находятся передаточные функции
(в изображениях Лапласа) для системы, которая описывается уравнением (1.8).
Применяется к обеим частям этого уравнения преобразование Лапласа. Тогда,
используя свойство линейности преобразования Лапласа, получается
Последнее уравнение, учитывая
свойство 2° преобразования Лапласа (дифференцирование оригинала при нулевых
начальных условиях), можно записать в виде
(1.11)
где
Отсюда, положив V(s)
= 0, находится передаточная функция относительно входа u(t):
Аналогично, положив U(s)
= 0 , находится передаточная функция относительно входа v(t):
Уравнение в изображениях
Лапласа (1.11) получается из дифференциального уравнения (1.9а), т.е.
дифференциального уравнения, записанного в символической форме, при подстановке
р = s и замене
переменных их изображениями. Поэтому передаточная функция W(s)
произвольной стационарной линейной системы связана с ее передаточной функцией
(в операторной форме) соотношением
(1.12)
Обратное соотношение
(1.13)
справедливо, если передаточная
функция W(p)
не имеет одинаковых нулей и полюсов.
.2.2 Временные функции
При описании и исследовании
линейных систем используются переходные и импульсные переходные функции и их
графики - временные характеристики.
Для линейных систем справедлив
принцип суперпозиции, который можно сформулировать следующим образом: реакция
системы на несколько одновременно действующих воздействий равна сумме реакций
на каждое воздействие в отдельности.
Переходной функцией системы
(звена) называется функция, описывающая реакцию системы на единичное
ступенчатое воздействие при нулевых начальных условиях.
Переходная функция обозначается
h(t).
График переходной функции - кривая зависимости h(t)
от времени t - называется
переходной или разгонной характеристикой.
Импульсной переходной или
весовой функцией (функцией веса) называется функция, описывающая реакцию
системы (звена) на единичное импульсное воздействие при нулевых начальных
условиях.
Физически единичный импульс можно
представить как очень узкий импульс, ограничивающий единичную площадь.
Математически он описывается дельта-функцией
(t).
Весовая функция обозначается
(t). График
импульсной переходной функции - кривая зависимости функций
(t) от времени
t -
называется импульсной переходной характеристикой.
Переходная и импульсная переходные
функции называются временными функциями, а их графики - временными
характеристиками.
.2.3 Связь между передаточной
функцией и временными функциями
Между передаточной функцией в
изображениях Лапласа, переходной функцией и весовой функцией существует
взаимно-однозначное соответствие.
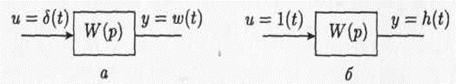
Рисунок 1.1 - Определение
временных функций: а - весовой функции; б- переходной функции
Для установления этого
соответствия рассматривается звено (рис. 1.1), которое описывается уравнением
В изображениях Лапласа это
уравнение принимает вид
(1.14)
где
Из определения весовой функции
следует, что у =
(t) при и =
(t) (Рисунок
1.1, а). И так как при этом Y(s) = L{
(t)} и U(s) = L{
(t)} = 1, то
из уравнения (1.14) получается
(1.15)
т.е. передаточная функция в
изображениях Лапласа равна изображению Лапласа весовой функции.
Из определения переходной
функции следует, что у = h(t)
при и = 1(t) (Рисунок 1.1, б).
И так как при этом U(s)
= L{1(t)}
= 1/s и Y(s)
= L{h(t)},
то из уравнения (1.14) получается
или
Если в последнем уравнении
произвести обратное преобразование Лапласа, то в силу (1.15) в левой части
получается
(t),
а в правой части в силу свойства преобразования Лапласа, связанного с
дифференцированием оригинала, - производная от h(t):
(1.16)
Если известна одна из функций W(s),
(t) и h(t), то две
другие могут быть определены с помощью формул (1.15), (1.16).
.3 Частотные функции и
характеристики
Важную роль при исследовании
линейных стационарных систем играют частотные характеристики. Они представляют
собой еще один способ описания систем.
В общем случае уравнение линейной
системы с одним входом можно записать в виде
(1.17)
Ее передаточная функция
(1.18)
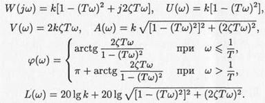
Функция W(j
), которая
получается из передаточной функции в изображениях Лапласа при подстановке s = j
:
называется частотной
передаточной функцией. Она является комплексно-значной функцией от
действительной переменной
, называемой
частотой.
Частотную передаточную функцию
можно представить в виде
(1.19)
где
Если
На комплексной плоскости частотная
передаточная функция W(j
) определяет
вектор ОС (Рисунок 1.2), длина которого равна А(
), а аргумент равен углу
(
),
образованному этим вектором с положительной действительной полуосью.
Годограф этого вектора, т.е. кривая,
описываемая концом вектора W(j
) при
изменении частоты от 0 до
или от -
до
, называется
амплитудно-фазовой частотной характеристикой (АФЧХ). АФЧХ, получаемую при
изменении частоты от -
до
, также
называется диаграммой Найквиста.
Рисунок 1.2 - Годограф вектора W(j
)
Модуль А(
) =|W(j
)|
называется амплитудной частотной функцией, ее график - амплитудной частотной
характеристикой.
Аргумент
(
)= аrgW(j
) называется
фазовой частотной функцией, а его график (при изменении
от 0 до
) - фазовой
частотной характеристикой.
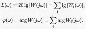
Функция L(
) =
20lgA(
) = 201g|W(j
)| называется
логарифмической амплитудной (частотной) функцией, а график зависимости функции L(
) от
логарифма частоты lg
называется логарифмической
амплитудной частотной характеристикой (ЛАЧХ).
При построении ЛАЧХ по оси абсцисс
откладывается значение частоты в логарифмическом масштабе, при этом на отметке,
соответствующей значению lg
, записывается значение
; по оси
ординат откладывается и записывается значение L(
) = 20lg A(
).
Логарифмической фазовой частотной
характеристикой (ЛФЧХ) называется график зависимости функции
(
) от логарифма
частоты lg
. При ее
построении по оси абсцисс, как и при построении ЛАЧХ, на отметке,
соответствующей значению lg
, записывается значение
.
В ЛЧХ единицей L(
) является
децибел, а единицей lg
- декада. Декадой называется
интервал, на котором частота изменяется в 10 раз. При изменении частоты в 10
раз говорят, что частота изменилась на одну декаду.
.3.1 Физический смысл частотных
характеристик
При гармоническом входном
воздействии в устойчивых системах после окончания переходного процесса выходная
переменная также изменяется по гармоническому закону с той же частотой, но с
другими амплитудой и фазой; амплитуда равна амплитуде входного сигнала,
умноженной на модуль частотной передаточной функции, а сдвиг фазы равен ее
аргументу. Иными словами, амплитудная частотная функция показывает изменение
отношения амплитуд выходного и входного сигналов, а фазовая частотная функция -
сдвиг фазы между ними в зависимости от частоты.
Таким образом, если система
(1.20)
устойчива, то при входном
воздействии
после окончания переходного
процесса выходной сигнал имеет вид
Здесь uт -
постоянная амплитуда входного сигнала;
- начальный сдвиг фазы; W(j
) -
частотная передаточная функция рассматриваемой системы;
(
) = argW(j
). Покажем
справедливость приведенной формулы, положив для простоты записи
=0.
Общее решение уравнения (1.20) имеет
вид
у = уc(t)+уB(t),
где уc(t) - общее
решение однородного уравнения, уB(t) - частное
решение неоднородного уравнения (1.20). Общее решение yc(t) описывает
свободное движение, т. е. движение, определяемое начальным условием. В
устойчивых системах оно со временем стремится к нулю:
yc(t) -> 0
при t ->
.
Частное решение yB(t) описывает
вынужденное (установившееся) движение, определяемое внешним воздействием. Чтобы
найти частное решение при u = uтcos
t, используя
равенство cos
t = (
+
)/2,
представим входное воздействие в виде u = u1 (t) + u2 (t), где
На основе принципа суперпозиции
частное решение рассматриваемого уравнения можно представить в виде суммы
где y1
(t) - частное решение
уравнения (1.1) при u = u1
(t) и y2(t)
- частное решение того же уравнения при u
= u2(t).
.4 Различные типы звеньев и их
характеристики
Так как произвольный полином
можно разложить на простые множители, то передаточную функцию системы (звена)
всегда можно представить в виде
произведения простых множителей и дробей вида
(1.21)
k называется
передаточным коэффициентом, Т - постоянной времени и
(0 <
< 1) -
коэффициентом демпфирования.
Звенья, передаточные функции которых
имеют вид простых множителей или дробей, называют элементарными звеньями.
Системы и звенья, и их передаточные
функции делятся на минимально-фазовые и не минимально-фазовые.
Передаточная функция W(s) = P(s)/Q(s) называется
минимально-фазовой, если все ее нули (корни уравнения) P(s) = 0 и
полюсы (корни уравнения Q(s) = 0)
располагаются в левой полуплоскости, и называется не минимально-фазовой, если
хотя бы один нуль или полюс располагается в правой полуплоскости.
Система и звено называются
минимально-фазовыми, если их передаточные функции являются минимально-фазовыми,
и называются не минимально-фазовыми, если их передаточные функции являются не
минимально-фазовыми.
Передаточные функции и системы
(звенья), не являющиеся ни минимально-фазовыми, ни не минимально-фазовыми,
называются маргинальными.
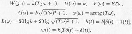
.4.1 Типы элементарных звеньев
. Пропорциональное звено. Так
называется звено с передаточной функцией W(s) = k. Его
частотные и временные функции имеют следующий вид:
. Дифференцирующее звено. Так
называется звено с передаточной функцией W(s)
= ks. Его частотные и
временные функции имеют следующий вид:
. Интегрирующее звено. Так
называют звено с передаточной функцией W(s)
= к/s. Его частотные и
временные функции имеют следующий вид:
. Форсирующее звено 1-го
порядка. Так называется звено с передаточной функцией W(s)=k(Ts
+ 1). Его частотные и временные функции имеют следующий вид:
. Апериодическое звено. Так
называется звено с передаточной функцией W(s)
= k/(Ts
+ 1). Его частотные и временные функции имеют следующий вид:
В рассмотренных выше элементарных
звеньях фазовая частотная функция по модулю не превышает
/2. Поэтому
она определяется как arctgV(
)/U(
). Кроме
того, в случае интегрирующего и апериодического звеньев амплитудную и фазовую
функции можно определить по правилу вычисления модуля и аргумента дроби.
. Форсирующее звено 2-го порядка.
Так называется звено с передаточной функцией W(s) = k(T2s2 + 2
Ts + 1) (0
<
< 1).
Его частотные функции имеют следующий вид:
. Колебательное звено. Так
называется звено с передаточной функцией
К
такому виду приводится передаточная функция
если
ее полюсы являются комплексно сопряженными числами с отрицательной вещественной
частью.
Частотные и временные функции
колебательного звена имеют следующий вид:

Здесь фазовую частотную функцию
можно получить, используя правило вычисления аргумента дроби и основываясь на
фазовой функции форсирующего звена 2-го порядка.
.4.2 Асимптотические
логарифмические амплитудные частотные характеристики
Логарифмические амплитудные
частотные характеристики (ЛАЧХ) пропорционального, дифференцирующего и
интегрирующего звеньев являются прямыми, и их легко построить. Построение ЛАЧХ
других элементарных звеньев требует трудоемких вычислений. Поэтому на практике
часто ограничиваются построением приближенных асимптотических ЛАЧХ.
При построении асимптотической ЛАЧХ
апериодического звена в выражении
при 
1/Т под корнем пренебрегают
слагаемым (T
)2,
меньшим единицы, а при
> 1/Т -
единицей. Поэтому уравнение асимптотической ЛАЧХ имеет вид
При построении асимптотической
ЛАЧХ колебательного звена в выражении
при
1/Т под корнем оставляют только
единицу, а при
> 1/Т -
только наибольшее слагаемое (Т
)4. Поэтому уравнение
асимптотической ЛАЧХ имеет вид
1.4.3 Построение
логарифмических частотных характеристик
Для построения логарифмической
амплитудной (ЛАЧХ) и фазовой (ЛФЧХ) частотной характеристик звена с
произвольной дробно-рациональной передаточной функцией W(s)
нужно ее числитель и знаменатель разложить на элементарные множители и
представить W(s)
в виде произведения передаточных функций элементарных звеньев:
(1.22)
или в виде
(1.23)
где W°(s)
представляет собой отношение произведений элементарных множителей 1-го и 2-го
порядков с единичным передаточным коэффициентом, т. е. множителей вида Ts
± 1 и as2±bs+1
(b2
- 4а < 0).
Из (1.22) получается
(1.24а, 1.24б)
Из (1.24а) следует, что для
построения ЛАЧХ произвольного звена достаточно построить ЛАЧХ элементарных
звеньев, на которые оно разлагается, а затем их геометрически сложить.
1.5 Устойчивость систем управления
Устойчивость является одним из
основных требований к системам автоматического управления (САУ), поэтому важно
уметь определять (исследовать) и соответствующим выбором структуры и параметров
системы управления обеспечивать ее устойчивость.
.5.1 Алгебраические критерии
устойчивости
Алгебраическими критериями
устойчивости называются такие условия, составленные из коэффициентов
характеристического уравнения, при выполнении которых система устойчива, а при
невыполнении - неустойчива.
Для того чтобы исследовать
устойчивость с помощью алгебраических критериев, необходимо иметь
характеристический полином.
Характеристическое уравнение
системы управления, которая описывается уравнением
или, в символической форме,
совпадает с характеристическим
уравнением дифференциальных уравнений при g
= 0 и f = 0 однородное
дифференциальное уравнение
и имеет вид
Левая часть этого уравнения
называется
характеристическим полиномом. Характеристический полином получается из
собственного оператора системы
при подстановке
При исследовании замкнутой
системы нет необходимости находить ее передаточную функцию, если известна
передаточная функция W(p)
= R(p)/S(p)
разомкнутой системы. Ее собственный оператор Q(p)
равен сумме полиномов числителя и знаменателя передаточной функции разомкнутой
системы:
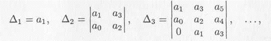
. Критерий Гурвица
Из коэффициентов
характеристического полинома
составляется определитель n-го
порядка
который строится следующим
образом. На главной диагонали выписываются элементы а1,а2,…
,ап. Затем при движении от этих элементов вверх размещаются
коэффициенты в порядке возрастания индексов, при движении вниз - в порядке
убывания. Например, при построении i-го
столбца, двигаясь от элемента а1 вверх, записывают коэффициенты ai+1,
ai+2,...,
двигаясь вниз, записывают коэффициенты, ai-1,
ai-2,....
При этом, если индекс превышает п или принимает отрицательное значение,
соответствующий коэффициент принимают равным нулю.
Главные миноры определителя
п
включая сам определитель
п, называют
определителями Гурвица.
Критерий Гурвица. Для того чтобы
система была устойчива, необходимо и достаточно, чтобы определитель Гурвица,
составленные из коэффициентов ее характеристического уравнения, при а0
> 0 были больше нуля:
. Критерий Льенара-Шипара
Если необходимое условие устойчивости
выполняется, то оказывается, что для определения устойчивости, нет
необходимости вычислять все определители Гурвица.
Критерий Льенара-Шипара. При
выполнении необходимого условия устойчивости (а0 > 0, а1
> 0, ... ..., ап > 0) для устойчивости системы управления
необходимо и достаточно, чтобы все ее определители Гурвица с четными индексами
или все ее определители Гурвица с нечетными индексами были положительными:
(1, а)
или
(1,б)
Необходимые и достаточные
условия устойчивости для п = 1,2,3. Из критерия Льенара и Шипара получается:
Отсюда следует, что при п=1 и
п=2 необходимое условие устойчивости является и достаточным. Однако уже при п=3
для устойчивости, кроме выполнения необходимого условия устойчивости, нужно,
чтобы была положительной разность между произведениями средних и крайних
коэффициентов.
3. Критерий Рауса
Для формулировки этого критерия составляется так
называемая таблица Рауса. По числу перемен знаков элементов первого столбца
этой таблицы определяется количество левых и правых корней рассматриваемого
полинома.
Таблица 1.1
Таблица Рауса
Здесь rк
равен отношению элементов предыдущих двух (т. е. (k
- 2)-й и (k - 1)-й) строк
первого столбца. Элемент ckl
равен разности элементов предыдущих двух (т.е. (к - 2)-й и (к - 1)-й) строк
следующего, (l + 1)-го столбца.
При этом последний элемент (т.е. вычитаемое) умножается на rk.
Критерий Рауса. Для того чтобы
система была устойчива, необходимо и достаточно, чтобы все элементы первого
столбца таблицы Рауса при a0 > 0 были положительны: ск1>0,
к = 1,2,...,п + 1.
Таблица Рауса содержит п + 1
строку. Число столбцов по мере роста номера строки убывает. Элементы второго и
последующих столбцов следует вычислять по мере надобности при вычислении
элементов первого столбца. При этом вычисление можно прекратить, как только какой-либо
элемент первого столбца принимает нулевое или отрицательное значение.
.5.2 Частотные критерии
устойчивости
Частотными критериями
устойчивости называются условия устойчивости, основанные на построении
частотных характеристик и так называемой кривой Михайлова.
Выражение
которое получается при подстановке
=j
в
характеристический полином, называется характеристическим вектором; переменная
называется
частотой.
Годограф характеристического
вектора, т. е. кривую, которую описывает характеристический вектор при
изменении частоты от 0 до
, называют
кривой Михайлова.
Из принципа аргумента следует, что
если все нули характеристического полинома левые, то приращение аргумента
характеристического вектора есть
argQ(j
) = п
/2. Отсюда
вытекает следующий критерий устойчивости.
Критерий Михайлова. Для того чтобы
система была устойчива, необходимо и достаточно, чтобы при а0 > 0
ее кривая Михайлова, начинаясь с положительной вещественной полуоси,
последовательно обходила п квадрантов в положительном направлении (против
часовой стрелки).
Кривые Михайлова устойчивых систем
не пересекают начало координат и уходят в бесконечность в n-м квадранте
(Рисунок 1.4).
Рисунок 1.4 - Кривые
Михайлова устойчивых систем
Критерий Найквиста. Для того чтобы
замкнутая система с отрицательной обратной связью была устойчива, необходимо и
достаточно, чтобы амплитудно-фазовая частотная характеристика (АФЧХ)
разомкнутой системы охватывала точку (-1,j0) в
положительном направлении l/2 раз, где l - число
правых корней характеристического уравнения разомкнутой системы.
Здесь предполагается, что у
характеристического уравнения разомкнутой системы l корней являются
правыми, а остальные п - l корней - левыми. Случай, когда
имеются нейтральные корни, рассматривается отдельно.
Когда разомкнутая система устойчива,
l=0, и
критерий Найквиста формулируется следующим образом.
Если разомкнутая система устойчива, то для
устойчивости замкнутой системы с отрицательной обратной связью необходимо и
достаточно, чтобы АФЧХ разомкнутой системы не охватывала точку ( -1,j0).
Случай наличия нулевых корней.
Если характеристическое
уравнение разомкнутой системы имеет нулевые корни, т. е. ее передаточная
функция может быть представлена в виде
то АФЧХ при
à0 уходит в
бесконечность. В этом случае АФЧХ дополняются дугой (-
)(
/2)
окружности бесконечно большого радиуса (на рисунке 1.5 пунктирные
линии). И для устойчивости замкнутой системы дополненная АФЧХ должна l/2 раз
охватывать или при l = 0 (разомкнутая система устойчива)
не охватывать точку (-1, j0).
Рисунок 1.5
- АФЧХ при нулевых полюсах
.5.3 Логарифмический частотный
критерий устойчивости
В сложных случаях и для
получения логарифмического частотного критерия устойчивости удобно
воспользоваться другой формулировкой критерия Найквиста, которую мы сейчас и
рассмотрим.
Если АФЧХ охватывает точку (-l,j0), то она
пересекает отрезок (-
, -1)
вещественной оси. Точку пересечения АФЧХ с указанным отрезком называют
положительным переходом, если пересечение происходит при возрастании частоты
сверху вниз (т. е. в положительном направлении), и отрицательным переходом,
если пересечение происходит снизу вверх (Рисунок 4 а). Если АФЧХ начинается или
кончается на отрезке (-
, -1), то
говорят о 1/2-переходе (Рисунок 1.6 а).
Критерий Найквиста. Для того чтобы
замкнутая система управления была устойчива, необходимо и достаточно, чтобы
разность между положительными и отрицательными переходами была равна l/2 (l - число
правых корней характеристического уравнения разомкнутой системы).
При пересечении АФЧХ отрезка (-
, -1)
(рисунок 1.6 б)
амплитудная частотная функция А(
) > 1 и соответственно L(
) > 0,
фазовая частотная функция
(
) = ±(2k+1)
(к = 0,1, 2
...). Поэтому на логарифмических частотных характеристиках (ЛЧХ) положительным
переходам соответствуют точки пересечения логарифмической фазовой частотной
характеристики (ЛФЧХ) прямой
(
) = ±(2k + 1) ( k= 0,1,2...)
снизу вверх (в сторону возрастания
(
), отрицательным переходам - сверху
вниз при частотах, когда L(
) > 0 (рисунок 1.6 б). Поэтому
на основании критерия Найквиста получаем следующий критерий устойчивости.
Логарифмический частотный критерий
устойчивости. Для того чтобы замкнутая система была устойчива, необходимо и
достаточно, чтобы разность между положительными и отрицательными переходами
ЛФЧХ прямой
(
)= ±(2k + 1)
(k = 0,1, 2
...) при частотах, когда L(
) > 0 (логарифмическая
амплитудная частотная характеристика положительна), была равна l/2 (l - число
правых корней характеристического уравнения разомкнутой системы).
Рисунок 1.6
- Положительные и отрицательные переходы: а - АФЧХ; б - ЛАЧХ и ЛФЧХ
математический частотный
автоматический управление
2. Практическая часть
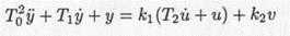
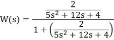
Дифференциальное уравнение объекта управления:
Дифференциальное уравнение регулятора:
а) Составить передаточные функции объекта
управления и регулятора в форме:
операторной, указать соответствующие операторы,
изображениях Лапласа.
Решение
Рассматривается дифференциальное уравнение
объекта управления
В символической форме это уравнение записывается
в виде:
Её передаточная функция в операторной форме
имеет вид:
Передаточная функция в изображении Лапласа имеет
вид:
Рассматривается дифференциальное уравнение
регулятора:
В символической форме это уравнение записывается
в виде:
Её передаточная функция в операторной форме
имеет вид:
Передаточная функция в изображении Лапласа имеет
вид:
б) Найти передаточные функции системы
управления, представленной на рисунке 1:
разомкнутой системы,
- замкнутой системы:
частотной передаточной функции,
амплитудной частотной функции,
фазовой частотной функции,
логарифмической амплитудной
частотной функции
Построить
Решение
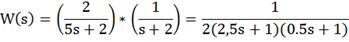
Передаточная функция разомкнутой
системы имеет вид:
Передаточная функция замкнутой
системы имеет вид:
Частотная передаточная функция
разомкнутой цепи имеет вид:
=
Частотная передаточная функция
замкнутой цепи имеет вид:
=
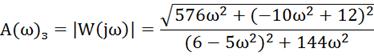
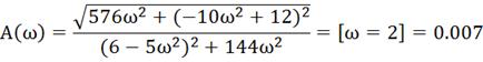
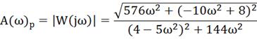
Амплитудно частотная функция
разомкнутой цепи имеет вид:
Амплитудно частотная функция
замкнутой цепи имеет вид:
Фазовая частотная функция
разомкнутой цепи имеет вид:
=
(
)
Фазовая частотная функция замкнутой
цепи имеет вид:
(
)
Логарифмическая амплитудная
частотная функция разомкнутой цепи имеет вид:
Передаточная функция логарифмической
амплитудной частотной функции замкнутой цепи имеет вид:
Построение графиков:
|
|
0
|
0.89
|
|
|
|
0.5
|
0
|
-0
|
|
|
0
|
-0.19
|
-0
|
График
представлен
на рисунке 1.
График
,
выполненный на ПП Matlab
представлен в Приложении А.
Рисунок 1 - График W(j
)
|
|
|
|
0
|
0,333333
|
|
1
|
0,166091
|
|
2
|
0,071982
|
|
3
|
0,037682
|
|
4
|
0,022675
|
|
5
|
0,015007
|
|
6
|
0,010621
|
|
7
|
0,007895
|
|
8
|
0,006091
|
|
9
|
0,004838
|
|
10
|
0,003934
|
|
График
представлен
на рисунке 2.
График
,
выполненный на MS
Excel представлен в
Приложении Б.
20 lg(
)=
- 0.3 * 20= - 6;
,
=>
Рисунок 2 - График
График
представлен
на Рисунке 3.
График
выполненный
на ПП Matlab представлен
в Приложении Б.
Рисунок 3 - График
в) Из каких типовых звеньев состоит передаточная
функция разомкнутой системы управления?
Решение
Передаточная функция разомкнутой системы
управления состоит из пропорционального звена W(s)
=
(k=0.5) и двух
апериодических звеньев
(T=2.5),
W(s)=
(T=0.5).
г) Построить асимптотические ЛАЧХ для
передаточной функции замкнутой системы
,
но при: а)
; б)
.
Решение
а)
График ЛАЧХ для передаточной функции замкнутой
системы
при
представлен
в Приложении Г.
б)
График ЛАЧХ для передаточной функции замкнутой
системы
при
представлен
в Приложении Д.
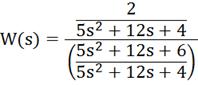
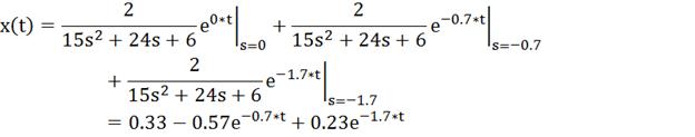
д) Найти реакцию системы на воздействие в виде
1(t). По найденной
реакции системы определить весовую функцию. Построить данные функции.
Решение
s = 0, s = - 0.7, s = - 1.7;
График переходной функции представлен в
Приложении Е.
е) Определить реакцию в установившемся режиме на
входное воздействие
для передаточной
функции замкнутой системы
.
Решение
ж) Исследовать разомкнутую и замкнутую систему
управления на устойчивость по алгебраическим и частотным критериям.
Решение
Исследуем замкнутую систему на устойчивость.
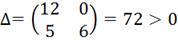
) Алгебраические критерии
Критерий Гурвица
Согласно условию критерия Гурвица замкнутая
система устойчива;
б) Критерий Льенара-Шипара
>0
>0
замкнутая система
устойчива;
) Частотные критерии
а) Критерий Михайлова
U(
=8-5
=0
=>
V(
=12j
=0
=>
|
|
0
|
1.27
|
|
|
U(
|
8
|
0
|
-
|
|
V(
|
0
|
15.24
|
+
|
Рисунок 4 - Кривая Михайлова
Согласно условиям критерия Михайлова замкнутая
система устойчива.
б) Критерий Найквиста
|
0
|
|
|
|
|
U(
|
0.3
|
0
|
+0
|
|
V(
|
0
|
-0.15
|
-0
|
Рисунок 5 - Кривая Найквиста
Согласно условиям критерия Найквиста замкнутая
система устойчива, так как график функции не пересекает точку с координатами
(-1; j)
Исследуем разомкнутую систему на устойчивость.
) Алгебраические критерии
a) Критерий Гурвица
Согласно условию критерия Гурвица разомкнутая
система устойчива;
б) Критерий Льенара-Шипара
>0
>0
разомкнутая
система устойчива;
) Частотные критерии
а) Критерий Михайлова
U(
=6-5
=0
=>
V(
=12j
=0
=>
|
|
0
|
1.09
|
|
|
U(
|
6
|
0
|
-
|
|
V(
|
0
|
13.08
|
+
|
Рисунок 6 - Кривая Михайлова
Согласно условиям критерия Михайлова разомкнутая
система устойчива.
б) Критерий Найквиста
|
|
0
|
|
|
|
U(
|
0.5
|
0
|
+0
|
|
V(
|
0
|
-0,19
|
-0
|
Рисунок 7 - Кривая Найквиста
Согласно условиям критерия Найквиста разомкнутая
система устойчива, так как график функции не пересекает точку с координатами
(-1; j)
з) Определить показатели качества системы:
Решение
Прямые показатели:
*100% =
*100%=
0%
- перерегулирование, т.е. максимальное
отклонение переходной функции от установившегося значения, выраженного в
процентах от установившегося значения функции.
Время регулирования
.
Рисунок 8 - Переходная характеристика
Косвенные показатели качества:
) Корневые показатели качества:
Рисунок 9 - Частотный годограф
Быстродействие системы определяется степенью
устойчивости
- расстояние от
мнимой оси до ближайшего корня или пары комплексно-сопряженных корней. Степень
колебательности равна 0, так как все корни лежат на оси абсцисс.
) Частотные показатели качества:
Рисунок 10 - АЧХ
Резонансный пиком называется отношение
максимального значения АЧХ к ее нулевому значению
М=Аmax/А(0)
= 0,33/0,33=1.
Частота, при которой значение АЧХ максимальна
называется резонансной А(wрез)=Amax.
Диапазон частот (0; wпр),
где значение АЧХ А(wпр)=0,707*А(0)=0,235
Рисунок 11 - АФЧХ
Запас устойчивости по амплитуде
Невозможно определить запас
устойчивости по фазе так как данный график находится внутри условной единичной
окружности, и нет точек пересечения.
Рисунок 12 - ЛАЧХ
Запасы устойчивости по фазе и амплитуде
характеризуют близость системы к границе устойчивости и определяются по
амплитудно-фазовой частотной характеристике (АФЧХ) и логарифмическим частотным
характеристикам (ЛЧХ) разомкнутой системы. Логарифмические частотные
характеристики (запас устойчивости по амплитуде и по фазе) показаны на графике
примерно, т.к. не видны точки пересечения с оси абсцисс и -π.
Из
графиков АФЧХ и ЛАЧХ видно, что система устойчива.
и) Определить установившуюся ошибку системы при
воздействиях g(t)=10t;
f(t)=2t+1
Решение
Поэтому для определения искомой
ошибки достаточно вычислить коэффициенты ошибок Cg0,
Cg1,
Cf0,
Cf1
Передаточные функции ошибки
имеют вид
Отсюда
Таким образом, для ошибок имеем

eв(t)= eвg(t)+
eвf(t)=6t + 11.9
Так как ошибка не равна нулю,
то, следовательно, система статическая.
Заключение
В ходе выполнения индивидуального задания была
рассмотрена общая характеристика процессов, происходящих в системах
автоматического управления. В систему управления входили устройство управления
и объект управления.
По структурной схеме определялись передаточные
функции разомкнутой и замкнутой системы. Было определено, из каких звеньев
состоит передаточная функция разомкнутой системы управления.
В ходе исследования разомкнутой и замкнутой
систем управления на устойчивость, был сделан вывод согласно алгебраическим и
частотным критериям о том, что система является устойчивой.
Были определены показатели качества системы.
Вычислялась степень устойчивости, которая равна 0,71 и степень колебательности,
равная 0, что означает, что система имеет монотонно убывающий характер. Были
построены графики АЧХ, АФЧХ, ЛАЧХ. И по ним были определены: резонансная
частота wрез =
0, А(wпр)=0,235,
значение перерегулирования
, время
регулирования
и запас
устойчивости по амплитуде =1. Запасы устойчивости по амплитуде и по фазе
изображены примерно, т.к. не видны точки пересечения с оси абсцисс и -π.
Из
графиков АФЧХ и ЛАЧХ видно, что система обладает запасом устойчивости.
Была определена установившаяся ошибка eв(t)=
6t + 11.9 при определенных воздействиях, так как она не равна 0, то система
имеет статический характер.
Таким образом, исследуемая система второго
порядка является устойчивой, статической, график передаточной функции имеет
монотонно-возрастающий характер, имеет запас устойчивости, равный 1, а запас
устойчивости по фазе невозможно было определить так как график АФЧХ не
пересекается с единичной окружностью.
Список использованных источников:
1)
Ким Д.П. «Теория автоматического управления» - Т1.Линейные системы - 2003 г.
)
Мирошник И.В. - «ТАУ. Линейные системы» - 2005 г.
)
Туманов - «Теория управления. Линейные САУ» - 2005 г.
)
Иллюстрированный самоучитель по MatLab
)
Конспект лекций
Приложение А (обязательное)
Рисунок А - График W(j
)
Приложение Б (обязательное)
Рисунок Б - График A
)
Приложение В (обязательное)
Рисунок В - График L(
)
Приложение Е (обязательное)
Рисунок Е - График переходной функции