Передаточные функции четырехполюсника
Передаточные
функции четырехполюсника
1.
Основы теории четырехполюсника
Определение четырехполюсника
Для передачи
информации с помощью электромагнитной энергии (волн, сигналов в электрических
схемах) применяются различные устройства, имеющие два входных (первичных)
зажима и два выходных (вто-ричных). К входным зажимам подключается источник
электрической энергии, к выходным присоединяется нагрузка. Такие устройства
называются четырехполюсниками. Четырехполюсниками являются фильтры, трансформаторы,
усилители, каскады радиопередатчиков и радиоприемников, линии связи и так
далее.
Классификация
четырехполюсников
) Четырехполюсники
бывают активные и пассивные. В активном четырехполюснике есть источники
энергии, в пассивном − источников энергии нет. Примерами активных
четырехполюсников являются усилители, каскады радиопередатчиков и
радиоприемников и др. Примером пассивного четырехполюсника может служить
кабельная или воздушная линия связи, электрический фильтр и др.
) Четырехполюсники
делятся на линейные и нелинейные. Четырехполюсник является линейным, если
напряжение и ток на его выходных зажимах линейно зависят от напряжения и тока
на входных зажимах. Примерами линейных четырехполюсников являются линии связи,
фильтры, примерами нелинейного - выпрямитель, детектор, преобразователь частоты
в радиоприемнике.
) Четырехполюсники
могут быть симметричными и несимметричными. Четырехполюсник симметричен, если
перемена местами входных и выходных зажимов не изменяет токов и напряжений в
цепи, с которой четырехполюсник соединен. В противном случае четырехполюсник
несимметричен.
) Четырехполюсники
бывают автономными и неавтономными. На зажимах автономного четырехполюсника
остается напряжение, обусловленное наличием внутренних источников, т.е. такой
четырехполюсник обязательно является активным. В противном случае
четырехполюсник пассивен.
) Различают также
обратимые и необратимые четырехполюсники. В обратимых четырехполюсниках
отношение напряжения на входе к току на выходе (передаточное сопротивление) не
зависит от того, какая пара зажимов является входной, а какая выходной. В
противном случае четырехполюсник необратим.
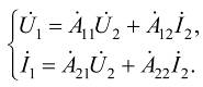
Система
уравнений четырехполюсника
Основной задачей
теории четырехполюсников является установление соотношений между напряжениями
на входе и выходе и токами, протекающими через входные и выходные зажимы.
Вариант с токами I1
I2 называют прямой передачей, а I′1, I′2
- обратной. Очевидно, что I1= - I′1, а I2=
- I′2.
Две из четырех
величин, определяющих режим четырехполюсника, можно рассматривать как заданные
воздействия, две оставшиеся - как отклики на эти воздействия. Таким образом,
соотношения между токами и напряжениями на входе и выходе четырехполюсника
могут быть записаны в виде шести систем уравнений.
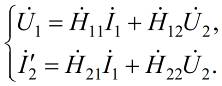
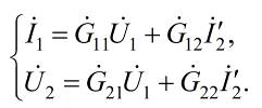
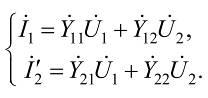
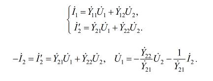
. Токи на
входе и выходе выражаются в зависимости от напряжений на входных и выходных
зажимах:
Коэффициенты Y11,
Y12, Y21, Y22 называются Y-параметрами и
являются комплексными проводимостями.
Действительно,
-
комплексная входная проводимость при коротком замыкании выходных зажимов.
-
комплексная входная проводимость со стороны зажимов (2-2) при коротком
замыкании входных зажимов.
-
комплексная передаточная (взаимная) проводимость при коротком замыкании входных
зажимов.
-
комплексная передаточная (взаимная) проводимость при коротком замыкании
выходных зажимов.
В случае обратимого
четырехполюсника Y12 = Y21. Если четырехполюсник
симметричен, то Y11= Y22 и его свойства определяются
только двумя параметрами (например, Y11, Y12).
. Напряжения
на входе и выходе выражаются в зависимости от токов, протекающих через входные
и выходные зажимы:
Действительно,
-
входное сопротивление со стороны зажимов (1-1) при разомкнутых выходных
зажимах.
-
передаточное (взаимное) сопротивление при разомкнутых зажимах (1-1).
-
передаточное (взаимное) сопротивление при разомкнутых зажимах (2-2).
-
входное сопротивление со стороны зажимов (2-2) при разомкнутых зажимах (1-1).
В случае обратимого
четырехполюсника Z12 = Z21. Если четырехполюсник
симметричен, то Z22 = Z11 и его свойства определяются
только двумя параметрами (например, Z11, Z12).
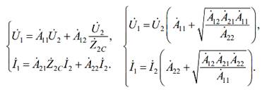
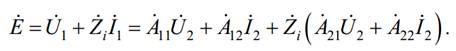
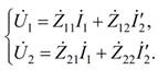
. В случае,
когда четырехполюсник выполняет роль промежуточного звена между источником
сигнала и сопротивлением нагрузки, заданными являются напряжение и ток на
выходе (U2, I2), а искомыми величины, характеризующие
режим на входе четырехполюсника (U1, I1). Связь между
входными и выходными напряжениями и токами устанавливает система параметров
прямой передачи:
Действительно,
-
отношение напряжений в режиме холостого хода на выходе.
-
величина, обратная передаточному сопротивлению в режиме холостого хода на
выходе.
-
величина, обратная передаточной проводимости в режиме короткого замыкания на
выходе.
-
отношение токов в режиме короткого замыкания на выходе.
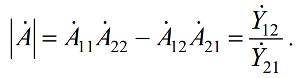
Найдем связь между A - и Y -
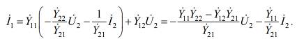
параметрами. Из второго уравнения системы Y - параметров следует:
Подставив последнее выражение в
первое уравнение системы Y - параметров, получим:
И окончательно,
Следовательно,
Где Y = Y11 Y22
− Y12 Y21 - определитель, составленный из Y -
параметров.
Определитель, составленный из A -
параметров, равен:
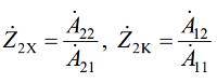
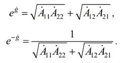
Для обратимого четырехполюсника:
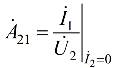
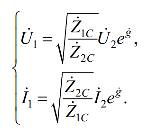
Для анализа передачи сигнала от
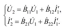
зажимов (2-2) к зажимам (1-1) используется система уравнений обратной передачи:
Значения B - параметров определяются
также из опытов холостого хода входной цепи (I′1 = 0) и
короткого замыкания (U1= 0).
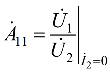
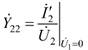
. Когда заданными являются
комплексные амплитуды тока на входе I1 и напряжения на выходе U2, искомые величины U1 и I′2 могут быть
найдены из системы уравнений в H - параметрах:
Значения каждого из H - параметров определяются из опытов
короткого замыкания на выходе (U2 = 0) и холостого хода
первичной цепи (I1= 0).
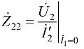
. В том случае, когда
задаются величины U1 и I2, ток на входе I1 и напряжение на выходе U2 определяются из уравнений в G - параметрах:
Входящие в эту систему уравнений G -
параметры могут быть найдены из опытов холостого хода выходной цепи (I′2
= 0) и короткого замыкания на входе (U1= 0).
Поскольку все шесть систем
параметров описывают один четырехполюсник, то они связаны между собой формулами
пересчета, приведенными в справочных таблицах.
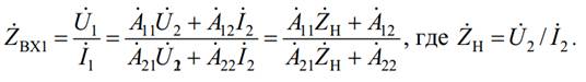
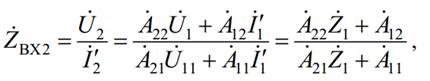
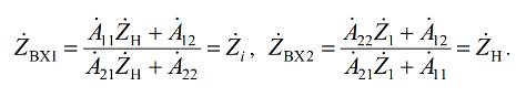
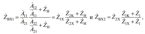
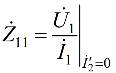
Входное сопротивление
четырехполюсника
Влияние четырехполюсника на режим
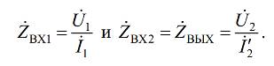
цепи, с которой он соединен, оценивается входными сопротивлениями:
На эти входные сопротивления
оказывается нагруженным источник при передачи сигнала слева направо (рис. а) и
справа налево (рис. б).
Входные сопротивления могут быть
выражены через любую систему параметров четырехполюсника. Удобнее всего это
сделать, воспользовавшись системой A - параметров.
В этом случае:

Так как 
Выражения для входных
сопротивлений могут быть представлены и в иной форме. Действительно,
Здесь:
- входные сопротивления
в режиме холостого хода и короткого замыкания на выходе.
- входные сопротивления
в режиме холостого хода и короткого замыкания на входе.
Таким образом, четырехполюсник
трансформирует сопротивление нагрузки в новое сопротивление, зависящее как от
величины нагрузки, так и от параметров четырехполюсника.
2. Характеристические
параметры четырехполюсник
Наряду с рассмотренными
выше первичными параметрами (коэффициентами в системах уравнений)
четырехполюсника, при решении многих задач пользуются характеристическими
(вторичными) параметрами четырехполюсника. К ним относятся: характеристические
сопротивления, постоянная передачи (мера передачи) и коэффициент трансформации.
Известно, что генератор
с внутренним сопротивлением Zi отдает максимальную мощность в
нагрузку ZH при условии Zi = ZH. Если между
генератором и нагрузкой находится четырехполюсник, то для передачи максимальной
мощности от генератора к четырехполюснику необходимо согласовать входное
сопротивление четырехполюсника ZBX1 с внутренним сопротивлением
генератора то есть выполнить условие Zi = ZBX1, а для
передачи максимальной мощности от четырехполюсника в нагрузку −
согласовать выходное сопротивление четырехполюсника с сопротивлением нагрузки,
т.е. выполнить условие ZBX2 H = Z. Режим работы четырехполюсника,
когда Zi = ZBX1 и ZBX2 H = Z, называется
режимом согласованного включения.
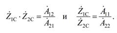
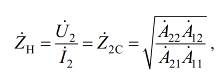
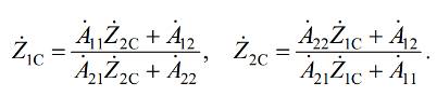
Оказывается, для любого
четырехполюсника существует такая пара сопротивлений, для которой выполняется
условие
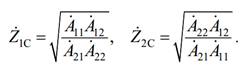
Эти сопротивления
называются характеристическими сопротивлениями четырехполюсника и обозначаются
Z1C и Z2C.
Учитывая, что ZBX1=
Zi =Z1C
и ZBX2 = ZH = Z2C,
получим
Решив совместно эти
уравнения, найдем:
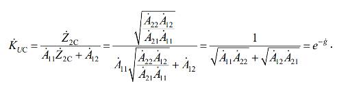
Поскольку
то
характеристические сопротивления можно выразить через параметры холостого хода
и короткого замыкания:
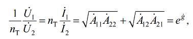
Если четырехполюсник
согласован с нагрузкой, т.е.
то уравнения в системе A
- параметров принимают следующий вид:
Из последней системы
уравнений можно получить
Величина
-
называется коэффициентом трансформации четырехполюсника.
Входное сопротивление
согласованного четырехполюсника:
ZВХ1=Z1C=(nT)2Z2C=(nT)2ZH
т.е. согласованный
четырехполюсник трансформирует сопротивление нагрузки в (nT)2 раз.
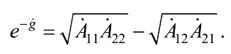
Таким образом,
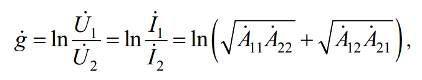
где g - характеристическая постоянная передачи (мера передачи)
четырехполюсника.
Если четырехполюсник
симметричен, A11=A22, ZC1=ZC2,
nT=1, то
то есть постоянная
передачи определяется только первичными параметрами четырехполюсника.
Выразим первичные A - параметры через характеристические параметры
Z1C, Z2C, g.
Согласно полученному
выше:
Умножив числитель и
знаменатель последнего выражения на 
, и учитывая, что 
, получим:
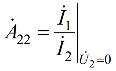
Таким образом:
где ch g -
гиперболический косинус, sh g - гиперболический синус.
Далее находим:
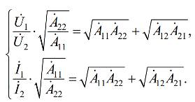
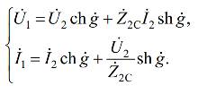
В итоге получаем систему
уравнений, связывающих первичные параметры со вторичными,
Подставляя найденные
коэффициенты в систему уравнений для A - параметров, получим систему уравнений
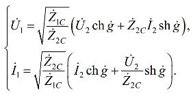
четырехполюсника в гиперболических функциях:
Если четырехполюсник
симметричен Z1C = Z2C, то
При согласованной
нагрузке ZH=Z2C, Z2CI2=U2, ch
g + sh
g = eg система уравнений принимает вид:
Постоянная передачи в
общем случае величина комплексная g = a + jb.
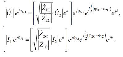
Характеристические
сопротивления также величины комплексные
Амплитуды или
действующие значения напряжений и токов на входе и выходе четырехполюсника
связаны через характеристические сопротивления и постоянную передачи следующими
выражениями:
Таким образом,
вещественная часть постоянной передачи а характеризует изменение амплитуды или
действующего значения тока и напряжения при прохождении сигнала через
четырехполюсник. Мнимая составляющая b характеризует фазовый сдвиг между
входным и выходным напряжениями или токами
Для симметричного
четырехполюсника:
- коэффициент фазы -
измеряется в радианах или градусах и равняется
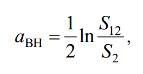
Коэффициент а -
собственное затухание - определяется как
Затуханию а = 1 неп
соответствует уменьшение амплитуды или действующего значения напряжения или
тока в е = 2,718 раза.
В радиотехнике часто
легче измерить мощность сигнала на входе и выходе, кроме того, при расчетах предпочтительнее
применять не натуральные, а десятичные логарифмы. Поэтому затухание измеряют в
белах:
Поскольку
Единица бел достаточно
велика поэтому пользуются 0,1 бел называемой децибел.
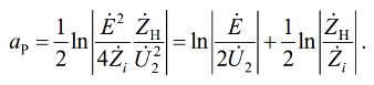
Рабочее и вносимое
затухание четырехполюсника
Рассмотренное выше
собственное затухание четырехполюсника является мерой передачи сигнала с входа
на выход без учета влияния источника сигнала и реальной нагрузки.
В общем случае
четырехполюсник включен между источником с внутренним сопротивлением Zi и
нагрузкой ZH.
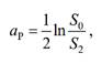
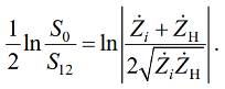
Для оценки влияния
условий согласования четырехполюсника с генератором и нагрузкой на передачу
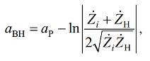
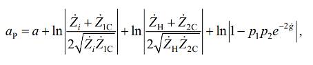
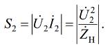
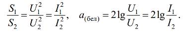
сигнала вводится рабочее затухание четырехполюсника, которое определяется как:
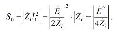
где S0 -
максимальная полная мощность, которую генератор отдает в нагрузку,
согласованную с его внутренним сопротивлением; S2 - полная мощность,
выделяемая в нагрузке, подключенной к выходу четырехполюсника.
Максимальная полная
мощность выделяется на сопротивлении, равном внутреннему сопротивлению
генератора:
Полная мощность,
выделяемая в нагрузке,
Рабочее затухание в этом
случае:
Задающее напряжение
генератора
Учитывая, что I2=U2/ZH,
получим
Заменив в последнем
выражении А-параметры на характеристические:
и подставив полученное
выражение в формулу для рабочего затухания, после некоторых преобразований
имеем:
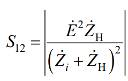
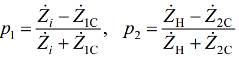
Где
-
коэффициенты отражения на входе и выходе четырехполюсника соответственно.
Таким образом, рабочее
затухание содержит четыре составляющих.
Первая составляющая -
собственное затухание четырехполюсника а. Вторая составляющая характеризует
степень рассогласования генератора с входом четырехполюсника, третья - степень
рассогласования выхода четырехполюсника с нагрузкой. Четвертая составляющая
появляется лишь тогда, когда не согласованы и вход, и выход, т.е. когда оба
коэффициента отражения не равны нулю. На практике эта составляющая обычно мала,
и ею можно пренебречь.
Следует отметить, что
при согласовании входа четырехполюсника с генератором (Zi = Z1C),
вторая составляющая равна нулю. Если еще обеспечить согласование
четырехполюсника с нагрузкой (ZH = Z2C), то третья и
четвертая составляющие также обращаются в нули, и рабочее затухание равно
собственному затуханию четырехполюсника.
Вместо рабочего
затухания нередко применяется другой параметр - вносимое затухание. В этом
случае полная мощность, поступающая в нагрузку, сравнивается с полной
мощностью, которую генератор отдавал бы в нагрузку при их прямом соединении, то
есть вносимое затухание.
Где
-
полная мощность, которую генератор отдавал бы в нагрузку при их прямом
соединении.
Вносимое затухание можно
связать с рабочим затуханием:
Можно показать, что
Поэтому вносимое
затухание определяется следующим образом:
т.е. из рабочего
затухания исключается затухание, вызванное несогласованностью генератора с
нагрузкой.
Если aP = 0,
полные мощности на входе и выходе четырехполюсника равны. Если aP
< 0, четырехполюсник является усилителем сигнала.
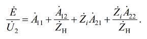
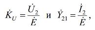
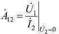
Передаточные функции
четырехполюсника.
Передаточной функцией
нагруженного четырехполюсника называется отношение комплексных амплитуд или
комплексных действующих значений отклика к комплексным амплитудам или
комплексным действующим значениям воздействия.
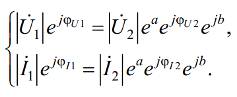
Если входное воздействие
представляет собой напряжение генератора, а откликом четырехполюсника на это
воздействие является напряжение или ток на выходе, то комплексные передаточные
функции имеют вид:
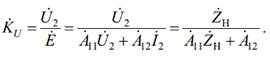
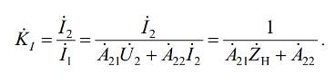
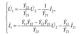
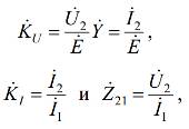
где KU -
комплексный коэффициент передачи по напряжению;21 - комплексная
передаточная проводимость.
Если входное воздействие
представляет собой ток на входе четырехполюсника, а откликом четырехполюсника
на это воздействие является напряжение или ток на выходе, то в этом случае
комплексные передаточные функции:
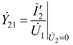
где KI -
комплексный коэффициент передачи по току; Z21 - комплексное
передаточное сопротивление.
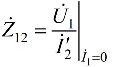
Передаточные функции
четырехполюсника могут быть выражены через первичные параметры и сопротивление
нагрузки. Например,
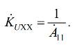
В режиме холостого хода
(ZH = ∞)
При согласованном
включении (ZH = Z2C) симметричного четырехполюсника
Последняя формула
устанавливает связь между передаточной функцией по напряжению и постоянной
передачи симметричного согласованного на выходе четырехполюсника.
Аналогичным образом
можно получить остальные передаточные функции в различных режимах работы.
Например,
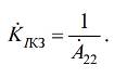
В режиме короткого
замыкания на выходе
Если четырехполюсник
симметричен (A11 = A22), то коэффициент передачи по
напряжению в режиме холостого хода на выходе равен коэффициенту передачи по
току в режиме короткого замыкания также на выходе.
Передаточная функция и
импульсная характеристика цепи
В радиотехнических цепях
сопротивления нагрузки обычно велики и не влияют на четырехполюсник либо
сопротивление нагрузки стандартно и уже учтено в схеме четырехполюсника.
Тогда четырехполюсник
может характеризоваться одним параметром, устанавливающим связь между выходным
и входным напряжениями при пренебрежении током нагрузок. При синусоидальном
сигнале такой характеристикой является передаточная функция цепи (коэффициент
передачи), равная отношению комплексной амплитуды сигнала на выходе к
комплексной амплитуде сигнала на входе:

,
Где 
- фазово-частотная
характеристика,

- амплитудно-частотная
характеристика цепи.
Передаточная функция
линейной цепи вследствие справедливости принципа суперпозиции позволяет
анализировать прохождение сложного сигнала через цепь, разлагая его на
синусоидальные составляющие. Другой возможностью использования принципа
суперпозиции является разложение сигнала на сумму сдвинутых во времени d - функций d(t). Реакцией цепи на действие сигнала в виде d - функций является импульсная характеристика g(t) т.е. это сигнал на выходе, если сигнал на входе есть d - функция 
при

При этом g(t) = 0 при t
< 0 - выходной сигнал не может возникнуть ранее момента появления входного
сигнала.
Экспериментально
импульсную характеристику можно определить подавая на вход короткий импульс
площадью единица и уменьшая длительность импульса при сохранении площади до тех
пор, пока сигнал на выходе перестанет изменяться. Это и будет импульсная
характеристика цепи.
Так как независимый
параметр, связывающий напряжения на выходе и входе цепи, может быть только
один, то между импульсной характеристикой и передаточной функцией имеется
связь.
Со спектральной плотностью

. На выходе цепи будет
импульсная характеристика 
, при этом все
спектральные составляющие входного сигнала умножаются на передаточную функцию
соответствующей частоты:

.
Таким образом,
импульсная характеристика цепи и передаточная функция связаны преобразованием
Фурье:

; 
.
Иногда вводят так
называемую переходную характеристику цепи h(t), являющуюся откликом на сигнал,
называемый единичным скачком:

При этом 
, 
.
Ввиду связи между
передаточной функцией и импульсной характеристикой на передаточную функцию
накладываются ограничения:
Условие, что g(t) должна
быть вещественной, приводит к требованию, что 
, то есть модуль
передаточной функции (АЧХ) есть четная, а фазовый угол (ФЧХ) - нечетная функция
частоты.
Условие, что при t <
0, g(t) = 0 приводит к критерию Пэли-Винера:
Передаточная функция
соединений четырехполюсников.
При каскадном
соединении, когда сигнал последовательно проходит несколько четырехполюсников,
их передаточные функции перемножаются:

Это непосредственно
следует при замене коэффициентов передачи отношением комплексных амплитуд
выходных и входных напряжений каждого четырехполюсника.
Обратная связь в
четырехполюсниках заключается в том, что часть выходного сигнала подается
обратно на вход и суммируется с входным сигналом.
Пусть 
- передаточная функция
основного четырехполюсника, 
- передаточная функция
четырехполюсника обратной связи.


Итак, общий коэффициент
передачи системы с обратной связью есть
Если на заданной частоте
w выполняется неравенство 
, то введение обратной
связи уменьшает модуль общего коэффициента передачи системы. Такую связь
называют отрицательной обратной связью. При обратном неравенстве 
, в системе реализуется
положительная обратная связь, которая увеличивает амплитуду выходного сигнала.
Положительная обратная связь ограничена условием 
, т. к. при переходе
этого неравенства в равенство общий коэффициент передачи становится
бесконечным, а это означает, что система самовозбуждается, т.е. появляется
выходной сигнал в отсутствие сигнала на входе.
Список литературы
четырехполюсник цепь
сопротивление затухание
1. Бакалов В.П., Дмитриков В.Ф., Крук Б.И. «Основы теории
цепей» Москва. «Радио и Связь». 2000 год
2. Попов В.П. «Основы теории цепей» Москва, Высшая школа.
2000 год
. В.И. Вепринцев, Г.К. Былкова, В.В. Тюрнев, А.В. Изотов,
Ю.П. Саломатов, А.А. Лексиков, Б.А. Беляев, А.М. Сержантов «Основы Теории
Цепей»
4. Зевеке Г.В., Ионкин П.А.,
Нетушил А.В. «Основы теории цепей»
5. Запасный А.И. «Основы
теории цепей»
6. Терещук Р.М. Домбругов Р.М.
«Справочник радиолюбителя» 1966