|
Номер
варианта задания
|
Номер
рисунка
|
Параметры
электрической схемы
|
|
|
R1
|
R2
|
R3
|
L1
|
L2
|
C1
|
C2
|
|
|
Ом
|
мГн
|
мкФ
|
|
12
|
2
|
300
|
900
|
240
|
5000
|
15000
|
1,12
|
0,2
|
Провести анализ электрической цепи системы
управления. Обозначить узлы схемы и токи ветвей, указать входной и выходной
сигналы;
Определить передаточную функцию
четырехполюсника;
Определить и представить графически амплитудно-частотную
(АЧХ) и фазо-частотную (ФЧХ) характеристики;
По полученному дифференциальному уравнению
построить структурную схему системы управления;
Определить реакцию исследуемой системы на
единичное ступенчатое воздействие при нулевых начальных условиях:
Определить устойчивость системы управления,
используя критерий устойчивости Михайлова решение представить графически.
1. Анализ электрической цепи:
обозначение узлов, токов; определение входного и выходного сигналов
Составим модель объекта:
Рис. 2
Сопротивления реактивных элементов:
Эквивалентное сопротивление параллельно
включенных индуктивностей:
Эквивалентное сопротивление параллельно
включенных сопротивлений:

Входное сопротивление цепи:
Ток в цепи:
Напряжение на выходе цепи:
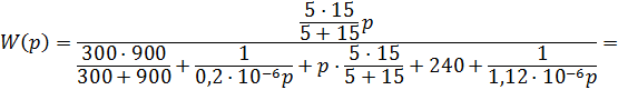
2. Определение передаточной
характеристики четырёхполюсника
Определим передаточную характеристику:
3. Определение АЧХ И ФЧХ
Амплитудно-частотная характеристика (АЧХ) цепи -
модуль передаточной функции.
Рис. 3
Фазо-частотная характеристика (ФЧХ) цепи -
аргумент передаточной функции.
Для ФЧХ цепи необходимо разделить передаточную
функцию на действительную и мнимую часть, умножим на комплексно-сопряженное к
знаменателю выражение:
Рис. 4
4. Построение структурной схемы
системы управления

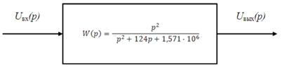
Определим передаточную функцию четырехполюсника
в области изображений, выразив входное и выходное напряжение цепи через ток:
Данное выражение сопоставимо с полученным ранее
выражением для частотной функции исследуемого четырехполюсника пи выполнении
замены сомножителя jω на оператор
p.
Структурная схема четырехполюсника:
Рис. 6
Структурная схема исследуемого четырехполюсника
может быть представлена в виде двух последовательно соединенных блоков:
Рис. 7
5. Определение реакции исследуемой
системы на единичное ступенчатое воздействие при нулевых начальных условиях
Передаточная характеристика исследуемого
четырехполюсника:
При единичном ступенчатом воздействии Uвх=1/p
выходное напряжение равно:
Воспользуемся теоремой разложения для перехода в
область времени:
, где
(p) - числитель передаточной характеристики;
производная от выражения, стоящего в знаменателе
знаменатель передаточной характеристики;(p) - знаменатель передаточной
характеристики;- k-й корень производной от полинома N(p).
Производная от полинома знаменателя:
Графическая иллюстрация:
Рис. 8
6. Определение устойчивости системы
управления (критерий устойчивости Михайлова)
Определим передаточную функцию замкнутой
системы:
Рис. 9
Запишем характеристический полином:
Перейдем к функции частоты:
Построим годограф Михайлова
Критерий устойчивости по Михайлову:
Чтобы система автоматического
управления была устойчивой, необходимо и достаточно, чтобы вектор кривой
Михайлова при изменении ω
от
0 до ∞ повернулся, нигде не обращаясь в нуль, вокруг начала координат
против часовой стрелки на угол
, где n - порядок
характеристического уравнения. Заметим, что для устойчивых систем кривая
Михайлова начинается при ω
= 0 на
вещественной положительной полуоси.
Рис. 10
(F(w)) - мнимая составляющая
полинома F(w)(F(w)) - мнимая составляющая полинома F(w)
В данном случае, на основании
критерия устойчивости Михайлова, можно утверждать, что исследуемая система является
устойчивой - годограф начинается на положительной действительной полуоси и
уходит в бесконечность во втором квадранте, что соответствует второй степени
полинома.