Методы расчета параметров режима и элементов электрической цепи
Министерство
образования Российской Федерации
ИРКУТСКИЙ
ГОСУДАРСТВЕННЫЙ ТЕХНИЧЕСКИЙ УНИВЕРСИТЕТ
Кафедра
электроснабжения и электротехники
ПОЯСНИТЕЛЬНАЯ
ЗАПИСКА к курсовой работе
по дисциплине
Информационно-измерительная техника
Тема работы:
Методы расчета параметров режима и элементов электрической цепи
Студент: Пешков Владимир Александрович
Нормоконтроль Солонина Н.Н.
Иркутск 2014
г.
Содержание
Введение
. Измерение тока и напряжения
в цепях постоянного тока
. Измерение тока в цепях переменного
несинусоидального тока
. Измерение активной мощности
в цепях трехфазного тока
. Выбор измерительной
аппаратуры
. Контрольные вопросы
Заключение
Список использованных
источников
Введение
Электрические измерения очень разнообразны и это связано с множеством
измеряемых физических величин, различным характером их проявления во времени,
различными требованиями к точности измерений, различными способами получения
результата и т.д.
Измерение, согласно определению, предполагает сравнение исследуемой физической
величины с однородной физической величиной, значение которой принято за
единицу, и представление результата этого сравнения в виде числа. Измерение-
многооперационная процедура, и для его выполнения необходимо осуществить
основные измерительные операции: воспроизведение, сравнение, измерительное
преобразование, масштабирование.
В данной курсовой работе мы выполним следующие задачи: 1. Измерение тока
и напряжения в цепях постоянного тока (Задание 1); 2. Измерение тока в цепях
переменного несинусоидального тока (Задание 2.); 3. Измерение активной мощности
в цепях трехфазного тока (Задание 3.); 4. Выбор измерительной аппаратуры
(Задание 4.).
С помощью данной работы мы изучим основные методы измерений электрических
величин в необходимом объеме.
1. Измерение тока и напряжения в цепях постоянного тока
Задание: Измерительный механизм (ИМ) прибора магнитоэлектрической системы
рассчитан на ток Iн им и напряжение Uн им и имеет шкалу на αн делений.
1. Составить схему
включения измерительного механизма с шунтом и дать вывод формулы rш.
2. Определить
постоянную измерительного механизма по току С, величину сопротивления шунта rШ и постоянную амперметра С, если этим прибором нужно
измерять ток Iн.
3. Определить
мощность, потребляемую амперметром при номинальном значении тока Iн.
4. Составить схему
включения измерительного механизма с добавочным сопротивлением и дать вывод
формулы r.
5. Определить
постоянную измерительного механизма по напряжению Сим, величину
добавочного сопротивления r и
постоянную вольтметра С, если этим прибором нужно измерять напряжение Uн.
6. Определить
мощность, потребляемую вольтметром при номинальном значении напряжения Uн.
Исходные данные для решения задачи 1 приведены в табл. 1.
Таблица 1.2. Исходные данные.
|
Наименование величин
|
Единица измерения
|
Предпоследняя цифра шифра
|
Последняя цифра шифра
|
|
|
|
3
|
|
Напряжение ИМ Uи Ток ИМ Iи Число
делений αн
|
мВ мА дел.
|
- - -
|
100 10 50
|
|
Напряжение Uн
|
В
|
3
|
50
|
|
Ток Iн
|
А
|
3
|
3
|
В амперметрах и миллиамперметрах для расширения предела измерения
применяется шунт. Он представляет собой сопротивление, включаемое в цепь
измеряемого тока; параллельно шунту включается измерительный механизм
(рис.1.1).
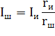
Обозначив IН - измеряемый ток, IШ и RШ -
ток и сопротивление шунта, IИ и RИ - ток и сопротивление
измерительного механизма, можно написать:
Рисунок 1.1
где
- шунтирующий множитель, показывающий, во сколько раз
измеряемый ток больше тока измерительного механизма или, что то же, во сколько
раз расширяется предел измерения тока.
Известно выражение для номинального тока
где СI - постоянная измерительного механизма по току;
α - угол отклонения подвижной части.
Постоянную измерительного механизма по току найдем, зная связь между СI
и постоянной амперметра С’I , определив сначала С’I.
Мощность, потребляемая амперметром при номинальном значении тока Iн

В магнитоэлектрических вольтметрах применяется тот же измеритель, что и в
амперметрах, но на меньший номинальный ток. Для измерения напряжения механизм
применяется в сочетании с добавочным сопротивлением. Добавочное сопротивление
из манганина включается последовательно с измерительным механизмом (рис. 2).
Оно необходимо, чтобы сопротивление вольтметра RV при изменении температуры
оставалось неизменным.
Ток в цепи прибора
Если напряжение U = pUи, то добавочное сопротивление Rд
можно определить из условия
Откуда
Множитель р показывает, во сколько раз измеряемое напряжение больше
напряжения на измерительном механизме или, иначе, во сколько раз увеличивается
предел измерения напряжения прибора при применении добавочного сопротивления.
Определим сначала Rд
Постоянная вольтметра
Постоянная измерительного механизма по напряжения связана с постоянной
вольтметра соотношением
Собственное потребление мощности вольтметра
2. Измерение тока в цепях переменного несинусоидального тока
Задание: В цепь несинусоидального тока включены: амперметр
магнитоэлектрической системы и амперметр электродинамической системы.
Амперметры имеют одинаковые номинальные токаи Iн = 5 А и шкалы с
одинаковым номинальным числом делений αн = 100 дел.
Начертить схему цепи и определить на какое число делений шкалы отклонится
стрелка:
а) магнитоэлектрического амперметра;
б) электродинамического амперметра, если в цепи проходит ток
Построить в масштабе в одних осях координат графики заданного тока
за время одного периода основной
гармоники тока.
Значения I0, I1m, I3m и φ3 заданы в табл. 2
Таблица 2.1. Исходные данные.
|
Наименование величин
|
Единица Измерения
|
Предпоследняя цифра шифра
|
Последняя цифра шифра
|
|
|
|
3
|
|
Ток I0
|
А
|
-
|
2
|
|
Ток I1m
|
A
|
3
|
3,6
|
|
Ток I3m
|
A
|
3
|
1,6
|
|
Угол φ3
|
Рад
|
-
|
π/3
|
В цепь несинусоидального тока включены: амперметр электродинамической
системы и амперметр детекторной (выпрямительной) системы. Амперметры имеют
одинаковые номинальные токаи Iн = 5 А и шкалы с одинаковым номинальным
числом делений α н= 100 дел.
На какое число делений шкалы отклонится стрелка: а) электродинамического
амперметра; Б) детекторного амперметра, если в цепи проходит ток
При прохождении через измерительный механизм магнитоэлектрической системы
переменного тока i вращающий момент

Вследствие значительного момента инерции подвижной части и большого
периода собственных колебаний угол поворота подвижной части при технической
частоте будет определяться средним за период значением вращающего момента
т.е. показания амперметра магнитоэлектрической системы пропорциональны
постоянной составляющей и следовательно он покажет
Постоянная амперметра
Число делений, на которое отклонится стрелка амперметра магнитоэлектрической
системы
В цепи переменного тока мгновенное значение вращающего момента
электродинамических измерительных механизмов
Вследствие большой инерции подвижной части механизма угол перемещения
пропорционален среднему значению вращающего момента:
где Iп и Iн - действующее значение синусоидальных
токов в катушках, сдвинутых по фазе.
Таким образом, угол перемещения подвижной части электродинамического
механизма, работающего на переменном токе
.
Конструктивными методами получают значение ∂М/∂α, равное некоторой постоянной
величине. Тогда

Число делений, на которое отклонится стрелка амперметра
электродинамической системы
График заданного тока
Аналогично определяем отклонение стрелки электродинамического амперметра
Приборы детекторной системы показывают среднее значение измеряемой
величины
Для схемы с двухполупериодным выпрямлением коэффициент формы кривой равен
Постоянная по току при синусоидальной форме кривой
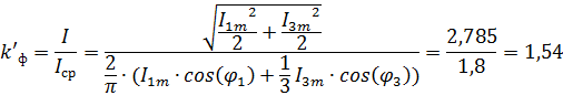
Постоянная по току для заданного несинусоидального тока
Определяем угол поворота подвижной части прибора при заданном токе
3. Измерение активной мощности в цепях трехфазного тока
Задание: Для измерения активной мощности трехпроводной цепи трехфазного
тока с симметричной активно-индуктивной нагрузкой, соединенной звездой или
треугольником, необходимо выбрать два одинаковых ваттметра с номинальным током
Iн, номинальным напряжением Uн и числом делений шкалы αн = 150 дел.
Исходные данные для решения задачи приведены в табл.3.1.
Таблица 3.1
|
Наименование величин
|
Единица измерения
|
Предпоследняя цифра шифра
|
Последняя цифра шифра
|
|
|
|
3
|
|
Мощность цепи S
|
кВ·А
|
3
|
45,0
|
|
Коэффициент мощности cos φ
|
-
|
3
|
0,76
|
|
Фазное напряжение Uф
|
В
|
-
|
220
|
|
Схема соединения
|
-
|
-
|
Υ
|
|
Последовательные обмотки ваттметров включены в провода
|
-
|
-
|
А и В
|
|
Обрывы фазы
|
-
|
-
|
С
|
. По данным варианта для нормального режима работы цепи:
а) начертить схему включения ваттметров в цепь;
б) доказать, что активную мощность трехпроводной цепи трёхфазного тока
можно представить в виде суммы двух слагаемых;
в) построить в масштабе векторную диаграмму, выделив на ней векторы
напряжений и токов, под действием которых находятся параллельные и
последовательные обмотки ваттметров;
г) определить мощности Р1 и Р2, измеряемые каждым
из ваттметров;
д) определить число делений шкалы α1 и α2, на которые отклоняются стрелки ваттметров.
. По данным варианта при обрыве одной фазы приемника энергии:
а) начертить схему включения ваттметров в цепь;
б) построить в масштабе векторную диаграмму, выделив на ней векторы
напряжений и токов, под действием которых находятся параллельные и
последовательные обмотки ваттметров;
в) определить мощности Р1 и Р2, измеряемые каждым
из ваттметров;
г) определить число делений шкалы α1 и α2, на которые отклоняются стрелки ваттметров.
Результаты расчетов записать в табл. 3.2
Решение:
. а) Схема включения ваттметров показана на рис. 3.1.
Рис.
3.1. Схема включения ваттметров в провода А и В
б)
Мгновенная мощность трехфазной цепи может быть выражена как сумма мощностей
отдельных фаз:
Для нулевой точки приемников энергии, соединенных звездой (рис. 3.1), по
первому закону Кирхгофа
,
откуда каждый из линейных токов можно выразить через два других:
Подставив одно из этих выражений, например для тока iА, в
формулу (1), получим:
Следовательно, мгновенную мощность трехфазной цепи можно представить
суммой двух слагаемых, первое из которых
и второе
Переходя от мгновенной мощности к средней (активной) и допуская, что токи
и напряжения синусоидальны, получаем:
где φ1
- угол сдвига фаз между током IА и линейным напряжением UAС
φ2 -между током IВ и линейным напряжением UВС.
Первое слагаемое P’ можно измерить одним ваттметром, а второе P’’-
вторым, если ваттметры соединены следующим образом: токовая цепь первого
ваттметра в соответствии с индексом В у тока IВ включается в
рассечку провода В, и т.к. ток положителен, то генераторный зажим ее
соединяется с источником питания (рис.3.1). Генераторный зажим параллельной
цепи в соответствии с первой частью индекса В у напряжения UВA
соединен с проводом В, а не генераторный зажим той же цепи в соответствии со
второй частью индекса А присоединен к проводу А. Аналогично включается второй
ваттметр. Активная мощность трехфазной цепи равна алгебраической сумме
показаний двух ваттметров.
в) В частном случае при симметричной системе напряжений и одинаковой
нагрузке фаз ψ1 = 30 - φ и ψ1 = 30 + φ и показания ваттметров будут
Полная мощность трехфазной цепи
. Отсюда находим линейный ток
Линейное напряжение найдем, зная фазное
Векторная диаграмма построена на рис. 3.2.
Рисунок 3.2. - Векторная диаграмма.
г) Определим мощности, измеряемые ваттметрами:
68,18·381,05·cos(40,5-30)=25460,38 Вт
68,18·381,05·cos(40,5+30)=8573,39 Вт=
=S cos(
34200 Вт≈34033,77 Вт
д) Выбираем ваттметры с номинальным током Iн = 70 А и
номинальным напряжением Uн = 600 В, числом делений шкалы αн = 150 дел.
Постоянная ваттметра
Тогда отклонения стрелок ваттметров будут равны:
. Схема включения ваттметров при обрыве фазы С показана на рис.
3.3
Рисунок
3.3.
б) Векторная диаграмма при обрыве фазы С построена на рис. 4.
в) Мощности Р'1 и Р'2, измеряемые каждым из ваттметров
Z=
=
г) Число делений первого ваттметра α1 = 0, число делений второго ваттметра
Рисунок 3.4. Обрыв фазы С.
Таблица 3.2. Результаты расчетов.
|
Определить по п.1
|
Наименование величин
|
Единица измерения
|
Результаты расчета
|
|
Мощность цепи Р
|
Вт
|
34200
|
|
Линейное напряжение Uл
|
В
|
381
|
|
Линейный ток Iл
|
А
|
68,18
|
|
Номинальное напряжение ваттметра Uн
|
В
|
600
|
|
Номинальный ток ваттметра Iн
|
А
|
70
|
|
Постоянная ваттметра СР
|
Вт/дел
|
280
|
|
Мощность, измеряемая первым ваттметром Р1
|
Вт
|
25460,38
|
Вт
|
8573,39
|
|
Число делений шкалы α1
|
дел
|
90,9
|
|
Число делений шкалы α2
|
дел
|
30,6
|
|
Определить по п.2
|
Мощность, измеряемая первым ваттметром Р1
|
Вт
|
0
|
|
Мощность, измеряемая вторым ваттметром Р2
|
Вт
|
17132,61
|
|
Число делений шкалы α1
|
дел
|
0
|
|
Число делений шкалы α2
|
Дел
|
61,18
|
. Выбор измерительной аппаратуры
Задание: В высоковольтной трехпроводной цепи трехфазного тока необходимо
измерить линейные токи, линейное напряжение, коэффициент мощности цепи и
расхода активной энергии всей цепи.
Подобрать для этой цели два измерительных трансформатора тока (ИТТ), два
измерительных трансформатора напряжения (ИТН) и подключить к ним следующие
измерительные приборы: два амперметра электромагнитной системы; два однофазных
индукционных счетчика активной энергии; один трехфазный фазометр
электромагнитной или электродинамической системы; один вольтметр
электромагнитной системы. Расстояние от трансформатора до измерительных
приборов I (провод медный, сечением S=2.5 мм2), номинальное напряжение сети U1 и линейный ток I1 приведены в таблице 4.1. Начертить
схему включения ИТТ, ИТН в цепь, а также показать подключение к ним всех
измерительных приборов. Выполнить разметку зажимов обмоток ИТТ, ИТН, счетчиков
и фазометра. Показать заземление вторичных обмоток ИТТ и ИТН.
Таблица 4.1. Исходные данные
|
Наименование величин
|
Единица измерения
|
Предпоследняя цифра шифра
|
Последняя цифра шифра
|
|
|
|
3
|
|
Номинальной напряжение сети U1
|
В
|
-
|
10000
|
|
Линейный ток I1
|
A
|
3
|
40
|
|
Расстояние от измерительных приборов до трансформатора l
|
м
|
3
|
19
|
Схема включения приборов и измерительных трансформаторов показана на рис.
1.
Найдем сопротивление подводящих проводов
т.к. 2 провода, то
Сопротивление обмоток амперметра Э513/4
Сопротивление последовательной обмотки счетчика СО-И445/4Т
Сопротивление последовательной обмотки фазометра Д120
Общее сопротивление нагрузки
В качестве трансформатора тока выбираем И512, у которого номинальная
нагрузка
Номинальная мощность счетчика
Номинальная мощность фазометра
Номинальная мощность вольтметра
Номинальная активная мощность трансформатора И50
Таким образом, в качестве трансформатора тока выбираем И512, а в качестве
трансформатора напряжения И50. амперметры - Э 513/4, счетчики - СО-И445/4Т,
фазометр - Д120, вольтметр - Э 513/3.
Рисунок 4.1
5. Контрольные вопросы
. Измерительные трансформаторы тока. Назначение, основные
характеристики. Схема включения.
Измерительные трансформаторы тока предназначены для уменьшения первичных
токов до значений, наиболее удобных для подключения измерительных приборов,
реле защиты, устройств автоматики.
Трансформаторы тока характеризуются номинальным первичным током Iном1
(стандартная шкала номинальных первичных токов содержит значения от 1 до 40000
А) и номинальным вторичным током Iном2, который принят равным 5 или 1 А.
Отношение номинального первичного к номинальному вторичному току представляет
собой коэффициент трансформации КТА= Iном1/ Iном2
Трансформаторы тока характеризуются токовой погрешностью ∆I=(I2K-I1)*100/I1
(в процентах) и угловой погрешностью (в минутах). В зависимости от токовой
погрешности измерительные трансформаторы тока разделены на пять классов
точности: 0,2; 0,5; 1; 3; 10. Наименование класса точности соответствует
предельной токовой погрешности трансформатора тока при первичном токе, равном
1-1,2 номинального. Для лабораторных измерений предназначены трансформаторы
тока класса точности 0,2, для присоединений счетчиков электроэнергии -
трансформаторы тока класса 0,5, для присоединения щитовых измерительных
приборов -классов 1 и 3.
магнитоэлектрический вольтметр ток измерительный
Схемы подключения ТТ:
Модуль угла сдвига фаз φ это расстояние между началами или
между концами периода (положительного полупериода) сигналов в делениях сетки
экрана (рис. 27). Далее значение модуля φ находится из пропорции, учитывая, что
один полный период любого колебания равен 360 градусов:
Угол сдвига фаз:
здесь N - число делений сетки, занимаемых одним периодом сигнала,
α - число делений сетки между началами
периодов (концами положительного полупериода).
Приняв d=8, b=1, a=0
получиим:
4. Перечислите основные характеристики ИИС.
Важнейшими характеристиками ИИС являются эффективность, полнота
выполняемых функций, достоверность, надежность, быстродействие, характеристики
входов и выходов, метрология.
Заключение
В данной курсовой работе мы рассматривали основные методы расчета
параметров режима, элементов электрических цепей.
Был рассмотрен метод расчета параметров измерительного механизма
магнитоэлектрической системы, включенного в цепь посредством шунта. Была
определена мощность вольтметра и амперметра, включенных в цепь для измерения её
параметров, также определены постоянные ИМ по току и напряжению. Вычислены
значения показаний магнитоэлектрического и электродинамического амперметров и
амперметра выпрямительной системы, включенных в цепь несинусоидального тока для
измерения её параметров. Составлены схемы включения ИМ в электрическую цепь.
Для расчета активной мощности использовался метод двух приборов, в цепи с
симметричной активно-индуктивной нагрузкой в нормальном режиме и с обрывом
одной фазы. Построены векторные диаграммы по найденным параметрам и составлены
схемы включения ваттметров.
При измерении параметров высоковольтной трехпроводной цепи трехфазного
тока, произведен выбор измерительных трансформаторов тока и напряжения для подключения
измерительных механизмов(два амперметра электромагнитной системы; два
однофазных индукционных счетчика активной энергии; один трехфазный фазометр
электромагнитной или электродинамической системы; один вольтметр
электромагнитной системы). Составлены схема включения ИТТ, ИТН в цепь, и
показано подключение всех измерительных приборов.
Список использованных источников
1. Крылова
Г. Д. Основы стандартизации, сертификации, метрологии. Учебник для вузов. - М.:
ЮНИТИ-ДАНА. 2001 - 711с.
. Тартаковский
Д. Ф., Ястребов А. С. Метрология, стандартизация и технические средства
измерений. Учебник для вузов - М.: Высшая школа. 2001 - 205с.
. Сергеев
А. Г., Крохин В. В. Метрология. Учебное пособие для вузов - М.: Логос, 2001 -
406с.
. Основы
метрологии и электрические измерения. Учебник для вузов под редакцией Е.М.
Душина, - Л: Энергоатомиздание, 1987 - 480 с.